Chemistry Exam  >  Chemistry Questions  >  Calculate order of reaction A → product... Start Learning for Free
Calculate order of reaction A → product , from the following data:
  • a)
    –1
  • b)
    –2
  • c)
    1
  • d)
    2
Correct answer is option 'B'. Can you explain this answer?
Verified Answer
Calculate order of reaction A → product , from the following dat...
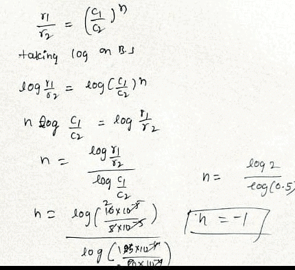
By doubling the concentration the rate becomes half from (i) to (ii) also from (ii) to (iii).
Hence, B is correct.
View all questions of this test
Most Upvoted Answer
Calculate order of reaction A → product , from the following dat...
By doubling the concentration the rate becomes half from (i) to (ii) also from (ii) to (iii).
Hence, B is correct.
Free Test
Community Answer
Calculate order of reaction A → product , from the following dat...
Explore Courses for Chemistry exam

Top Courses for Chemistry

Question Description
Calculate order of reaction A → product , from the following data:a)–1b)–2c)1d)2Correct answer is option 'B'. Can you explain this answer? for Chemistry 2026 is part of Chemistry preparation. The Question and answers have been prepared according to the Chemistry exam syllabus. Information about Calculate order of reaction A → product , from the following data:a)–1b)–2c)1d)2Correct answer is option 'B'. Can you explain this answer? covers all topics & solutions for Chemistry 2026 Exam. Find important definitions, questions, meanings, examples, exercises and tests below for Calculate order of reaction A → product , from the following data:a)–1b)–2c)1d)2Correct answer is option 'B'. Can you explain this answer?.
Solutions for Calculate order of reaction A → product , from the following data:a)–1b)–2c)1d)2Correct answer is option 'B'. Can you explain this answer? in English & in Hindi are available as part of our courses for Chemistry. Download more important topics, notes, lectures and mock test series for Chemistry Exam by signing up for free.
Here you can find the meaning of Calculate order of reaction A → product , from the following data:a)–1b)–2c)1d)2Correct answer is option 'B'. Can you explain this answer? defined & explained in the simplest way possible. Besides giving the explanation of Calculate order of reaction A → product , from the following data:a)–1b)–2c)1d)2Correct answer is option 'B'. Can you explain this answer?, a detailed solution for Calculate order of reaction A → product , from the following data:a)–1b)–2c)1d)2Correct answer is option 'B'. Can you explain this answer? has been provided alongside types of Calculate order of reaction A → product , from the following data:a)–1b)–2c)1d)2Correct answer is option 'B'. Can you explain this answer? theory, EduRev gives you an ample number of questions to practice Calculate order of reaction A → product , from the following data:a)–1b)–2c)1d)2Correct answer is option 'B'. Can you explain this answer? tests, examples and also practice Chemistry tests.
Explore Courses for Chemistry exam

Top Courses for Chemistry

Explore Courses
Signup for Free!
Signup to see your scores go up within 7 days! Learn & Practice with 1000+ FREE Notes, Videos & Tests.
10M+ students study on EduRev