JEE Exam  >  JEE Questions  >  a)π/6b)17π/6c)5π/6d)none of theseCor... Start Learning for Free
  • a)
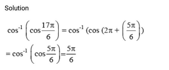
    π/6
  • b)
    17π/6
  • c)
    5π/6
  • d)
    none of these 
Correct answer is option 'C'. Can you explain this answer?
Verified Answer
a)π/6b)17π/6c)5π/6d)none of theseCorrect answer is option 'C'...
View all questions of this test
Most Upvoted Answer
a)π/6b)17π/6c)5π/6d)none of theseCorrect answer is option 'C'...
Free Test
Community Answer
a)π/6b)17π/6c)5π/6d)none of theseCorrect answer is option 'C'...
Explore Courses for JEE exam
Question Description
a)π/6b)17π/6c)5π/6d)none of theseCorrect answer is option 'C'. Can you explain this answer? for JEE 2026 is part of JEE preparation. The Question and answers have been prepared according to the JEE exam syllabus. Information about a)π/6b)17π/6c)5π/6d)none of theseCorrect answer is option 'C'. Can you explain this answer? covers all topics & solutions for JEE 2026 Exam. Find important definitions, questions, meanings, examples, exercises and tests below for a)π/6b)17π/6c)5π/6d)none of theseCorrect answer is option 'C'. Can you explain this answer?.
Solutions for a)π/6b)17π/6c)5π/6d)none of theseCorrect answer is option 'C'. Can you explain this answer? in English & in Hindi are available as part of our courses for JEE. Download more important topics, notes, lectures and mock test series for JEE Exam by signing up for free.
Here you can find the meaning of a)π/6b)17π/6c)5π/6d)none of theseCorrect answer is option 'C'. Can you explain this answer? defined & explained in the simplest way possible. Besides giving the explanation of a)π/6b)17π/6c)5π/6d)none of theseCorrect answer is option 'C'. Can you explain this answer?, a detailed solution for a)π/6b)17π/6c)5π/6d)none of theseCorrect answer is option 'C'. Can you explain this answer? has been provided alongside types of a)π/6b)17π/6c)5π/6d)none of theseCorrect answer is option 'C'. Can you explain this answer? theory, EduRev gives you an ample number of questions to practice a)π/6b)17π/6c)5π/6d)none of theseCorrect answer is option 'C'. Can you explain this answer? tests, examples and also practice JEE tests.
Explore Courses for JEE exam

Top Courses for JEE

Explore Courses
Signup for Free!
Signup to see your scores go up within 7 days! Learn & Practice with 1000+ FREE Notes, Videos & Tests.
10M+ students study on EduRev