Question Description
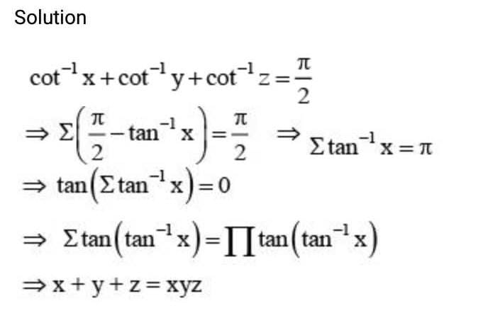
If cot-1 x + cot-1 y + cot-1 then x + y + z is equal toa)b)xyzc)xy + yz + zxd)none of theseCorrect answer is option 'B'. Can you explain this answer? for JEE 2026 is part of JEE preparation. The Question and answers have been prepared according to the JEE exam syllabus. Information about If cot-1 x + cot-1 y + cot-1 then x + y + z is equal toa)b)xyzc)xy + yz + zxd)none of theseCorrect answer is option 'B'. Can you explain this answer? covers all topics & solutions for JEE 2026 Exam. Find important definitions, questions, meanings, examples, exercises and tests below for If cot-1 x + cot-1 y + cot-1 then x + y + z is equal toa)b)xyzc)xy + yz + zxd)none of theseCorrect answer is option 'B'. Can you explain this answer?.
Solutions for If cot-1 x + cot-1 y + cot-1 then x + y + z is equal toa)b)xyzc)xy + yz + zxd)none of theseCorrect answer is option 'B'. Can you explain this answer? in English & in Hindi are available as part of our courses for JEE. Download more important topics, notes, lectures and mock test series for JEE Exam by signing up for free.
Here you can find the meaning of If cot-1 x + cot-1 y + cot-1 then x + y + z is equal toa)b)xyzc)xy + yz + zxd)none of theseCorrect answer is option 'B'. Can you explain this answer? defined & explained in the simplest way possible. Besides giving the explanation of If cot-1 x + cot-1 y + cot-1 then x + y + z is equal toa)b)xyzc)xy + yz + zxd)none of theseCorrect answer is option 'B'. Can you explain this answer?, a detailed solution for If cot-1 x + cot-1 y + cot-1 then x + y + z is equal toa)b)xyzc)xy + yz + zxd)none of theseCorrect answer is option 'B'. Can you explain this answer? has been provided alongside types of If cot-1 x + cot-1 y + cot-1 then x + y + z is equal toa)b)xyzc)xy + yz + zxd)none of theseCorrect answer is option 'B'. Can you explain this answer? theory, EduRev gives you an ample number of questions to practice If cot-1 x + cot-1 y + cot-1 then x + y + z is equal toa)b)xyzc)xy + yz + zxd)none of theseCorrect answer is option 'B'. Can you explain this answer? tests, examples and also practice JEE tests.