​Frequency Modulation - Electronics and Communication Engineering (ECE) PDF Download

FREQUENCY MODULATION:
 

Frequency modulation (FM) conveys information over a carrier wave by varying its instantaneous frequency. This is in contrast with amplitude modulation, in which the amplitude of the carrier is varied while its frequency remains constant. In analog applications, the difference between the instantaneous and the base frequency of the carrier is directly proportional to the instantaneous value of the input signal amplitude. Digital data can be sent by shifting the carrier's frequency among a set of discrete values, a technique known as frequency-shift keying.

Frequency modulation can be regarded as phase modulation where the carrier phase modulation is the time integral of the FM modulating signal.

FM is widely used for broadcasting of music and speech, and in two-way radio systems, in magnetic tape recording systems, and certain video transmission systems. In radio systems, frequency modulation with sufficient bandwidth provides an advantage in cancelling naturally-occurring noise. Frequency-shift keying (digital FM) is widely used in data and fax modems.

 

THEORY:

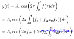
Suppose the baseband data signal (the message) to be transmitted is xm(t) and the sinusoidal carrier is ​Frequency Modulation - Electronics and Communication Engineering (ECE) , where fc is the carrier's base frequency and Ac is the carrier's amplitude. The modulator combines the carrier with the baseband data signal to get the transmitted signal:

​Frequency Modulation - Electronics and Communication Engineering (ECE)

In this equation f (T), is the instantaneous frequency of the oscillator and  fΔ is the frequency deviation, which represents the maximum shift away from fc in one direction, assuming xm(t) is limited to the range ±1. Although it may seem that this limits the frequencies in use to f± fΔ, this neglects the distinction between instantaneous frequency and spectral frequency. The frequency spectrum of an actual FM signal has components extending out to infinite frequency, although they become negligibly small beyond a point.

Although it may seem that this limits the frequencies in use to fc ± fΔ, this neglects the distinction between instantaneous frequency and spectral frequency. The frequency spectrum of an actual FM signal has components extending out to infinite frequency, although they become negligibly small beyond a point.

SINUSOIDAL BASEBAND SIGNAL: 

While it is an over-simplification, a baseband modulated signal may be approximated by a sinusoidal Continuous Wave signal with a frequency fm. The integral of such a signal is

​Frequency Modulation - Electronics and Communication Engineering (ECE)

Thus, in this specific case, equation (1) above simplifies to:

​Frequency Modulation - Electronics and Communication Engineering (ECE)

where the amplitude  Aof the modulating sinusoid, is represented by the peak deviation (see frequency deviation)fΔ . The harmonic distribution of a sine wave carrier modulated by such a sinusoidal signal can be represented with Bessel functions - this provides a basis for a mathematical understanding of frequency modulation in the frequency domain.

 

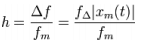
MODULATION INDEX: 

As with other modulation indices, this quantity indicates by how much the modulated variable varies around its unmodulated level. It relates to the variations in the frequency of the carrier signal:

​Frequency Modulation - Electronics and Communication Engineering (ECE)

where is the highest frequency component present in the modulating signal xm(t), and Δf is the Peak frequency-deviation, i.e. the maximum deviation of the instantaneous frequency from the carrier frequency. If  h << 1, the modulation is called narrowband FM, and its bandwidth is approximately 2fm . If h >>1 , the modulation is called wideband FM and its bandwidth is approximately 2f Δ. While wideband FM uses more bandwidth, it can improve signal-to-noise ratio significantly.

With a tone-modulated FM wave, if the modulation frequency is held constant and the modulation index is increased, the (non-negligible) bandwidth of the FM signal increases, but the spacing between spectra stays the same; some spectral components decrease in strength as others increase. If the frequency deviation is held constant and the modulation frequency increased, the spacing between spectra increases.

Frequency modulation can be classified as narrow band if the change in the carrier frequency is about the same as the signal frequency, or as wide-band if the change in the carrier frequency is much higher (modulation index >1) than the signal frequency. [1] For example, narrowband FM is used for two way radio systems such as Family Radio Service where the carrier is allowed to deviate only 2.5 kHz above and below the center frequency, carrying speech signals of no more than 3.5 kHz bandwidth. Wide-band FM is used for FM broadcasting where music and speech is transmitted with up to 75 kHz deviation from the center frequency, carrying audio with up to 20 kHz bandwidth.

CARSON'S RULE: 

A rule of thumb, Carson's rule states that nearly all (~98%) of the power of a frequency-modulated signal lies within a bandwidth of BT

​Frequency Modulation - Electronics and Communication Engineering (ECE)

where Δf , as defined above, is the peak deviation of the instantaneous frequency f(t) from the center carrier frequency fc.

NOISE QUIETING:

The noise power decreases as the signal power increases, therefore the SNR goes up significantly

 MODULATION:

  • FM signals can be generated using either direct or indirect frequency modulation
  • Direct FM modulation can be achieved by directly feeding the message into the input of a VCO.
  • For indirect FM modulation, the message signal is integrated to generate a phase modulated signal. This is used to modulate a crystal controlled oscillator, and the result is passed through a frequency multiplier to give an FM signal.
The document ​Frequency Modulation - Electronics and Communication Engineering (ECE) is a part of Electronics and Communication Engineering (ECE) category.
All you need of Electronics and Communication Engineering (ECE) at this link: Electronics and Communication Engineering (ECE)

FAQs on ​Frequency Modulation - Electronics and Communication Engineering (ECE)

1. What is frequency modulation (FM)?
Ans. Frequency modulation (FM) is a modulation technique used in electronics and communication engineering to encode information onto a carrier wave by varying the frequency of the wave. It is commonly used in radio and television broadcasting, as well as in various other communication systems.
2. How does frequency modulation work?
Ans. In frequency modulation, the frequency of the carrier wave is varied in proportion to the instantaneous amplitude of the modulating signal. This variation in frequency allows the transmission of information. The modulating signal causes the frequency of the carrier wave to deviate above and below its nominal frequency, resulting in the formation of sidebands that carry the encoded information.
3. What are the advantages of frequency modulation?
Ans. Frequency modulation offers several advantages in communication systems. Firstly, it provides better noise immunity compared to amplitude modulation, as FM signals are less susceptible to amplitude variations and interference. Secondly, FM signals have a wider bandwidth, allowing for a higher fidelity transmission of audio or data. Lastly, FM signals are less affected by signal reflections and multipath interference, making them suitable for long-range communication.
4. What is the difference between frequency modulation (FM) and amplitude modulation (AM)?
Ans. The main difference between frequency modulation (FM) and amplitude modulation (AM) lies in how the carrier wave is modulated. In FM, the frequency of the carrier wave is varied, while in AM, the amplitude of the carrier wave is varied. FM offers better noise immunity, wider bandwidth, and is less affected by signal reflections compared to AM. However, AM is simpler to implement and requires less bandwidth.
5. What are the applications of frequency modulation?
Ans. Frequency modulation finds applications in various fields. The most common application is in radio broadcasting, where FM signals are used to transmit audio signals with high fidelity. FM is also used in television broadcasting, wireless communication systems, radar systems, and even in certain types of electronic musical instruments. Additionally, FM is used in frequency modulation spectroscopy, a technique used in gas sensing and analysis.
Download as PDF

Top Courses for Electronics and Communication Engineering (ECE)

Related Searches

video lectures

,

shortcuts and tricks

,

practice quizzes

,

mock tests for examination

,

Viva Questions

,

Previous Year Questions with Solutions

,

Extra Questions

,

Sample Paper

,

​Frequency Modulation - Electronics and Communication Engineering (ECE)

,

pdf

,

Important questions

,

Summary

,

MCQs

,

​Frequency Modulation - Electronics and Communication Engineering (ECE)

,

Free

,

Objective type Questions

,

​Frequency Modulation - Electronics and Communication Engineering (ECE)

,

past year papers

,

ppt

,

study material

,

Exam

,

Semester Notes

;