Civil Engineering (CE) Exam  >  Civil Engineering (CE) Notes  >  Bending Deflection Due to Temperature Variation

Bending Deflection Due to Temperature Variation - Civil Engineering (CE) PDF Download

 Bending Deflection due to Temperature Variation 

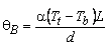
Consider a beam member (refer Figure 4.29) subjected to temperature gradient ΔT over the depth of beam such that

ΔT=Tt - Tb              (4.22)

where Tt = temperature at the top of the beam; and T= temperature at the bottom of the beam.

Bending Deflection Due to Temperature Variation - Civil Engineering (CE)

Bending Deflection Due to Temperature Variation - Civil Engineering (CE)

Bending Deflection Due to Temperature Variation - Civil Engineering (CE)

The deflection of the beam due to temperature variation is shown in Figure 4.29(b). It is assumed that temperature varies linearly through the depth, d and ∝ is the coefficient of thermal expansion of the material.

Consider a small element of length dx . The strain at top and bottom of the small elements are

Bending Deflection Due to Temperature Variation - Civil Engineering (CE)         (4.23a)

Bending Deflection Due to Temperature Variation - Civil Engineering (CE)     (4.23b)

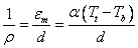
The curvature of the beam is given by

Bending Deflection Due to Temperature Variation - Civil Engineering (CE)

Bending Deflection Due to Temperature Variation - Civil Engineering (CE)    (4.24)

The equation (4.24) can be used for finding out the bending deflection in beams due to temperature variation. If the beam is restrained from rotation, the moment induced in the beam will be given by

Bending Deflection Due to Temperature Variation - Civil Engineering (CE)  (4.25)

The equation (4.25) is obtained by equating the right hand side of equation (4.24) to MT/EI from the simple bending theory.

Temperature deflections of a cantilever beam:

Bending Deflection Due to Temperature Variation - Civil Engineering (CE)

Bending Deflection Due to Temperature Variation - Civil Engineering (CE)

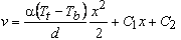
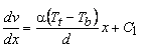
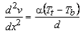
Consider a cantilever beam as shown in Figure 4.30 subjected to temperature gradient ΔT=T- Tb over the depth. Integrating the equation (4.24)

Bending Deflection Due to Temperature Variation - Civil Engineering (CE)                  (4.26)

Bending Deflection Due to Temperature Variation - Civil Engineering (CE)          (4.27)

Boundary conditions: At x=0,dv/dx =0 and and v = 0 will give the values of arbitrary constants as C1 = C2 = 0.

The slope and deflection of the free end of the cantilever beam are

Bending Deflection Due to Temperature Variation - Civil Engineering (CE)                 (4.28a)

Bending Deflection Due to Temperature Variation - Civil Engineering (CE)               (4.28a)

The document Bending Deflection Due to Temperature Variation - Civil Engineering (CE) is a part of Civil Engineering (CE) category.
All you need of Civil Engineering (CE) at this link: Civil Engineering (CE)

FAQs on Bending Deflection Due to Temperature Variation - Civil Engineering (CE)

1. What is bending deflection due to temperature variation in civil engineering?
Ans. Bending deflection due to temperature variation in civil engineering refers to the deformation or displacement that occurs in a structural element, such as a beam or a bridge, as a result of temperature changes. When a material is subjected to temperature variations, it expands or contracts, leading to thermal stresses and deflection in the structure.
2. How does temperature variation affect bending deflection in civil engineering structures?
Ans. Temperature variation affects bending deflection in civil engineering structures by causing the materials to expand or contract. When a structure is exposed to high temperatures, the materials expand, leading to an increase in length and resulting in bending deflection. Conversely, when the temperature decreases, the materials contract, causing a decrease in length and resulting in deflection in the opposite direction.
3. What factors contribute to bending deflection due to temperature variation in civil engineering?
Ans. Several factors contribute to bending deflection due to temperature variation in civil engineering structures. These factors include the coefficient of thermal expansion of the materials used in the structure, the temperature difference between the hottest and coldest points of the structure, the length and geometry of the structural element, and the constraints or supports present in the structure.
4. How is bending deflection due to temperature variation calculated in civil engineering?
Ans. Bending deflection due to temperature variation in civil engineering can be calculated using various analytical methods. One common approach is to use the principles of linear elasticity and structural analysis to determine the thermal stresses induced by temperature changes. The deflection can then be calculated using equations such as the Euler-Bernoulli beam theory or the Timoshenko beam theory, taking into account the relevant properties of the materials and the geometry of the structural element.
5. How can bending deflection due to temperature variation be minimized in civil engineering structures?
Ans. To minimize bending deflection due to temperature variation in civil engineering structures, several strategies can be employed. These include selecting materials with low coefficients of thermal expansion, incorporating expansion joints or flexible connections to accommodate thermal movements, providing proper insulation to reduce temperature fluctuations, and designing the structure with appropriate geometry and supports to resist the induced thermal stresses. Additionally, regular monitoring and maintenance can help identify any excessive deflection and allow for timely corrective measures.
Download as PDF

Top Courses for Civil Engineering (CE)

Related Searches

Objective type Questions

,

past year papers

,

Extra Questions

,

shortcuts and tricks

,

Important questions

,

video lectures

,

MCQs

,

Summary

,

Sample Paper

,

ppt

,

Bending Deflection Due to Temperature Variation - Civil Engineering (CE)

,

study material

,

Exam

,

Bending Deflection Due to Temperature Variation - Civil Engineering (CE)

,

Semester Notes

,

pdf

,

mock tests for examination

,

practice quizzes

,

Free

,

Previous Year Questions with Solutions

,

Viva Questions

,

Bending Deflection Due to Temperature Variation - Civil Engineering (CE)

;