Electrical Engineering (EE) Exam  >  Electrical Engineering (EE) Questions  >   A root of the equation x3 - 3x - 5 = 0 lies ... Start Learning for Free
A root of the equation x3 - 3x - 5 = 0 lies between 2 and 2.5. Its value after the first iteration as obtained by using Newton-Raphson method is _____. (Answer up to two decimal places)
    Correct answer is '2.33'. Can you explain this answer?
    Most Upvoted Answer
    A root of the equation x3 - 3x - 5 = 0 lies between 2 and 2.5. Its va...
    Newton-Raphson Method to Find Root of Equation

    • The Newton-Raphson method is a numerical method to find the root of an equation.

    • It is based on the idea of linear approximation of the function at a given point.

    • The method starts with an initial guess of the root and then iteratively improves the guess until a desired level of accuracy is achieved.

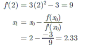
    • The formula for Newton-Raphson method is: x1 = x0 - (f(x0)/f'(x0)), where x0 is the initial guess, f(x) is the given function, and f'(x) is its derivative.



    Given Equation and Initial Guess

    • We are given the equation x3 - 3x - 5 = 0.

    • We also know that the root lies between 2 and 2.5.

    • Therefore, we can start with an initial guess of x0 = 2.



    First Iteration

    • To find the root using Newton-Raphson method, we need to calculate the value of x1 using the formula x1 = x0 - (f(x0)/f'(x0)).

    • First, we need to calculate the derivative of the given function: f'(x) = 3x2 - 3.

    • Then, we can substitute x0 = 2 and f(x0) = 3 into the formula to get x1 = 2 - (3/9) = 2 - 1/3 = 1.67.



    Second Iteration

    • We can continue the process by using x1 as the new initial guess.

    • Substituting x0 = 1.67 and f(x0) = -0.635 into the formula, we get x1 = 1.67 - (-0.635)/(3*1.672 - 3) = 2.329.



    Final Answer

    • The value of x after the first iteration as obtained by using Newton-Raphson method is 2.33 (rounded to two decimal places).

    • This value is closer to the actual root of the given equation, which is approximately 2.094.

    • Further iterations can be done to improve the accuracy of the result.

    Free Test
    Community Answer
    A root of the equation x3 - 3x - 5 = 0 lies between 2 and 2.5. Its va...
    Let initial value of x0 of the root be 2.
    Explore Courses for Electrical Engineering (EE) exam
    Question Description
    A root of the equation x3 - 3x - 5 = 0 lies between 2 and 2.5. Its value after the first iteration as obtained by using Newton-Raphson method is _____. (Answer up to two decimal places)Correct answer is '2.33'. Can you explain this answer? for Electrical Engineering (EE) 2026 is part of Electrical Engineering (EE) preparation. The Question and answers have been prepared according to the Electrical Engineering (EE) exam syllabus. Information about A root of the equation x3 - 3x - 5 = 0 lies between 2 and 2.5. Its value after the first iteration as obtained by using Newton-Raphson method is _____. (Answer up to two decimal places)Correct answer is '2.33'. Can you explain this answer? covers all topics & solutions for Electrical Engineering (EE) 2026 Exam. Find important definitions, questions, meanings, examples, exercises and tests below for A root of the equation x3 - 3x - 5 = 0 lies between 2 and 2.5. Its value after the first iteration as obtained by using Newton-Raphson method is _____. (Answer up to two decimal places)Correct answer is '2.33'. Can you explain this answer?.
    Solutions for A root of the equation x3 - 3x - 5 = 0 lies between 2 and 2.5. Its value after the first iteration as obtained by using Newton-Raphson method is _____. (Answer up to two decimal places)Correct answer is '2.33'. Can you explain this answer? in English & in Hindi are available as part of our courses for Electrical Engineering (EE). Download more important topics, notes, lectures and mock test series for Electrical Engineering (EE) Exam by signing up for free.
    Here you can find the meaning of A root of the equation x3 - 3x - 5 = 0 lies between 2 and 2.5. Its value after the first iteration as obtained by using Newton-Raphson method is _____. (Answer up to two decimal places)Correct answer is '2.33'. Can you explain this answer? defined & explained in the simplest way possible. Besides giving the explanation of A root of the equation x3 - 3x - 5 = 0 lies between 2 and 2.5. Its value after the first iteration as obtained by using Newton-Raphson method is _____. (Answer up to two decimal places)Correct answer is '2.33'. Can you explain this answer?, a detailed solution for A root of the equation x3 - 3x - 5 = 0 lies between 2 and 2.5. Its value after the first iteration as obtained by using Newton-Raphson method is _____. (Answer up to two decimal places)Correct answer is '2.33'. Can you explain this answer? has been provided alongside types of A root of the equation x3 - 3x - 5 = 0 lies between 2 and 2.5. Its value after the first iteration as obtained by using Newton-Raphson method is _____. (Answer up to two decimal places)Correct answer is '2.33'. Can you explain this answer? theory, EduRev gives you an ample number of questions to practice A root of the equation x3 - 3x - 5 = 0 lies between 2 and 2.5. Its value after the first iteration as obtained by using Newton-Raphson method is _____. (Answer up to two decimal places)Correct answer is '2.33'. Can you explain this answer? tests, examples and also practice Electrical Engineering (EE) tests.
    Explore Courses for Electrical Engineering (EE) exam

    Top Courses for Electrical Engineering (EE)

    Explore Courses
    Signup for Free!
    Signup to see your scores go up within 7 days! Learn & Practice with 1000+ FREE Notes, Videos & Tests.
    10M+ students study on EduRev