NEET Exam  >  NEET Notes  >  DC Pandey Solutions for NEET Physics  >  DC Pandey Solutions: Centre of Mass, Conservation of Linear Momentum- 1

DC Pandey Solutions: Centre of Mass, Conservation of Linear Momentum- 1 | DC Pandey Solutions for NEET Physics PDF Download

Introductory Exercise 8.1

Q.1. What is the difference between the centre of mass and the centre of gravity?
Ans. DC Pandey Solutions: Centre of Mass, Conservation of Linear Momentum- 1 | DC Pandey Solutions for NEET Physics 
Here w = weight(mg) DC Pandey Solutions: Centre of Mass, Conservation of Linear Momentum- 1 | DC Pandey Solutions for NEET Physics

If a body is placed in a uniform gravitational field, the CG of the body coincides with the CM of the body.
DC Pandey Solutions: Centre of Mass, Conservation of Linear Momentum- 1 | DC Pandey Solutions for NEET Physics
while
  DC Pandey Solutions: Centre of Mass, Conservation of Linear Momentum- 1 | DC Pandey Solutions for NEET Physics
If a body is placed in a uniformly increasing gravitational field DC Pandey Solutions: Centre of Mass, Conservation of Linear Momentum- 1 | DC Pandey Solutions for NEET Physics in the upward direction the CG of the body will be higher level than the CM. And, if the body is placed in a uniformly decreasing gravitational field in the upward direction the CG will be at a lower level the CM.
DC Pandey Solutions: Centre of Mass, Conservation of Linear Momentum- 1 | DC Pandey Solutions for NEET Physics
CG shifts from CM according to the magnitude and direction of the gravitational field (by some other agency eg, earth) in which the body is placed.
In zero gravitational field CG has no meaning while CM still exists, as usual.

Q.2. The centre of mass of a rigid body always lies inside the body. Is this statement true or false?
Ans. 
False

The centre of mass of a rigid body may lie in side, on the surface and even out side the body. The CM of a solid uniform sphere is at its centre. The CM of a solid ring is at the centre of the ring which lies outside the mass of the body thus, the statement is false. (For further details see answer to 1 As sertion and Reason JEE corner)

Q.3. The centre of mass always lies on the axis of symmetry if it exists. Is this statement true or false?
Ans. 
True

The Centre of mass always lies on the axis of symmetry of the body, if it exists. The statement is thus true.

Q.4. If all the particles of a system lie in the y-z plane, the x-coordinate of the centre of mass will be zero. Is this statement true or false?

Ans. True.

Q.5. What can be said about the centre of mass of a solid hemisphere of radius r without making any calculation? Will its distance from the centre be more than r/2 or less than r/2?
Ans. 
less than r/2

As more mass is towards base.
Distance  < r/4.

Q.6. All the particles of a body are situated at a distance R from the origin. The distance of the centre of mass of the body from the origin is also R. Is this statement true or false?
Ans. 
False

If two equal masses are kept at co-ordinates (R, 0) and ( - R, 0), then their centre of mass will lie at origin.

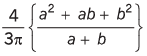
Q.7. Three particles of mass 1 kg, 2 kg and 3 kg are placed at the corners A, B and C respectively of an equilateral triangle ABC of edge 1 m. Find the distance of their centre of mass from A.
Ans. DC Pandey Solutions: Centre of Mass, Conservation of Linear Momentum- 1 | DC Pandey Solutions for NEET Physics

DC Pandey Solutions: Centre of Mass, Conservation of Linear Momentum- 1 | DC Pandey Solutions for NEET Physics
DC Pandey Solutions: Centre of Mass, Conservation of Linear Momentum- 1 | DC Pandey Solutions for NEET Physics
DC Pandey Solutions: Centre of Mass, Conservation of Linear Momentum- 1 | DC Pandey Solutions for NEET Physics
= Distance of centre of mass from A

Q.8.  Find the distance of centre of mass of a uniform plate having semicircular inner and outer boundaries of radii a and b from the centre O.
Hint: Distance of COM of semicircular plate from centre is DC Pandey Solutions: Centre of Mass, Conservation of Linear Momentum- 1 | DC Pandey Solutions for NEET Physics
DC Pandey Solutions: Centre of Mass, Conservation of Linear Momentum- 1 | DC Pandey Solutions for NEET Physics
Ans. 
DC Pandey Solutions: Centre of Mass, Conservation of Linear Momentum- 1 | DC Pandey Solutions for NEET Physics

DC Pandey Solutions: Centre of Mass, Conservation of Linear Momentum- 1 | DC Pandey Solutions for NEET Physics
DC Pandey Solutions: Centre of Mass, Conservation of Linear Momentum- 1 | DC Pandey Solutions for NEET Physics

Q.9. Find the position of centre of mass of the section shown in figure.
Note- Solve the problem by using both the formulae:
DC Pandey Solutions: Centre of Mass, Conservation of Linear Momentum- 1 | DC Pandey Solutions for NEET Physics
DC Pandey Solutions: Centre of Mass, Conservation of Linear Momentum- 1 | DC Pandey Solutions for NEET Physics
Ans.DC Pandey Solutions: Centre of Mass, Conservation of Linear Momentum- 1 | DC Pandey Solutions for NEET Physics

 DC Pandey Solutions: Centre of Mass, Conservation of Linear Momentum- 1 | DC Pandey Solutions for NEET Physics 

The document DC Pandey Solutions: Centre of Mass, Conservation of Linear Momentum- 1 | DC Pandey Solutions for NEET Physics is a part of the NEET Course DC Pandey Solutions for NEET Physics.
All you need of NEET at this link: NEET
47 docs

FAQs on DC Pandey Solutions: Centre of Mass, Conservation of Linear Momentum- 1 - DC Pandey Solutions for NEET Physics

1. What is the concept of centre of mass?
Ans. The concept of centre of mass states that for a system of particles, there exists a point called the centre of mass, where the entire mass of the system can be assumed to be concentrated. It is the average position of the mass distribution in the system.
2. How is the centre of mass calculated?
Ans. The centre of mass of a system can be calculated by taking the weighted average of the positions of all the particles in the system. The position of each particle is multiplied by its mass and then divided by the total mass of the system.
3. What is conservation of linear momentum?
Ans. The conservation of linear momentum states that the total momentum of an isolated system remains constant if no external forces act on it. In other words, the total momentum before an event is equal to the total momentum after the event.
4. How is linear momentum calculated?
Ans. Linear momentum is calculated by multiplying the mass of an object by its velocity. Mathematically, momentum (p) = mass (m) × velocity (v).
5. How is the centre of mass related to the conservation of linear momentum?
Ans. The centre of mass is related to the conservation of linear momentum as it provides a reference point for analyzing the motion of a system. When external forces are absent, the centre of mass of a system remains at a constant velocity, which is the total momentum of the system divided by the total mass. Therefore, the concept of centre of mass helps in understanding and applying the principle of conservation of linear momentum.
Related Searches

DC Pandey Solutions: Centre of Mass

,

study material

,

pdf

,

Summary

,

Conservation of Linear Momentum- 1 | DC Pandey Solutions for NEET Physics

,

Objective type Questions

,

MCQs

,

Semester Notes

,

DC Pandey Solutions: Centre of Mass

,

Previous Year Questions with Solutions

,

Free

,

Exam

,

Viva Questions

,

ppt

,

shortcuts and tricks

,

mock tests for examination

,

DC Pandey Solutions: Centre of Mass

,

video lectures

,

Extra Questions

,

practice quizzes

,

Important questions

,

Conservation of Linear Momentum- 1 | DC Pandey Solutions for NEET Physics

,

past year papers

,

Sample Paper

,

Conservation of Linear Momentum- 1 | DC Pandey Solutions for NEET Physics

;