Civil Engineering (CE) Exam  >  Civil Engineering (CE) Notes  >  Algebra of Second Order Tensors

Algebra of Second Order Tensors - Civil Engineering (CE) PDF Download

Algebra of second order tensors
A second order tensor A, for our purposes here, may be thought of as a linear function that maps a directed line segment to another directed line segment. This we write as, v = Au where A is the linear function that assigns a vector v to each vector u. Since A is a linear function,

Au + βv) = αAu + βAv,                                         (2.37)

for all vectors u, v and all scalars α, β.
If A and B are two second order tensors, we can define the sum A + B, the difference A − B and the scalar multiplication αA by the rules

(A � B)u = Au � Bu,                                    (2.38)
(αA)u = α(Au),                                                  (2.39)

where u denotes an arbitrary vector. The important second order unit (or identity) tensor 1 and the second order zero tensor 0 are defined, respectively, by the relation 1u = u and 0u = o, for all (∀) vectors u.

If the relation v � Av ≥ 0 holds for all vectors, then A is said to be a positive semi-definite tensor. If the condition v�Av > 0 holds for all nonzero vectors v, then A is said to be positive definite tensor. Tensor A is called negative semi-definite if v � Av ≤ 0 and negative definite if v � Av < 0 for all vectors, v ≠ o, respectively.

The tensor (or direct or matrix) product or the dyad of the vectors u and v is denoted by uv. It is a second order tensor which linearly transforms a vector w into a vector with the direction of u following the rule

(u  v)w = (v � w)u.                                              (2.40)

The dyad satisfies the linearity property

(u  v)(αw + βx) = α(u  v)w + β(u  v)x.                                 (2.41)

The following relations are easy to establish:

(αu + βv)  w = α(u  w) + β(v                                    (2.42)
(u  v)(w  x) = (v � w)(u  x),                                         (2.43)
A(u  v) = (Au)  v,                                                (2.44)

where, A is an arbitrary second order tensor, u, v, w and x are arbitrary vectors and α and β are arbitrary scalars. Dyad is not commutative, i.e.,
uvvu and ( v)(wx) ≠ (wx)(uv).
A dyadic is a linear combination of dyads with scalar coefficients, for example, α(uv) + β(wx). Any second-order tensor can be expressed as a dyadic. As an example, the second order tensor A may be represented by a linear combination of dyads formed by the Cartesian basis {ei}, i.e.,
A = Aijei ⊗ ej The nine Cartesian components of A with respect to {ei}, represented by Aij can be expressed as a matrix [A], i.e.,

Algebra of Second Order Tensors - Civil Engineering (CE)

This is known as the matrix notation of tensor A. We call A, which is resolved along basis vectors that are orthonormal and fixed, a Cartesian tensor of order two. Then, the components of A with respect to a fixed, orthonormal basis vectors ei is obtained as:

Algebra of Second Order Tensors - Civil Engineering (CE)

The Cartesian components of the unit tensor 1 form the Kronecker delta symbol, thus 1 = δije⊗ ej = ei ⊗ ei and in matrix form that
Algebra of Second Order Tensors - Civil Engineering (CE)

Next we would like to derive the components of u ⊗ v along an orthonormal basis {ei}. Using the representation (2.46) we find that

Algebra of Second Order Tensors - Civil Engineering (CE)

where ui and vare the Cartesian components of the vectors u and v respectively. Writing the above equation in the convenient matrix notation we have

Algebra of Second Order Tensors - Civil Engineering (CE)

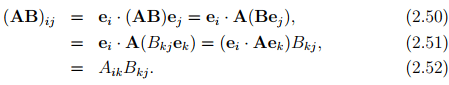
The product of two second order tensors A and B denoted by AB is again a second order tensor. It follows from the requirement  (AB)u = (Bu) , for all vectors u.

Further, the product of second order tensors is not commutative, i.e., AB ≠ BA. The components of the product AB along an orthonormal basis {ei} is found to be:
Algebra of Second Order Tensors - Civil Engineering (CE)
The following properties hold for second order tensors:
Algebra of Second Order Tensors - Civil Engineering (CE)

Note that the relations AB = 0 and Au = o does not imply that A or B is 0 or u = o.
The unique transpose of a second order tensor A denoted by Ais governed by the identity:
v � Atu = u � Av                                          (2.60)

for all vectors u and v. Some useful properties of the transpose are
Algebra of Second Order Tensors - Civil Engineering (CE)

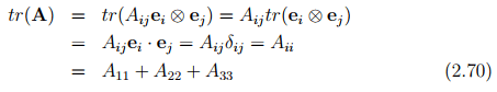
From identity (2.60) we obtain e� Atej = ej � Aei , which gives, in regard to equation (2.46), the relation (At )ij = Aji. The trace of a tensor A is a scalar denoted by tr(A) and is defined as:
Algebra of Second Order Tensors - Civil Engineering (CE)

where u, v, w are any vectors such that [u, v, w] ≠ 0, i.e., these vectors span the entire 3D vector space. Thus, tr(m ⊗ n) = m � n. Let us see how: Without loss of generality we can assume the vectors u, v and w to be m, n and (m ∧ n) respectively. Then, (2.65) becomes
Algebra of Second Order Tensors - Civil Engineering (CE)

The following properties of trace is easy to establish from (2.65):
Algebra of Second Order Tensors - Civil Engineering (CE)
Then, the trace of a tensor A with respect to the orthonormal basis {ei} is given by
Algebra of Second Order Tensors - Civil Engineering (CE)
The dot product between two tensors denoted by A � B, just like the dot product of two vectors yields a real value and is defined as
Algebra of Second Order Tensors - Civil Engineering (CE)
Next, we record some useful properties of the dot operator:
Algebra of Second Order Tensors - Civil Engineering (CE)

Note that if we have the relation A�B = C�B, in general, we cannot conclude that A equals C. A = C only if the above equality holds for any arbitrary B.
The norm of a tensor A is denoted by |A| (or ||A||). It is a non-negative real number and is defined by the square root of A � A, i.e.,
Algebra of Second Order Tensors - Civil Engineering (CE)

The determinant of a tensor A is defined as:
Algebra of Second Order Tensors - Civil Engineering (CE)

where u, v, w are any vectors such that [u, v, w] ≠ 0, i.e., these vectors span the entire 3D vector space. In index notation:

Algebra of Second Order Tensors - Civil Engineering (CE)

Then, it could be shown that

Algebra of Second Order Tensors - Civil Engineering (CE)

A tensor A is said to be singular if and only if det(A) = 0. If A is a non-singular tensor i.e., det(A) ≠ 0, then there exist a unique tensor A−1 , called the inverse of A satisfying the relation
Algebra of Second Order Tensors - Civil Engineering (CE)

If tensors A and B are invertible (i.e., they are non-singular), then the properties
Algebra of Second Order Tensors - Civil Engineering (CE)

hold.
Corresponding to an arbitrary tensor A there is a unique tensor A* , called the adjugate of A, such that
Algebra of Second Order Tensors - Civil Engineering (CE)
for any arbitrary vectors a and b in the vector space. Suppose that A is invertible and that a, b, c are arbitrary vectors, then
Algebra of Second Order Tensors - Civil Engineering (CE)

where successive use has been made of equations (2.88), (2.81), (2.63), (2.77) and (2.60). Because of the arbitrariness of a, b, c there follows the connection
Algebra of Second Order Tensors - Civil Engineering (CE)
between the inverse of A and the adjugate of At .


Orthogonal tensor 
An orthogonal tensor Q is a linear function satisfying the condition

Algebra of Second Order Tensors - Civil Engineering (CE)

for all vectors u and v. As can be seen, the dot product is invariant (its value does not change) due to the transformation of the vectors by the orthogonal tensor. The dot product being invariant means that both the angle, θ between the vectors u and v and the magnitude of the vectors |u|, |v| are preserved. Consequently, the following properties of orthogonal tensor can be inferred:

Algebra of Second Order Tensors - Civil Engineering (CE)

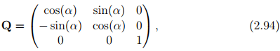
It follows from (2.92) that Q−1 = Qt . If det(Q) = 1, Q is said to be proper orthogonal tensor and this transformation corresponds to a rotation. On the other hand, if det(Q) = −1, Q is said to be improper orthogonal tensor and this transformation corresponds to a reflection superposed on a rotation.
Figure 2.2 shows what happens to two directed line segments, u1 and v1 under the action the two kinds of orthogonal tensors. A proper orthogonal tensor corresponding to a rotation about the e3 basis, whose Cartesian coordinate components are given by
Algebra of Second Order Tensors - Civil Engineering (CE)

transforms, Algebra of Second Order Tensors - Civil Engineering (CE) maintaining their lengths and the angle between these line segments. Here Algebra of Second Order Tensors - Civil Engineering (CE) An improper orthogonal

Algebra of Second Order Tensors - Civil Engineering (CE)
Figure 2.2: Schematic of transformation of directed line segments u1 and v1 under the action of proper orthogonal tensor to  Algebra of Second Order Tensors - Civil Engineering (CE) as well as by improper orthogonal tensor to  Algebra of Second Order Tensors - Civil Engineering (CE) respectively.

tensor corresponding to reflection about e1 axis, whose Cartesian coordinate components are given by
Algebra of Second Order Tensors - Civil Engineering (CE)                                                                                   (2.95)

transforms, u1 to Algebra of Second Order Tensors - Civil Engineering (CE) still maintaining their lengths and the angle between these line segments a constant.


Symmetric and skew tensors 
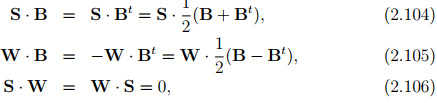
A symmetric tensor, S and a skew symmetric tensor, W are such:
Algebra of Second Order Tensors - Civil Engineering (CE)
therefore the matrix components of these tensor reads
Algebra of Second Order Tensors - Civil Engineering (CE)

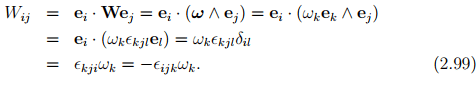
thus, there are only six independent components in symmetric tensors and three independent components in skew tensors. Since, there are only three independent scalar quantities that in a skew tensor, it behaves like a vector with three components. Indeed, the relation holds:
Wu = ω ∧ u,                                  (2.98)
where u is any vector and ω characterizes the axial (or dual) vector of the skew tensor W, with the property |ω| = |W|  Algebra of Second Order Tensors - Civil Engineering (CE)  (proof is omitted). The relation between the Cartesian components of W and ω is obtained as:
Algebra of Second Order Tensors - Civil Engineering (CE)

Thus, we get

Algebra of Second Order Tensors - Civil Engineering (CE)

where the components W12, W13, W23 form the entries of the matrix [W] as characterized in (2.97)b.

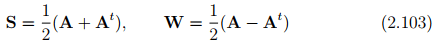
Any tensor A can always be uniquely decomposed into a symmetric tensor, denoted by S (or sym(A)), and a skew (or antisymmetric) tensor, denoted by W (or skew(A)). Hence, A = S + W, where

Algebra of Second Order Tensors - Civil Engineering (CE)

Next, we shall look at some properties of symmetric and skew tensors:
Algebra of Second Order Tensors - Civil Engineering (CE)

where B denotes any second order tensor. The first of these equalities in the above equations is due to the property of the dot and trace operator, namely A � B = At � Bt and that A � B = B � A.

 

Projection tensor 
Consider any vector u and a unit vector e. Then, we write u = u|| + u, with uk and u characterizing the projection of u onto the line spanned by e and onto the plane normal to e respectively. Using the definition of a tensor product (2.40) we deduce that

Algebra of Second Order Tensors - Civil Engineering (CE)

where
Algebra of Second Order Tensors - Civil Engineering (CE)
are projection tensors of order two. A tensor P is a projection if P is symmetric and Pn = P where n is a positive integer, with properties:
Algebra of Second Order Tensors - Civil Engineering (CE)


Spherical and deviatoric tensors 
Any tensor of the form α1, with α denoting a scalar is known as a spherical tensor.
Every tensor A can be decomposed into its so called spherical part and its deviatoric part, i.e.,
Algebra of Second Order Tensors - Civil Engineering (CE)
where α = tr(A)/3 = Aii/3 and dev(A) is known as a deviator of A or a deviatoric tensor and is defined as dev  (A) = A − (1/3)tr(A)1, or [dev(A)]ij = Aij − (1/3)Akkδij . It then can be easily verified that tr(dev(A)) = 0, for any second order tensor A.

Polar Decomposition theorem 
Above we saw two additive decompositions of an arbitrary tensor A. Of comparable significance in continuum mechanics are the multiplicative decompositions afforded by the polar decomposition theorem. This result states that an arbitrary invertible tensor A can be uniquely expressed in the forms

A = QU = VQ,                               (2.116)

where Q is an orthogonal tensor and U, V are positive definite symmetric tensors. It should be noted that Q is proper or improper orthogonal according as det(A) is positive or negative. 

The document Algebra of Second Order Tensors - Civil Engineering (CE) is a part of Civil Engineering (CE) category.
All you need of Civil Engineering (CE) at this link: Civil Engineering (CE)

FAQs on Algebra of Second Order Tensors - Civil Engineering (CE)

1. What is the algebraic definition of a second-order tensor?
Ans. A second-order tensor is a mathematical object that represents a linear mapping between two vector spaces. It can be represented as a matrix or an array of numbers and follows certain algebraic rules for addition and multiplication.
2. How do you perform addition and subtraction of second-order tensors?
Ans. To add or subtract two second-order tensors, simply add or subtract their corresponding components. For example, if we have two tensors A and B, the addition is performed as A + B = (A11 + B11, A12 + B12, ...), and subtraction is performed as A - B = (A11 - B11, A12 - B12, ...).
3. What is the product of a second-order tensor with a scalar?
Ans. The product of a second-order tensor with a scalar is obtained by multiplying each component of the tensor by the scalar. For example, if we have a tensor A and a scalar c, the product is given by cA = (cA11, cA12, ...).
4. How do you perform tensor-tensor multiplication?
Ans. Tensor-tensor multiplication, also known as the tensor product, is performed by multiplying each component of one tensor with each component of the other tensor and summing them up. This results in a new tensor with increased order. The tensor product of two second-order tensors A and B is denoted as A ⊗ B and is given by (A ⊗ B)ij = AiBj.
5. Can two second-order tensors be multiplied together?
Ans. Yes, two second-order tensors can be multiplied together using the tensor product. The resulting tensor will have a higher order than the original tensors. The tensor product of two second-order tensors A and B is denoted as A ⊗ B and is given by (A ⊗ B)ij = AiBj.
Download as PDF

Top Courses for Civil Engineering (CE)

Related Searches

Exam

,

Semester Notes

,

past year papers

,

Viva Questions

,

Algebra of Second Order Tensors - Civil Engineering (CE)

,

Objective type Questions

,

Sample Paper

,

Important questions

,

practice quizzes

,

ppt

,

shortcuts and tricks

,

mock tests for examination

,

video lectures

,

Summary

,

Algebra of Second Order Tensors - Civil Engineering (CE)

,

Free

,

MCQs

,

study material

,

Extra Questions

,

Algebra of Second Order Tensors - Civil Engineering (CE)

,

pdf

,

Previous Year Questions with Solutions

;