Electrical Engineering (EE) Exam  >  Electrical Engineering (EE) Questions  >  If Rolles theorem holds for f(x) = x3 −... Start Learning for Free
If Rolle's theorem holds for f(x) = x3 − 6x2 + kx + 5 on [1, 3] with c = +1/3 , then the value of k is _____.(Answer up to the nearest integer)
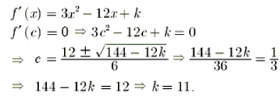
Correct answer is '11'. Can you explain this answer?
Most Upvoted Answer
If Rolles theorem holds for f(x) = x3 − 6x2 + kx + 5 on [1, 3] w...
⇒144 - 12k = 12 ⇒k = 11
Free Test
Community Answer
If Rolles theorem holds for f(x) = x3 − 6x2 + kx + 5 on [1, 3] w...
Understanding Rolle's Theorem
Rolle's Theorem states that if a function is continuous on a closed interval [a, b], differentiable on the open interval (a, b), and f(a) = f(b), then there exists at least one c in (a, b) such that f'(c) = 0.
Function Details
For the given function f(x) = x³ - 6x² + kx + 5:
- Interval: [1, 3]
- c: Given as +1/3
Step 1: Check Continuity and Differentiability
- The function is a polynomial, thus continuous and differentiable everywhere, including the interval [1, 3].
Step 2: Calculate f(1) and f(3)
- f(1):
f(1) = 1³ - 6(1)² + k(1) + 5 = 1 - 6 + k + 5 = k
- f(3):
f(3) = 3³ - 6(3)² + k(3) + 5 = 27 - 54 + 3k + 5 = 3k - 22
Step 3: Set f(1) = f(3)
To satisfy Rolle's theorem:
- k = 3k - 22
Rearranging gives:
- 22 = 2k
- k = 11
Conclusion
Thus, the value of k, satisfying the conditions of Rolle's theorem for the function on the interval [1, 3] is:
- k = 11
This aligns with the correct answer provided.
Explore Courses for Electrical Engineering (EE) exam
Question Description
If Rolles theorem holds for f(x) = x3 − 6x2 + kx + 5 on [1, 3] with c = +1/3 , then the value of k is _____.(Answer up to the nearest integer)Correct answer is '11'. Can you explain this answer? for Electrical Engineering (EE) 2026 is part of Electrical Engineering (EE) preparation. The Question and answers have been prepared according to the Electrical Engineering (EE) exam syllabus. Information about If Rolles theorem holds for f(x) = x3 − 6x2 + kx + 5 on [1, 3] with c = +1/3 , then the value of k is _____.(Answer up to the nearest integer)Correct answer is '11'. Can you explain this answer? covers all topics & solutions for Electrical Engineering (EE) 2026 Exam. Find important definitions, questions, meanings, examples, exercises and tests below for If Rolles theorem holds for f(x) = x3 − 6x2 + kx + 5 on [1, 3] with c = +1/3 , then the value of k is _____.(Answer up to the nearest integer)Correct answer is '11'. Can you explain this answer?.
Solutions for If Rolles theorem holds for f(x) = x3 − 6x2 + kx + 5 on [1, 3] with c = +1/3 , then the value of k is _____.(Answer up to the nearest integer)Correct answer is '11'. Can you explain this answer? in English & in Hindi are available as part of our courses for Electrical Engineering (EE). Download more important topics, notes, lectures and mock test series for Electrical Engineering (EE) Exam by signing up for free.
Here you can find the meaning of If Rolles theorem holds for f(x) = x3 − 6x2 + kx + 5 on [1, 3] with c = +1/3 , then the value of k is _____.(Answer up to the nearest integer)Correct answer is '11'. Can you explain this answer? defined & explained in the simplest way possible. Besides giving the explanation of If Rolles theorem holds for f(x) = x3 − 6x2 + kx + 5 on [1, 3] with c = +1/3 , then the value of k is _____.(Answer up to the nearest integer)Correct answer is '11'. Can you explain this answer?, a detailed solution for If Rolles theorem holds for f(x) = x3 − 6x2 + kx + 5 on [1, 3] with c = +1/3 , then the value of k is _____.(Answer up to the nearest integer)Correct answer is '11'. Can you explain this answer? has been provided alongside types of If Rolles theorem holds for f(x) = x3 − 6x2 + kx + 5 on [1, 3] with c = +1/3 , then the value of k is _____.(Answer up to the nearest integer)Correct answer is '11'. Can you explain this answer? theory, EduRev gives you an ample number of questions to practice If Rolles theorem holds for f(x) = x3 − 6x2 + kx + 5 on [1, 3] with c = +1/3 , then the value of k is _____.(Answer up to the nearest integer)Correct answer is '11'. Can you explain this answer? tests, examples and also practice Electrical Engineering (EE) tests.
Explore Courses for Electrical Engineering (EE) exam

Top Courses for Electrical Engineering (EE)

Explore Courses
Signup for Free!
Signup to see your scores go up within 7 days! Learn & Practice with 1000+ FREE Notes, Videos & Tests.
10M+ students study on EduRev