Chemistry Exam  >  Chemistry Notes  >  Organic Chemistry  >  Alkaloids-Bio-Molecules

Alkaloids-Bio-Molecules | Organic Chemistry PDF Download

What is Alkaloids?

Alkaloids means ‘Alkali’ like. Alkaloids are defined as natural plant compounds that have a basic character and contain at least one nitrogen atom in a heterocyclic ring and have biological activities. The Pharmacist W.Meissner proposed the term Alkaloids in 1819. Alkaloids (alkali = base, oid=like sub). Characteristic features: Alkaloids are basic nitrogenous plant origin, mostly optically active & possessing nitrogen hetero cycles as their structural units with physiological action. The previous definitions not fully correct because they do not follow on all alkaloids for e.g.

  • Colchicine: Colchicine is regarded as an alkaloid although it is not heterocyclic and is scarcely basic.

Alkaloids-Bio-Molecules | Organic Chemistry

  • Thiamine: It is heterocyclic nitrogenous base but not as a alkaloid because it is universally distributed in living matter.

Alkaloids-Bio-Molecules | Organic Chemistry

  • Nitrogen as side chain: Some compound is classed as in alkaloids but they do not contain nitrogen in heterocyclic ring, but contain nitrogen inside the chain e.g. ephedrine, hordenine, betanine, muscarine, strychnine & tryptamine etc.

Alkaloids-Bio-Molecules | Organic Chemistry

  • Naturally occurring open chain basic compound: These compounds have physiological activity but do not class in alkaloids e.g. Cholines, amino acid, phenylethylamines etc.

Alkaloids-Bio-Molecules | Organic Chemistry

  • Piperine: It is neither basic character nor possessing any physiological activity but include in alkaloids.

Alkaloids-Bio-Molecules | Organic Chemistry

Those compound, which fully satisfy the definitions, like physiological active, heterrocyclic basic nitrogenous ring but they do not classed in alkaloids e.g.- Thiamine, caffeine, purine, theobromine, and xanthenes.

Occurrence of Alkaloids

Alkaloids are chemically nitrogenous heterocyclic basic compound occur in nature, about 15% of vascular plant & widely distributed in higher plant e.g.. -Apocynace, papaveraceae, papilanaceae, rananeulaceae, solenaceae.They are present in the form of salts of organic acid, like acetic acid, oxalic acid, malic, lactic, tartaric, tannic, aconitic acid, few are with sugar e.g. Solanum, veratrum groups. Acc. to parts of plants:

  • Leaves: Nicotine
  • Bark: Cinchonine, Quinine.
  • Seeds: Strychnine, Nibidine.
  • Roots: Rawelfinine, Glycyrrhizin, Punarnavine I & II

NOMENCLATURE

There was no systematic nomenclature. But there are some methods for nomenclature which are mention below.

1. According to their source: They are named according to the family in which they are found e.g. papavarine, punarnavin, ephedrin.

2. According to their Physiological response: They are named according to their physiological response e.g.. Morphine means God of dreams, Emetine means to vomit.

3. According to their discovery: They are named according to their discovery e.g. Pelletierine has been named on its discoverer, P.J. Pelletier.

4. Prefixes: They are named by some prefixes which are fix in nomenclature of alkaloids, e.g. epi, iso, neo, pseudo etc.

CLASSIFICATION

Based on the chemical nature

Alkaloids are classified into two major groups as mentioned below:

1. Heterocyclic or typical alkaloids

2. Non-heterocyclic or atypical alkaloids.

1. Heterocyclic Alkaloids

i). Pyridines and piperidines based

Alkaloids-Bio-Molecules | Organic Chemistry

ii) Quinolines based

Alkaloids-Bio-Molecules | Organic Chemistry

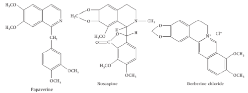
iii) Isoquinolines based

Alkaloids-Bio-Molecules | Organic Chemistry

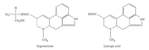
iv) Phenanthrenes based

Alkaloids-Bio-Molecules | Organic Chemistry

v) Indole based

Alkaloids-Bio-Molecules | Organic Chemistry

vi) Tropane based

Alkaloids-Bio-Molecules | Organic Chemistry

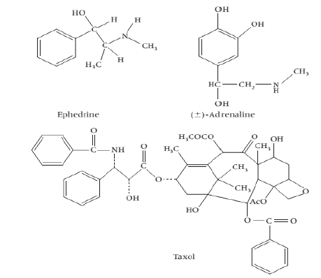
Non-heterocyclic Alkaloids

Alkaloids-Bio-Molecules | Organic Chemistry

Degradation of Alkaloids

Degradation of Alkaloids: For discovering the structural system which incorporate these substituents groups & is tackled by degradation of the molecules by following methods:

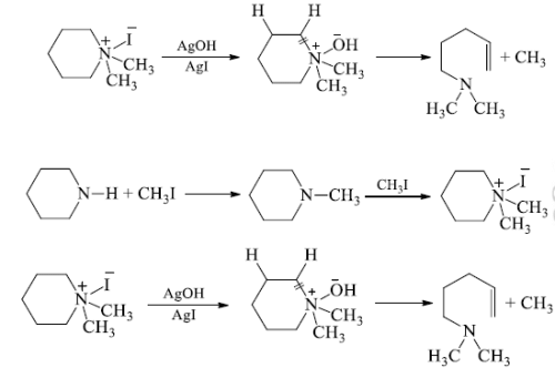
1. Hoffmann's exhaustive methylation: - This is a composite reaction of alkaloid (Heterocyclic amines) and involves following steps:

(a) The alkaloid is treated with excess of CH3I to form quartertionarey -ammoniumiodide.

Alkaloids-Bio-Molecules | Organic Chemistry

(b) 40-ammonium iodide is converted to the hydroxide and heated. The -OH of hydroxide extracts hydrogen atom from beta position and eliminate a water molecule and also the ring is cleaved at the N-atom to give an open chain 30-amine.

Alkaloids-Bio-Molecules | Organic Chemistry

(c) The step Ist and IInd are repeated when a second cleavage at the N-atom given an unsaturated hydrocarbon which isomerase’s to conjugated derivative.

Alkaloids-Bio-Molecules | Organic Chemistry

The exhaustive methylation of an alkaloid is an important method for the investigation of the nature of the C-skeleton in the heterocyclic system.

2. Zinc distillation: Distillation of alkaloid over zinc dust degrades it into a stable aromatic derivative.

Alkaloids-Bio-Molecules | Organic Chemistry

Structure Elucidation of Caffeine

  • Caffeine when subjected to Herzig Meyer’s method of N-methyl determination gives 3 moles of methyl iodide and xanthine, indicating the presence of 3-N-methyl groups.

Alkaloids-Bio-Molecules | Organic Chemistry

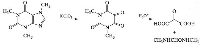
  • Caffeine when oxidized with potassium chlorate in hydrochloric acid solution, yielded equimolar amounts of 1,3-dimethylalloxan, monomethyl urea, and N-methylhydantoin.

Alkaloids-Bio-Molecules | Organic Chemistry

  • 1,3-Dimethyl alloxan on further hydrolysis gave N, N’-dimethyl urea and mesoxalic acid.

Alkaloids-Bio-Molecules | Organic Chemistry

  • N-methylhydantoin on hydrolysis afforded N-methyl glycine together with CO2 and ammonia.

Alkaloids-Bio-Molecules | Organic Chemistry

  • The formation of 1,3-dimethyl-alloxan indicated the presence of pyrimidine ring containing two methyl groups. Similarly formation of N-methylhydantoin revealed the presence of imidazole ring with one N-methyl substituent.
  • Thus oxidation studies established the position of two methyl groups at 1 and 3 positions of xanthine skeleton of caffeine.

Alkaloids-Bio-Molecules | Organic Chemistry

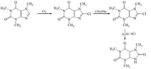
  • The position of third methyl group, which may be at 7 or 9, was fixed from further oxidative degradation.
  • Caffeine on chlorination gave chloro-caffeine, which on nucleophilic displacement with methoxide ion yielded methoxycaffine the hydrolysis of the latter compound yields oxycaffeine.

Alkaloids-Bio-Molecules | Organic Chemistry

The structure of caffeine was further confirmed by total synthesis. Traube synthesized caffeine starting from N, N’-dimethyllurea and ethylcyanoacetate.


Physicochemical properties:

  • Solid crystalline compound (exception are: coniine and Nicotine are liquid (It doesn't have Oxygen in their structure).
  • Colorless compound (exception are berberine (yellow), Betaine (red).
  • Sharp melting Point because it’s pure compound in crystal form.
  • Can be either 1º, 2º, 3º or 40 alkaloid
  • Basicity depends on availability of lone pair of electrons:

1. Electron donating or electron withdrsawing neighbors.

2. Type of hybridization.

3. Aromaticity.

The document Alkaloids-Bio-Molecules | Organic Chemistry is a part of the Chemistry Course Organic Chemistry.
All you need of Chemistry at this link: Chemistry
44 videos|102 docs|52 tests

FAQs on Alkaloids-Bio-Molecules - Organic Chemistry

1. What are alkaloids?
Ans. Alkaloids are bio-molecules that are naturally occurring chemical compounds found in plants. They are characterized by their nitrogen-containing organic structures and often possess pharmacological effects on humans and animals.
2. How do alkaloids act as bio-molecules?
Ans. Alkaloids act as bio-molecules by interacting with specific receptors or enzymes in the body. They can bind to these targets and either enhance or inhibit their functioning, leading to various physiological effects. This interaction with biological molecules makes alkaloids important in medicine and drug development.
3. Which plants are rich sources of alkaloids?
Ans. Various plants produce alkaloids, but some notable examples include opium poppy (Papaver somniferum), which produces morphine and codeine, and cinchona tree (Cinchona officinalis), which produces quinine. Other plants like tobacco, coffee, and cocoa also contain alkaloids.
4. What are some medicinal applications of alkaloids?
Ans. Alkaloids have diverse medicinal applications. For example, morphine, derived from opium poppy, is a potent analgesic used for pain relief. Quinine, derived from the cinchona tree, is used to treat malaria. Caffeine, an alkaloid found in coffee and tea, acts as a stimulant. These are just a few examples of the many medicinal uses of alkaloids.
5. Can alkaloids have harmful effects on the body?
Ans. Yes, alkaloids can have harmful effects on the body if consumed in excessive amounts or in the wrong form. Some alkaloids, such as nicotine found in tobacco, are highly addictive and can lead to various health problems. Additionally, certain alkaloids can be toxic or even lethal in large doses. It is important to use alkaloids responsibly and under professional guidance to avoid any potential harm.
Related Searches

Objective type Questions

,

Free

,

MCQs

,

Alkaloids-Bio-Molecules | Organic Chemistry

,

practice quizzes

,

Exam

,

study material

,

Important questions

,

Viva Questions

,

Alkaloids-Bio-Molecules | Organic Chemistry

,

Sample Paper

,

shortcuts and tricks

,

Extra Questions

,

Previous Year Questions with Solutions

,

Alkaloids-Bio-Molecules | Organic Chemistry

,

video lectures

,

past year papers

,

pdf

,

Summary

,

mock tests for examination

,

Semester Notes

,

ppt

;