Physics Exam  >  Physics Notes  >  Kinetic Theory & Thermodynamics  >  Application of Maxwell Relation

Application of Maxwell Relation | Kinetic Theory & Thermodynamics - Physics PDF Download

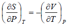
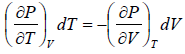
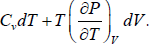
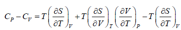
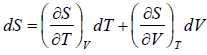
First T - dS equation

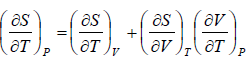
Let T and V are independent variable, such that S = S(T,V)

dS = Application of Maxwell Relation | Kinetic Theory & Thermodynamics - Physics

TdS = Application of Maxwell Relation | Kinetic Theory & Thermodynamics - Physics put Application of Maxwell Relation | Kinetic Theory & Thermodynamics - Physics

TdS = Application of Maxwell Relation | Kinetic Theory & Thermodynamics - Physics

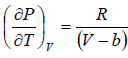
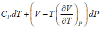
Second T - dS equation

Let T and P are independent variable, such that S = S(T, P).

TdS = Application of Maxwell Relation | Kinetic Theory & Thermodynamics - Physics

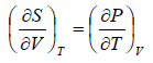
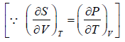
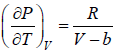
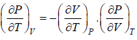
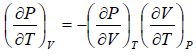
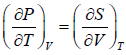
From Maxwell relation

Application of Maxwell Relation | Kinetic Theory & Thermodynamics - Physics

TdS = Application of Maxwell Relation | Kinetic Theory & Thermodynamics - Physics

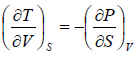
Third

T - dS

Equation

Let P, V are independent variable, such that S = S(P, V).

dS = Application of Maxwell Relation | Kinetic Theory & Thermodynamics - Physics

TdS = Application of Maxwell Relation | Kinetic Theory & Thermodynamics - Physics= Application of Maxwell Relation | Kinetic Theory & Thermodynamics - Physics

= Application of Maxwell Relation | Kinetic Theory & Thermodynamics - Physics

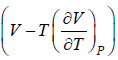
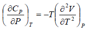
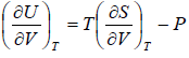
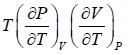
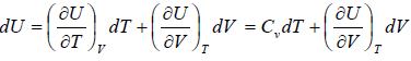
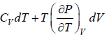
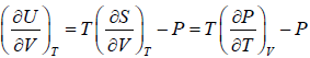
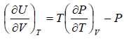
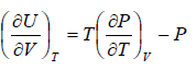
The First Energy Equation

Let T and V are independent variable, and U = U (T,V)

Application of Maxwell Relation | Kinetic Theory & Thermodynamics - Physics

From first law of thermodynamics.

dU = TdS - PdV

Application of Maxwell Relation | Kinetic Theory & Thermodynamics - Physics

Using Maxwell relation,

Application of Maxwell Relation | Kinetic Theory & Thermodynamics - Physics

Application of Maxwell Relation | Kinetic Theory & Thermodynamics - Physics

Application of Maxwell Relation | Kinetic Theory & Thermodynamics - Physics

Application of Maxwell Relation | Kinetic Theory & Thermodynamics - Physics

dU = Application of Maxwell Relation | Kinetic Theory & Thermodynamics - Physics

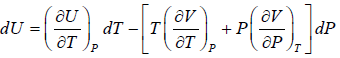
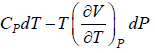
Second Energy Equation

Application of Maxwell Relation | Kinetic Theory & Thermodynamics - Physics

Application of Maxwell Relation | Kinetic Theory & Thermodynamics - Physics

Using Maxwell relation

Application of Maxwell Relation | Kinetic Theory & Thermodynamics - Physics

Application of Maxwell Relation | Kinetic Theory & Thermodynamics - Physics

This is popularly known as second energy equation

Application of second energy equation:

If U is function of independent variable of T and P.

Application of Maxwell Relation | Kinetic Theory & Thermodynamics - Physics

Application of Maxwell Relation | Kinetic Theory & Thermodynamics - Physics

Example 2: From relation, dU = TdS - PdV,  derive Maxwell relation, Application of Maxwell Relation | Kinetic Theory & Thermodynamics - Physics

dU = TdS - PdV

Application of Maxwell Relation | Kinetic Theory & Thermodynamics - Physics

Hence, U is exact differential

Application of Maxwell Relation | Kinetic Theory & Thermodynamics - Physics


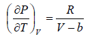
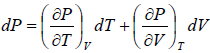
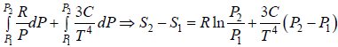
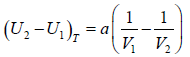
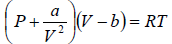
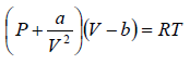
Example 3: A real gas which obey van der Waal’s equation of state are kept in container which has temperature T0 and volume V0 . If volume of container changes to V such that temperature of gas become T , then what is change in entropy?

Assume Cv is specific heat of constant volume

For van der Waal’s gas

Application of Maxwell Relation | Kinetic Theory & Thermodynamics - Physics

From first T - dS equation

Application of Maxwell Relation | Kinetic Theory & Thermodynamics - Physics

Application of Maxwell Relation | Kinetic Theory & Thermodynamics - Physics

dS = Application of Maxwell Relation | Kinetic Theory & Thermodynamics - Physics

where, S0 is integration constant


Example 4: For van der Wall gases, prove that Application of Maxwell Relation | Kinetic Theory & Thermodynamics - Physics, where U is internal energy

From first energy equation

Application of Maxwell Relation | Kinetic Theory & Thermodynamics - Physics

Application of Maxwell Relation | Kinetic Theory & Thermodynamics - Physics

Application of Maxwell Relation | Kinetic Theory & Thermodynamics - Physics

Application of Maxwell Relation | Kinetic Theory & Thermodynamics - Physics put the value of Application of Maxwell Relation | Kinetic Theory & Thermodynamics - Physics in equation (i)

Application of Maxwell Relation | Kinetic Theory & Thermodynamics - Physics


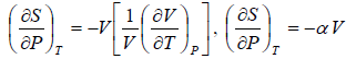
Example 5: Prove that

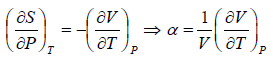
(a) Application of Maxwell Relation | Kinetic Theory & Thermodynamics - Physics

(b) Application of Maxwell Relation | Kinetic Theory & Thermodynamics - Physics

(a) We know that, Application of Maxwell Relation | Kinetic Theory & Thermodynamics - Physics

Application of Maxwell Relation | Kinetic Theory & Thermodynamics - Physics

Using Maxwell relation,

Application of Maxwell Relation | Kinetic Theory & Thermodynamics - Physics

One can get, Application of Maxwell Relation | Kinetic Theory & Thermodynamics - Physics

Application of Maxwell Relation | Kinetic Theory & Thermodynamics - Physics

(b) Application of Maxwell Relation | Kinetic Theory & Thermodynamics - Physics

Application of Maxwell Relation | Kinetic Theory & Thermodynamics - Physics

Use Maxwell relation,

Application of Maxwell Relation | Kinetic Theory & Thermodynamics - Physics

Application of Maxwell Relation | Kinetic Theory & Thermodynamics - Physics


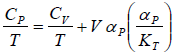
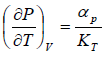
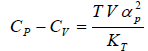
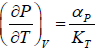
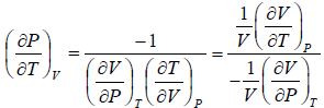
Example 6: If αp is thermal expansivity at constant pressure and KT is isothermal compressibility, then prove that

(a) Application of Maxwell Relation | Kinetic Theory & Thermodynamics - Physics

(b) Application of Maxwell Relation | Kinetic Theory & Thermodynamics - Physics

(c) Application of Maxwell Relation | Kinetic Theory & Thermodynamics - Physics

From Maxwell relation

(a) Application of Maxwell Relation | Kinetic Theory & Thermodynamics - Physics

Application of Maxwell Relation | Kinetic Theory & Thermodynamics - Physics

(b) Application of Maxwell Relation | Kinetic Theory & Thermodynamics - Physics

Application of Maxwell Relation | Kinetic Theory & Thermodynamics - Physics

Application of Maxwell Relation | Kinetic Theory & Thermodynamics - Physics

Application of Maxwell Relation | Kinetic Theory & Thermodynamics - Physics

(c) Application of Maxwell Relation | Kinetic Theory & Thermodynamics - Physics

Application of Maxwell Relation | Kinetic Theory & Thermodynamics - Physics

Using Maxwell relation,

Application of Maxwell Relation | Kinetic Theory & Thermodynamics - Physics Application of Maxwell Relation | Kinetic Theory & Thermodynamics - Physics

Application of Maxwell Relation | Kinetic Theory & Thermodynamics - Physics


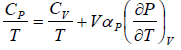
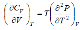
Example 7: Prove that

(a) Application of Maxwell Relation | Kinetic Theory & Thermodynamics - Physics

(b) Application of Maxwell Relation | Kinetic Theory & Thermodynamics - Physics

(c) For the van der Waal’s gas, prove that Application of Maxwell Relation | Kinetic Theory & Thermodynamics - Physics

(a) Application of Maxwell Relation | Kinetic Theory & Thermodynamics - Physics

= Application of Maxwell Relation | Kinetic Theory & Thermodynamics - Physics

S = S(T,V)

Application of Maxwell Relation | Kinetic Theory & Thermodynamics - Physics and Application of Maxwell Relation | Kinetic Theory & Thermodynamics - Physics

Put the value ofApplication of Maxwell Relation | Kinetic Theory & Thermodynamics - Physics in equation (A)

Application of Maxwell Relation | Kinetic Theory & Thermodynamics - Physics

Application of Maxwell Relation | Kinetic Theory & Thermodynamics - Physics

= Application of Maxwell Relation | Kinetic Theory & Thermodynamics - Physics Application of Maxwell Relation | Kinetic Theory & Thermodynamics - Physics

Application of Maxwell Relation | Kinetic Theory & Thermodynamics - Physics

From Maxwell relationApplication of Maxwell Relation | Kinetic Theory & Thermodynamics - Physics

From Maxwell relation Application of Maxwell Relation | Kinetic Theory & Thermodynamics - Physics So Application of Maxwell Relation | Kinetic Theory & Thermodynamics - Physics

Application of Maxwell Relation | Kinetic Theory & Thermodynamics - Physics Put the value of Application of Maxwell Relation | Kinetic Theory & Thermodynamics - Physics

Application of Maxwell Relation | Kinetic Theory & Thermodynamics - Physics

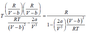
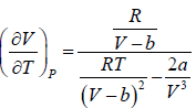
(b) For van der Waal’s gas

Application of Maxwell Relation | Kinetic Theory & Thermodynamics - Physics

Application of Maxwell Relation | Kinetic Theory & Thermodynamics - Physics → differentiate w.r.t. to T

Application of Maxwell Relation | Kinetic Theory & Thermodynamics - Physics

Differentiate (B) with respect to V

Application of Maxwell Relation | Kinetic Theory & Thermodynamics - Physics

Application of Maxwell Relation | Kinetic Theory & Thermodynamics - Physics

Substituting the value Application of Maxwell Relation | Kinetic Theory & Thermodynamics - Physics in equation

Application of Maxwell Relation | Kinetic Theory & Thermodynamics - Physics = Application of Maxwell Relation | Kinetic Theory & Thermodynamics - Physics

Application of Maxwell Relation | Kinetic Theory & Thermodynamics - Physics = Application of Maxwell Relation | Kinetic Theory & Thermodynamics - Physics = Application of Maxwell Relation | Kinetic Theory & Thermodynamics - Physics


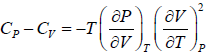
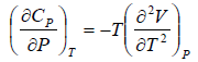
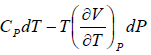
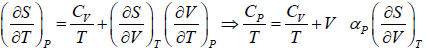
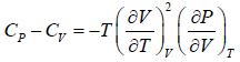
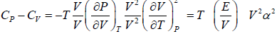
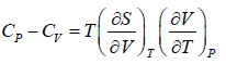
Example 8: From Application of Maxwell Relation | Kinetic Theory & Thermodynamics - Physics

Prove, Cp - Cv = TEα2V, where E is bulk modulus of elasticity and α is coefficient of volume expansion.

Let Cp - Cv = Application of Maxwell Relation | Kinetic Theory & Thermodynamics - Physics

P = P(T,V)

Application of Maxwell Relation | Kinetic Theory & Thermodynamics - Physics

For constant pressure dP = 0

Application of Maxwell Relation | Kinetic Theory & Thermodynamics - Physics

Application of Maxwell Relation | Kinetic Theory & Thermodynamics - Physics

Application of Maxwell Relation | Kinetic Theory & Thermodynamics - Physics

Application of Maxwell Relation | Kinetic Theory & Thermodynamics - Physics

Application of Maxwell Relation | Kinetic Theory & Thermodynamics - Physics

Cp - Cv = TVEα2


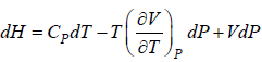
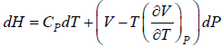
Example 9: Prove that Application of Maxwell Relation | Kinetic Theory & Thermodynamics - Physics

dH = TdS + VdP and put TdS = Application of Maxwell Relation | Kinetic Theory & Thermodynamics - Physics dP in equation

Application of Maxwell Relation | Kinetic Theory & Thermodynamics - Physics

Application of Maxwell Relation | Kinetic Theory & Thermodynamics - Physics


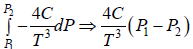
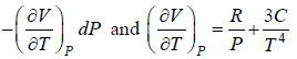
Example 10: Over a certain range of pressure and temperature the Equation of a Certain substance is given by the relation V = Application of Maxwell Relation | Kinetic Theory & Thermodynamics - Physics

(a) Find the change in enthalpy at constant temperature if pressure change from P1 to P2

(b) Find the change of entropy of this substance in isothermal process

(a) dH = Application of Maxwell Relation | Kinetic Theory & Thermodynamics - Physics

for Isothermal process dT = 0

dH = Application of Maxwell Relation | Kinetic Theory & Thermodynamics - Physics, V = Application of Maxwell Relation | Kinetic Theory & Thermodynamics - Physics

Application of Maxwell Relation | Kinetic Theory & Thermodynamics - Physics

dH = H- H1 = Application of Maxwell Relation | Kinetic Theory & Thermodynamics - Physics

(b) From second TdS equation TdS = Application of Maxwell Relation | Kinetic Theory & Thermodynamics - Physics

For Isothermal process dT = 0

dS = Application of Maxwell Relation | Kinetic Theory & Thermodynamics - Physics

= Application of Maxwell Relation | Kinetic Theory & Thermodynamics - Physics


Example 11: For Vander Waal gasApplication of Maxwell Relation | Kinetic Theory & Thermodynamics - Physics

(a) Prove that Application of Maxwell Relation | Kinetic Theory & Thermodynamics - Physics for Iso-Entropic process.

(b) If pressure and Volume changes from P1,V1 to P2,V2 at constant temperature then find Change in enthalpy

(a) From first TdS equation, TdS = Application of Maxwell Relation | Kinetic Theory & Thermodynamics - Physics

P = Application of Maxwell Relation | Kinetic Theory & Thermodynamics - Physics ⇒ Application of Maxwell Relation | Kinetic Theory & Thermodynamics - Physics

At constant entropy dS = 0 ⇒ Application of Maxwell Relation | Kinetic Theory & Thermodynamics - Physics

Application of Maxwell Relation | Kinetic Theory & Thermodynamics - Physics or Application of Maxwell Relation | Kinetic Theory & Thermodynamics - Physics

By integration, Application of Maxwell Relation | Kinetic Theory & Thermodynamics - Physics = constant

(b) From Application of Maxwell Relation | Kinetic Theory & Thermodynamics - Physics

Application of Maxwell Relation | Kinetic Theory & Thermodynamics - Physics

H =U + PV Hence enthalpy is point function

So, H1 =U1 + P1V1 and H2 = U2 + P2V2

H2 - H1 = U- U1 + P2V2 - P1V

Application of Maxwell Relation | Kinetic Theory & Thermodynamics - Physics


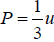
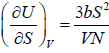
Example 12: If Helmholtz free energy for radiation is given by F = Application of Maxwell Relation | Kinetic Theory & Thermodynamics - Physics

(a) What is radiation pressure?

(b) If S is entropy of the system, prove that specific heat at constant volume is given by Cv= 3S

(a) dF = -SdT - PdV

Application of Maxwell Relation | Kinetic Theory & Thermodynamics - Physics

(b) S = Application of Maxwell Relation | Kinetic Theory & Thermodynamics - Physics

Cv = Application of Maxwell Relation | Kinetic Theory & Thermodynamics - Physics = Application of Maxwell Relation | Kinetic Theory & Thermodynamics - Physics = Application of Maxwell Relation | Kinetic Theory & Thermodynamics - Physics

Cv = 3S


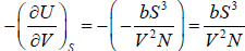
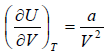
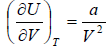
Example 13: The internal energy E of a system is given by E = Application of Maxwell Relation | Kinetic Theory & Thermodynamics - Physics, where b is constant and other symbols have their usual meaning.

(a) Find the temperature of the system

(b) Find Pressure of the system

From first law of thermodynamics

TdS = dU + PdV ⇒dU = TdS - PdV

As, U = E = Application of Maxwell Relation | Kinetic Theory & Thermodynamics - Physics

(a) T = Application of Maxwell Relation | Kinetic Theory & Thermodynamics - Physics

(b) P = Application of Maxwell Relation | Kinetic Theory & Thermodynamics - Physics


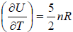
Example 14: Consider an Ideal gas where entropy is given by S =Application of Maxwell Relation | Kinetic Theory & Thermodynamics - Physics where n = number of moles, R = universal gas constant, U = internal energy V = volume and σ = constant

(a) Calculate specific heat at constant pressure and volume

(b) Prove that internal energy is given by U = 5/2PV

(a) From first law of thermodynamics

TdS = dU - PdV, dS = Application of Maxwell Relation | Kinetic Theory & Thermodynamics - Physics ⇒Application of Maxwell Relation | Kinetic Theory & Thermodynamics - Physics

Application of Maxwell Relation | Kinetic Theory & Thermodynamics - Physics

Cv = Application of Maxwell Relation | Kinetic Theory & Thermodynamics - Physics ⇒ Cp = Cv + R ⇒Cp = 7/2nR

(b) U = Application of Maxwell Relation | Kinetic Theory & Thermodynamics - Physics ⇒ Application of Maxwell Relation | Kinetic Theory & Thermodynamics - Physics

PV = nRT ⇒ V = Application of Maxwell Relation | Kinetic Theory & Thermodynamics - Physics

Application of Maxwell Relation | Kinetic Theory & Thermodynamics - Physics⇒ U= 5/2PV


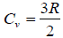
Example 15: Using the equation of state, PV = nRT and the specific heat per mole, Application of Maxwell Relation | Kinetic Theory & Thermodynamics - Physics for monatomic ideal gas

(a) Find Entropy of given system.

(b) Find free energy of given system

dU = Application of Maxwell Relation | Kinetic Theory & Thermodynamics - Physics, P = Application of Maxwell Relation | Kinetic Theory & Thermodynamics - Physics, Cv = Application of Maxwell Relation | Kinetic Theory & Thermodynamics - Physics

TdS = dU + PdV

dS = Application of Maxwell Relation | Kinetic Theory & Thermodynamics - Physics or Application of Maxwell Relation | Kinetic Theory & Thermodynamics - Physics

S = 3/2 Application of Maxwell Relation | Kinetic Theory & Thermodynamics - Physics where, S0 is constant

(c) F = U - TS

= Application of Maxwell Relation | Kinetic Theory & Thermodynamics - Physics where F0 = T.S0 is again constant


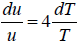
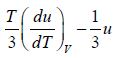
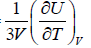
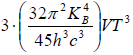
Example 16: From electromagnetic theory, Maxwell found that the pressure P from an isotropic radiation equal to 1/3 the energy density i.e., P = Application of Maxwell Relation | Kinetic Theory & Thermodynamics - Physics, where V is volume of the cavity, then using the first energy equation, prove that Energy density u is proportional to T4.

Application of Maxwell Relation | Kinetic Theory & Thermodynamics - Physics

Application of Maxwell Relation | Kinetic Theory & Thermodynamics - Physics, where u = Application of Maxwell Relation | Kinetic Theory & Thermodynamics - Physics= Application of Maxwell Relation | Kinetic Theory & Thermodynamics - Physics

Application of Maxwell Relation | Kinetic Theory & Thermodynamics - Physics = u and u = Application of Maxwell Relation | Kinetic Theory & Thermodynamics - Physics

Application of Maxwell Relation | Kinetic Theory & Thermodynamics - Physics = 4u ⇒ Application of Maxwell Relation | Kinetic Theory & Thermodynamics - Physics

u ∝T4 ⇒ u = α T4 , where α is a constant.

The document Application of Maxwell Relation | Kinetic Theory & Thermodynamics - Physics is a part of the Physics Course Kinetic Theory & Thermodynamics.
All you need of Physics at this link: Physics
6 videos|20 docs|32 tests

FAQs on Application of Maxwell Relation - Kinetic Theory & Thermodynamics - Physics

1. What is the first energy equation?
Ans. The first energy equation is a fundamental principle in thermodynamics that states energy cannot be created or destroyed, but only transferred or transformed from one form to another.
2. What is the second energy equation?
Ans. The second energy equation is another principle in thermodynamics that relates the change in internal energy of a system to the heat transferred to the system and the work done by the system.
3. How can we apply Maxwell's relation in IIT JAM?
Ans. Maxwell's relation is a mathematical expression that relates partial derivatives of thermodynamic properties. In the context of IIT JAM, Maxwell's relation can be applied to solve problems related to thermodynamics, such as finding the relationship between different thermodynamic variables or determining the equilibrium conditions of a system.
4. What are some examples of applications of Maxwell's relation in IIT JAM?
Ans. Some examples of applications of Maxwell's relation in IIT JAM include finding the relationship between heat capacity at constant pressure and constant volume, determining the relationship between the coefficients of thermal expansion and compressibility, and calculating the change in entropy of a system during a reversible process.
5. What are frequently asked questions about the first and second energy equations in IIT JAM?
Ans. Some frequently asked questions about the first and second energy equations in IIT JAM include understanding the concept of energy conservation in thermodynamics, applying the energy equations to solve specific problems, and discussing the limitations or assumptions of these equations in different thermodynamic systems.
Related Searches

Objective type Questions

,

mock tests for examination

,

video lectures

,

Application of Maxwell Relation | Kinetic Theory & Thermodynamics - Physics

,

Summary

,

Exam

,

Important questions

,

Extra Questions

,

Free

,

practice quizzes

,

ppt

,

Semester Notes

,

Application of Maxwell Relation | Kinetic Theory & Thermodynamics - Physics

,

study material

,

Previous Year Questions with Solutions

,

Viva Questions

,

Application of Maxwell Relation | Kinetic Theory & Thermodynamics - Physics

,

shortcuts and tricks

,

past year papers

,

pdf

,

Sample Paper

,

MCQs

;