Welcome back to our AP Calculus journey with Fiveable! Today, we’re diving into implicit differentiation, a powerful technique for finding derivatives when variables can’t be easily isolated. Building on our previous lesson about the chain rule, let’s explore how to handle equations where y isn’t explicitly solved for.
Understanding Implicit Differentiation
In calculus, we often deal with explicit equations like
y = x², where
y is directly expressed in terms of
x. However, some equations, like
xy² = xy + 1, are implicit, meaning
y isn’t isolated. Implicit differentiation helps us find the derivative
dy/dx for such equations.
The process involves differentiating both sides of the equation with respect to
x, applying the chain rule for terms involving both
x and
y, and then solving for
dy/dx. Unlike explicit differentiation, we use
dy/dx or
y' notation instead of
f'(x).
Steps for Implicit Differentiation
Here’s a clear guide to differentiate implicitly:
- Indicate that you’re differentiating with respect to x.
- Differentiate both sides of the equation, using derivative rules like the power rule and chain rule.
- Solve for dy/dx by isolating it, often by factoring it out.
Question for Chapter Notes: Implicit Differentiation
Try yourself:
What does implicit differentiation help us find?Explanation
Implicit differentiation is a technique used in calculus when working with equations where y is not easily isolated. It allows us to find the derivative dy/dx for those equations. For example, in the equation xy² = xy + 1, y isn't directly expressed, so implicit differentiation helps in calculating the derivative.
Report a problem
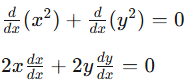
Example: Implicit Differentiation with the Unit Circle
Implicit Differentiation is best learned through practice, so let's go through and find dy/dx for the unit circle, x
2 + y
2 = 1.
First, we need to notate that we are differentiating.

Next, we can apply our knowledge of the Power Rule and the Chain Rule.

Because dx/dx = 1, we can leave it off when doing the chain rule for this equation.

Lastly, isolate dy/dx and you get the final answer of…

We can see this holds true in the graph below! The slope of the graph at any point can be represented by dy/dx = (-x)/y .
For example, at the point

we can calculate…

At the point

we can calculate…


Practice Problem: Implicit Differentiation and Tangent Lines
Let’s tackle a free-response question inspired by the 2015 AP Calculus AB exam (credit to College Board).
Consider the curve defined by
y³ - xy = 2.
(a) Find dy/dx.1. Differentiate both sides with respect to
x:
d/dx (y³ - xy) = d/dx (2)
d/dx (y³) - d/dx (xy) = 0
2. Apply the chain rule and product rule:
3y² * dy/dx - (x * dy/dx + y) = 0
3. Simplify and isolate
dy/dx:
3y² * dy/dx - x * dy/dx - y = 0
dy/dx (3y² - x) = y
dy/dx = y / (3y² - x)
(b) Find the equation of the tangent line at (-1, 1).
Use the point-slope form: y - y₁ = m (x - x₁), where x₁ = -1, y₁ = 1, and m = dy/dx at (-1, 1).
Calculate the slope:
dy/dx = y / (3y² - x) = 1 / (3(1)² - (-1)) = 1 / (3 + 1) = 1/4
Now, write the tangent line equation:
y - 1 = (1/4)(x - (-1))
y - 1 = (1/4)(x + 1)
This equation, y - 1 = (1/4)(x + 1), is the tangent line at (-1, 1). Great work—this would score full points on the AP exam!
Question for Chapter Notes: Implicit Differentiation
Try yourself:
What is the final expression for dy/dx derived from the equation y³ - xy = 2?Explanation
The final expression for dy/dx is:To find dy/dx from the equation y³ - xy = 2, we isolate dy/dx and get:
This means the rate of change of y with respect to x depends on the values of y and x in the equation.
Report a problem