CA Foundation Exam  >  CA Foundation Notes  >  Ratio and Proportion, Indices, Logarithms - 2

Ratio and Proportion, Indices, Logarithms - 2 - CA Foundation PDF Download

1.3  INDICES

LEARNING OBJECTIVES
After reading this unit, a student will learn –
A meaning of indices and their application;
Laws of indices which facilitates their easy applications.

We are aware of certain operations of addition and multiplication and now we take up certain higher order operations with powers and roots under the respective heads of indices.
We know that the result of a repeated addition can be held by multiplication e.g.
4 + 4 + 4 + 4 + 4 = 5(4) = 20
a + a + a + a + a = 5(a) = 5a
Now, 4 × 4 × 4 × 4 × 4 = 45;
a × a × a × a × a = a5.

It may be noticed that in the first case 4 is multiplied 5 times and in the second case ‘a’ is multiplied 5 times. In all such cases a factor which multiplies is called the “base” and the number of times it is multiplied is called the “power” or the “index”. Therefore, “4” and “a” are the bases and “5” is the index for both. Any base raised to the power zero is defined to be 1; i.e. ao = 1. We also define  Ratio and Proportion, Indices, Logarithms - 2 - CA Foundation

If n is a positive integer, and ‘a’ is a real number, i.e. n ∈ N and a ∈ R (where N is the set of positive integers and R is the set of real numbers), ‘a’ is used to denote the continued product of n factors each equal to ‘a’ as shown below:
an = a × a × a ………….. to n factors.
Here an is a power of “a“ whose base is “a“ and the index or power is “n“.
For example, in 3 × 3 × 3 × 3 = 34 , 3 is base and 4 is index or power.

Law 1

am × an = am+n , when m and n are positive integers; by the above definition, a= a × a ………….. to m factors and an = a × a ………….. to n factors.
∴am × an = (a × a ………….. to m factors) (a × a ……….. to n factors) = a × a ………….. to (m + n) factors
= am+n

Now, we extend this logic to negative integers and fractions. First let us consider this for negative integer, that is m will be replaced by –n. By the definition of am × an = am+n ,

We get a–n×an = a–n+n  = a0 = 1
For example 34 × 35 = (3 × 3 × 3 × 3) × (3 × 3 × 3 × 3 × 3) = 34 + 5 = 39
Again, 3–5 = 1/35 = 1/(3 × 3 × 3 × 3 × 3) = 1/243

Example 1: Simplify 2x1/2 3x-1 if x = 4
Solution: We have 2x1/2 3x-1 
= 6x1/2 x-1 = 6x1/2-1
= 6x −1/2

Ratio and Proportion, Indices, Logarithms - 2 - CA Foundation

Example 2: Simplify 6ab2c3 × 4b–2c–3d
Solution: 6ab2c3 × 4b–2c–3d
= 24 × a × b2 × b–2 × c3 × c–3 d
= 24 × a × b2+(–2) × c3+(–3) × d
= 24 × a × b2–2 × c3–3 × d
= 24 a b0 × c0 × d
= 24ad

Law 2

am/an = am–n, when m and n are positive integers and m > n.
By definition, am = a × a ………….. to m factors

Ratio and Proportion, Indices, Logarithms - 2 - CA Foundation

= a × a ……… to m–n factors
= am–n

Now we take a numerical and check the validity of this Law

Ratio and Proportion, Indices, Logarithms - 2 - CA Foundation

= 2 × 2 × 2 ……….. to (7–4) factors.
= 2 × 2 × 2 ……….. to 3 factors
= 23 = 8

Ratio and Proportion, Indices, Logarithms - 2 - CA Foundation

= 2 × 2 × 2 = 21+1+1 = 23
= 8

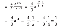
Example 3: Find the value of  Ratio and Proportion, Indices, Logarithms - 2 - CA Foundation

Solution: Ratio and Proportion, Indices, Logarithms - 2 - CA Foundation

= 4x -1 - (-1 / 3)
= 4x-1  + 1/3 

Ratio and Proportion, Indices, Logarithms - 2 - CA Foundation

Ratio and Proportion, Indices, Logarithms - 2 - CA Foundation

Ratio and Proportion, Indices, Logarithms - 2 - CA Foundation  

Ratio and Proportion, Indices, Logarithms - 2 - CA Foundation

Law 3

(am)n = amn. where m and n are positive integers
By definition (am)n = a× a× am ……….. to n factors
= (a × a ……….. to m factors)………. to n times
= a × a …………. to mn factors
= amn 
Following above, (am)n = (am)p/q 
(We will keep m as it is and replace n by p/q, where p and q are positive integers)

Now the qth power of (am)p/q is{(am)p/q}q

= (am)(p/q)x q
= amp
If we take the qth root of the above we obtain

Ratio and Proportion, Indices, Logarithms - 2 - CA Foundation

Now with the help of a numerical let us verify this law.
(24)3 = 24 × 24 × 24
= 24+4+4
= 212 = 4096

Law 4

(ab)n = an.bn when n can take all of the values.
For example 6= (2 × 3) 3 = 2 × 2 × 2 × 3 × 3 × 3 = 23 × 33
First, we look at n when it is a positive integer. Then by the definition, we have
(ab)n = ab × ab ……………. to n factors
= (a × a ……..……. to n factors) (b × b …………. n factors)
= an × bn
When n is a positive fraction, we will replace n by p/q.

Then we will have (ab)n = (ab)p/q
The qth power of (ab)p/q = {(ab)(p/q)}q = (ab)p

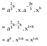
Example 5: Simplify (xa.y–b). (x3 y2)–a

Solution: (xa.yb)3 . (x3 y2)–a
= (xa)3 . (y–b)3 . (x3)–a . (y2)–a
= x3a–3a . y–3b–2a.
= x0. y–3b–2a.

Ratio and Proportion, Indices, Logarithms - 2 - CA Foundation

Ratio and Proportion, Indices, Logarithms - 2 - CA Foundation

Ratio and Proportion, Indices, Logarithms - 2 - CA Foundation

Example 7: Ratio and Proportion, Indices, Logarithms - 2 - CA Foundation

Solution: x (x)1/2 = xx .x x/2 
or, x1+ 1/2 = xx + x/2 
or, x3/2 = x3x/2
[If base is equal, then power is also equal]

Ratio and Proportion, Indices, Logarithms - 2 - CA Foundation

Example 8: Find the value of k from (√9)–7 × (√3)–5 = 3k
Solution: (√9)–7 × (√3)–5 = 3
or, (32 × 1/2) –7 × (3½) –5 = 3k
or, 3−7−5/2 = 3k
or, 3 –19/2 = 3k  or, k = –19/2

1.3.1  LAWS OF INDICES

(i) am × an = am+n (base must be same)
Ex. 23 × 22 = 23+2 = 25
(ii) am ÷ an = am–n
Ex. 25 ÷ 23 = 25–3 = 22
(iii) (am)n = amn
Ex. (25)2 = 25×2 = 210
(iv) ao = 1
Example : 20 = 1, 30 = 1
(v) a–m = 1/am  and  1/a–m = am
Example: 2–3 = 1/23  and  1/2–5 = 25
(vi) If ax = ay, then x=y
(vii) If xa = ya, then x=y

Ratio and Proportion, Indices, Logarithms - 2 - CA Foundation

1.4  LOGARITHM

LEARNING OBJECTIVE
After reading this unit, a student will get fundamental knowledge of logarithm and its application for solving business problems.

The logarithm of a number to a given base is the index or the power to which the base must be raised to produce the number, i.e. to make it equal to the given number. If there are three quantities indicated by say a, x and n, they are related as follows:

If ax = n
Then x is said to be the logarithm of the number n to the base ‘a’ symbolically it can be expressed as follows:

logan = x
i.e. the logarithm of n to the base ‘a’ is x, we give some illustrations below:
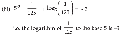
(i) 24 = 16 ⇒ log216 = 4
i.e. the logarithm of 16 to the base 2 is equal to 4
(ii) 10= 1000 ⇒ log101000 = 3
i.e. the logarithm of 1000 to the base 10 is 3

Ratio and Proportion, Indices, Logarithms - 2 - CA Foundation

(iv) 23 = 8 ⇒ log28 = 3 i.e. the logarithm of 8 to the base 2 is 3
1. Two equations ax = n
and x = logan are only transformations of each other and should be remembered to change one form of the relation into the other.
2. The logarithm of 1 to any base is zero. This is because any number raised to the power zero is one.
Since a0 = 1 , loga1 = 0

3. The logarithm of any quantity to the same base is unity. This is because any quantity raised to the power 1 is that quantity only.
Since a1 = a , logaa = 1

Illustrations:

Ratio and Proportion, Indices, Logarithms - 2 - CA Foundation

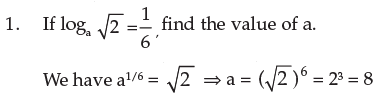
2 . Find the logarithm of 5832 to the base 3√ 2.
Ratio and Proportion, Indices, Logarithms - 2 - CA Foundation

Hence, x = 6
Logarithms of numbers to the base 10 are known as common logarithm.

1.4.1  FUNDAMENTAL LAWS OF LOGARITHM

Logarithm of the product of two numbers is equal to the sum of the logarithms of the numbers to the same base, i.e.
Logamn = logam + logan
Proof:
Let logam = x so that ax = m – (I)
Logan = y so that a= n – (II)
Multiplying (I) and (II), we get m × n = ax × ay = ax+y
logamn = x + y (by definition)
∴ logamn = logam + logan
2 . The logarithm of the quotient of two numbers is equal to the difference of their logarithms to the same base, i.e.

Ratio and Proportion, Indices, Logarithms - 2 - CA Foundation

Proof:

Let logam = x so that ax = m ————(I)
logan = y so that ay = n ———————(II)
Dividing (I) by (II) we get

Ratio and Proportion, Indices, Logarithms - 2 - CA Foundation

Then by the definition of logarithm, we get

Ratio and Proportion, Indices, Logarithms - 2 - CA Foundation

Ratio and Proportion, Indices, Logarithms - 2 - CA Foundation

3. Logarithm of the number raised to the power is equal to the index of the power multiplied by the logarithm of the number to the same base i.e.
logamn = n logam

Proof:
Let logam = x so that ax = m
Raising the power n on both sides we get
(ax)n = (m)n
axn = mn   (by definition)
logamn = nx
i.e. logamn = n logam

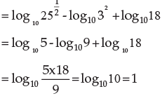
Illustrations II: 1(a) Find the logarithm of 1728 to the base 2√3
Solution: We have 1728 = 26 × 33 = 26 × (√3)6 = (2√3)6; and so, we may write

log 2√3 1728 = 6

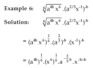
Ratio and Proportion, Indices, Logarithms - 2 - CA Foundation

Solution: The given expression

Ratio and Proportion, Indices, Logarithms - 2 - CA Foundation

1.4.2  CHANGE OF BASE

If the logarithm of a number to any base is given, then the logarithm of the same number to any other base can be determined from the following relation

Ratio and Proportion, Indices, Logarithms - 2 - CA Foundation

Proof:
Let logam = x, logbm = y and logab = z
Then by definition,
ax = m, by = m and az = b
Also a= by = (az)y = ayz Therefore, x = yz
⇒ logam = logbm x logab

Ratio and Proportion, Indices, Logarithms - 2 - CA Foundation

Putting m = a, we have
logaa = logba x logab
⇒ logba x logab = 1, since logaa = 1.
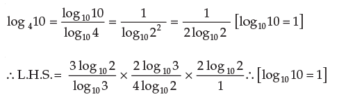
Example 1: Change the base of log531 into the common logarithmic base.

Ratio and Proportion, Indices, Logarithms - 2 - CA Foundation

Ratio and Proportion, Indices, Logarithms - 2 - CA Foundation

Solution: Change all the logarithms on L.H.S. to the base 10 by using the formula.

Ratio and Proportion, Indices, Logarithms - 2 - CA Foundation

Ratio and Proportion, Indices, Logarithms - 2 - CA Foundation

Ratio and Proportion, Indices, Logarithms - 2 - CA Foundation  

= 3 log102 = R.H.S.

Logarithm Tables:

The logarithm of a number consists of two parts, the whole part or the integral part is called the characteristic and the decimal part is called the mantissa where the former can be known by mere inspection, the latter has to be obtained from the logarithm tables

Characteristic: 

The characteristic of the logarithm of any number greater than 1 is positive and is one less than the number of digits to the left of the decimal point in the given number. The characteristic of the logarithm of any number less than one (1) is negative and numerically one more than the number of zeros to the right of the decimal point. If there is no zero then obviously it will be –1. The following table will illustrate it.

Ratio and Proportion, Indices, Logarithms - 2 - CA Foundation

Ratio and Proportion, Indices, Logarithms - 2 - CA Foundation

Zero on positive characteristic when the number under consideration is greater than unity: Since

Ratio and Proportion, Indices, Logarithms - 2 - CA Foundation

All numbers lying between 1 and 10 i.e. numbers with 1 digit in the integral part have their logarithms lying between 0 and 1. Therefore, their integral parts are zero only.
All numbers lying between 10 and 100 have two digits in their integral parts. Their logarithms lie between 1 and 2. Therefore, numbers with two digits have integral parts with 1 as characteristic.
In general, the logarithm of a number containing n digits only in its integral parts is (n – 1) + a fraction. For example, the characteristics of log 75, log 79326, log 1.76 are 1, 4 and 0 respectively.

Negative characteristics

Ratio and Proportion, Indices, Logarithms - 2 - CA Foundation

All numbers lying between 1 and 0.1 have logarithms lying between 0 and –1, i.e. greater than –1 and less than 0. Since the decimal part is always written positive, the characteristic is –1.
All numbers lying between 0.1 and 0.01 have their logarithms lying between –1 and –2 as characteristic of their logarithms.
In general, the logarithm of a number having n zeros just after the decimal point is – (n + 1) + a fraction.
Hence, we deduce that the characteristic of the logarithm of a number less than unity is one more than the number of zeros just after the decimal point and is negative.

Mantissa:

The mantissa is the fractional part of the logarithm of a given number

Ratio and Proportion, Indices, Logarithms - 2 - CA Foundation

Thus with the same figures there will be difference in the characteristic only. It should be remembered, that the mantissa is always a positive quantity. The other way to indicate this is
Log .004594 = – 3 + .6625 = – 3.6625.
Negative mantissa must be converted into a positive mantissa before reference to a logarithm table. For example
– 3.6872 = – 4 + (4–3.6872) = Ratio and Proportion, Indices, Logarithms - 2 - CA Foundation + 0.3128 = Ratio and Proportion, Indices, Logarithms - 2 - CA Foundation
It may be noted that  Ratio and Proportion, Indices, Logarithms - 2 - CA Foundation.3128 is different from – 4.3128 as – 4.3128 is a negative number whereas, in Ratio and Proportion, Indices, Logarithms - 2 - CA Foundation, 4 is negative while .3128 is positive.

Illustration I: Ratio and Proportion, Indices, Logarithms - 2 - CA Foundation

Antilogarithms: 

If x is the logarithm of a given number n with a given base then n is called the antilogarithm (antilog) of x to that base.
This can be expressed as follows:-
If logan = x  then  n = antilog x
For example, if log 61720 = 4.7904   then   61720 = antilog 4.7904

Ratio and Proportion, Indices, Logarithms - 2 - CA Foundation

Example 1: Find the value of log 5 if log 2 is equal to .3010

Solution : Ratio and Proportion, Indices, Logarithms - 2 - CA Foundation

Example 2: Find the number whose logarithm is 2.4678.
Solution: From the antilog table, for mantissa .467, the number = 2931
for mean difference 8, the number = 5
∴ for mantissa .4678, the number = 2936
The characteristic is 2, therefore, the number must have 3 digits in the integral part.
Hence, Antilog 2.4678 = 293.6
Example 3: Find the number whose logarithm is –2.4678.
Solution: -2.4678 = - 3 + 3 − 2.4678 = − 3 + .5322 =  Ratio and Proportion, Indices, Logarithms - 2 - CA Foundation
For mantissa .532, the number = 3404
For mean difference 2, the number = 2

∴ for mantissa .5322, the number = 3406
The characteristic is –3, therefore, the number is less than one and there must be two zeros just after the decimal point.
Thus, Antilog (–2.4678) = 0.003406

Properties of Logarithm

Ratio and Proportion, Indices, Logarithms - 2 - CA Foundation

Ratio and Proportion, Indices, Logarithms - 2 - CA Foundation

Ratio and Proportion, Indices, Logarithms - 2 - CA Foundation

Note:
(A) If base is understood, base is taken as 10
(B) Thus log 10 = 1, log 1 = 0
(C) Logarithm using base 10 is called Common logarithm and logarithm using base e is called Natural logarithm {e = 2.33 (approx.) called exponential number}.

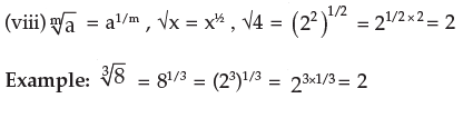
Relation between Indices and Logarithm

Ratio and Proportion, Indices, Logarithms - 2 - CA Foundation
Ratio and Proportion, Indices, Logarithms - 2 - CA Foundation

Ratio and Proportion, Indices, Logarithms - 2 - CA Foundation

Ratio and Proportion, Indices, Logarithms - 2 - CA Foundation

Ratio and Proportion, Indices, Logarithms - 2 - CA Foundation

Ratio and Proportion, Indices, Logarithms - 2 - CA Foundation

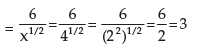
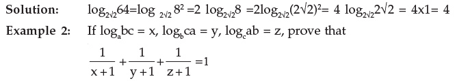
Example 1: Find the logarithm of 64 to the bas  Ratio and Proportion, Indices, Logarithms - 2 - CA Foundation

Ratio and Proportion, Indices, Logarithms - 2 - CA Foundation

Ratio and Proportion, Indices, Logarithms - 2 - CA Foundation

Ratio and Proportion, Indices, Logarithms - 2 - CA Foundation  

Ratio and Proportion, Indices, Logarithms - 2 - CA Foundation

Ratio and Proportion, Indices, Logarithms - 2 - CA Foundation

The document Ratio and Proportion, Indices, Logarithms - 2 - CA Foundation is a part of CA Foundation category.
All you need of CA Foundation at this link: CA Foundation

FAQs on Ratio and Proportion, Indices, Logarithms - 2 - CA Foundation

1. What is the difference between ratio and proportion?
Ans. Ratio is a comparison of two or more quantities, while proportion is an equation that states that two ratios are equal.
2. How can I simplify ratios?
Ans. To simplify a ratio, divide both sides of the ratio by the greatest common divisor (GCD) of the two numbers.
3. What are indices and how are they used in mathematics?
Ans. Indices, also known as exponents or powers, are mathematical notations that represent repeated multiplication of a number by itself. They are used to simplify large numbers and perform operations such as multiplication and division more efficiently.
4. What are logarithms and why are they useful?
Ans. Logarithms are mathematical functions that represent the inverse operation of exponentiation. They are useful in various fields, including mathematics, physics, and computer science, as they allow for the conversion of multiplication and exponentiation problems into addition and subtraction problems, respectively.
5. How can I solve logarithmic equations?
Ans. To solve logarithmic equations, you can use the properties of logarithms, such as the product rule, quotient rule, and power rule. By applying these rules, you can manipulate the equation to isolate the variable and solve for its value.
Download as PDF

Top Courses for CA Foundation

Related Searches

Logarithms - 2 - CA Foundation

,

Exam

,

ppt

,

Viva Questions

,

mock tests for examination

,

Summary

,

Ratio and Proportion

,

Ratio and Proportion

,

practice quizzes

,

past year papers

,

Important questions

,

Logarithms - 2 - CA Foundation

,

Ratio and Proportion

,

Previous Year Questions with Solutions

,

pdf

,

Sample Paper

,

Free

,

Extra Questions

,

video lectures

,

Logarithms - 2 - CA Foundation

,

study material

,

MCQs

,

shortcuts and tricks

,

Indices

,

Semester Notes

,

Objective type Questions

,

Indices

,

Indices

;