Grade 9 Exam  >  Grade 9 Notes  >  Calculus AB  >  Chapter Notes: Intro to Related Rates

Intro to Related Rates Chapter Notes | Calculus AB - Grade 9 PDF Download

By utilizing the concept of the rate of change, we can apply derivatives to tackle real-world scenarios, especially in understanding how one quantity changes in relation to another. This approach is known as related rates in AP Calculus AB.

Using Derivative Rules 


Related rates involve using derivatives to determine unknown quantities based on other known quantities and their rates of change. Typically, these problems are framed concerning time.
Quantity of Time
To effectively solve related rate problems, various derivative rules must be employed, depending on the specifics of the problem and which quantities are known or unknown. This includes applying the Chain Rule, the Product Rule, and the Quotient Rule. For detailed explanations, you can refer to our earlier study guides on these rules, found in unit two, linked here.

How to Solve Related Rate Problems


Below is a step-by-step guide for tackling related rates problems:

  • Determine Quantities from the Problem
    Identify both known quantities, which are explicitly given in the problem, and unknown quantities that must be discovered.
  • Model the Relationship Between Quantities
    This is achieved through a formula. It's crucial to replace any quantities mentioned in the problem that are not directly related to the unknown quantity being solved for, in order to simplify the formula when taking its derivatives.
  • Apply Derivative Rules with Respect to the Unknown Quantity
    After establishing a formula that captures all relevant quantities from the problem, apply the appropriate derivative rules to derive the equation, along with its quantities and their rates of change. Remember, the variables in the formula must be differentiated WITH RESPECT to the same independent variable you are solving for (commonly this is time).
    WITH RESPECT Intro to Related Rates Chapter Notes | Calculus AB - Grade 9

Substitute Known Quantities into the Derived Equation & Solve for Remaining Quantities


This process will simplify the equation, allowing algebraic methods to determine the values of the unknown quantities.
Another important tip for solving related rates problems is to sketch or model the problem and label the quantities provided in the question. This visual aid not only enhances understanding but also assists in identifying the necessary formula for finding the unknown quantities.
Drawing/Modeling Out the Problem and Labeling the Quantities 
This may seem overwhelming, so let’s work through a couple of examples to apply this knowledge!


Below are two practice problems to help you become familiar with related rates.

Practice Example #1


Let's begin with a straightforward problem and gradually increase the difficulty!
Suppose an oil spill occurs, spreading in a circular pattern. If the radius of the spill increases at a constant rate of 3 m/s, how fast is the area of the spill increasing when the radius is 30 m?
Circular  Constant Rate  The Area  Increasing 
To approach this problem, we can illustrate or model the situation:

Intro to Related Rates Chapter Notes | Calculus AB - Grade 9Notice how the radius and its rate of change are clearly labeled in the above illustration. Labeling your quantities in relation to the image is an excellent strategy to identify the known and unknown quantities of the problem. Here, we observe that the known quantities are a radius of 30 meters and a rate of change of the radius with respect to time, denoted as Intro to Related Rates Chapter Notes | Calculus AB - Grade 9 m/s is 3 meters per second (m/s).
Since we need to find the area at a specific radius and its rate of change, we can model the relationship using the area formula for a circle:
Given that the problem asks for how fast the area increases at a particular radius (when ( r = 30)), we can express this as “the rate of change of area with respect to time,” denoted Intro to Related Rates Chapter Notes | Calculus AB - Grade 9.
Now that we know what quantity we are seeking, we can differentiate the formula with respect to time. Using implicit differentiation, we find:

Intro to Related Rates Chapter Notes | Calculus AB - Grade 9

This can be simplified to:

Intro to Related Rates Chapter Notes | Calculus AB - Grade 9

At this point, you may notice we have most of the quantities present in this derivative, allowing us to substitute our known values and solve for the unknown quantity. Be sure to include the units!

Intro to Related Rates Chapter Notes | Calculus AB - Grade 9

Thus, our final answer is 180πm2 /s

Practice Example #2

Here is another problem:
Suppose a 15 ft tall ladder is leaning against a vertical wall. If the bottom of the ladder slides away from the wall at a rate of 5 ft/s, how quickly is the top of the ladder sliding down when the bottom of the ladder is 9 ft away from the wall?
At first glance, this problem may seem less straightforward than the previous one. This is a classic "ladder" problem. To grasp what we need to find, it’s helpful to draw or model the situation, using the quantities provided:

Intro to Related Rates Chapter Notes | Calculus AB - Grade 9

Here, we visualize the ladder leaning against the vertical y-axis, while the bottom of the ladder reaches the horizontal x-axis. This forms a right triangle, and since we know the length of the ladder (the hypotenuse) and one side's length, we can apply the Pythagorean Theorem to model the relationship between the lengths of the wall, the ground, and the ladder.
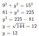
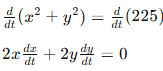
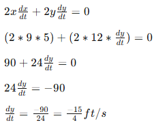
x2 + y2 = 225
Now that we have a formula that models our scenario, we see that our unknown quantity is the rate of change in (y) because as the ladder slides away from the wall (increasing the x-value), the height of the ladder against the wall decreases. This is denoted as Intro to Related Rates Chapter Notes | Calculus AB - Grade 9. We can use implicit differentiation on the formula to find the rates of change for all quantities with respect to time:
Intro to Related Rates Chapter Notes | Calculus AB - Grade 9

At this point, you might realize that while we have values for most quantities in this derivative, we still need to find (y). You may feel confused, but all you need to do is calculate (y) using the original formula.
Given that (x = 9) ft, we can find the value of (y) by:
Intro to Related Rates Chapter Notes | Calculus AB - Grade 9

Now that we have the value of (y), we can return to our derivative and substitute the known values to solve for Intro to Related Rates Chapter Notes | Calculus AB - Grade 9:
Intro to Related Rates Chapter Notes | Calculus AB - Grade 9

By substituting the known quantities into the equation, we can use algebra to solve for Intro to Related Rates Chapter Notes | Calculus AB - Grade 9, which Intro to Related Rates Chapter Notes | Calculus AB - Grade 9gives us the answer!

Closing


By applying the rules of differentiation, related rates represent one method of utilizing calculus to address real-world problems. In the forthcoming guide, we will offer a new set of steps along with additional practice questions, empowering you to choose the technique that suits you best!

Question for Chapter Notes: Intro to Related Rates
Try yourself:
What is the main focus of related rates in AP Calculus AB?
View Solution

Key Terms to Review

  • Derivative with respect to time: This derivative measures how a quantity changes over time, illustrating the speed of change for a variable at any given instant.
  • Dx/dt: The notation dx/dt represents the derivative of x with respect to t. It measures the rate at which x is changing with respect to time.
  • Dy/dt: The notation dy/dt represents the derivative of a function y with respect to the independent variable t. It measures the rate at which y is changing with respect to t.
  • Pythagorean Theorem: This theorem states that, in a right triangle, the square of the length of the hypotenuse equals the sum of the squares of the lengths of the other two sides.
The document Intro to Related Rates Chapter Notes | Calculus AB - Grade 9 is a part of the Grade 9 Course Calculus AB.
All you need of Grade 9 at this link: Grade 9
26 videos|75 docs|38 tests

FAQs on Intro to Related Rates Chapter Notes - Calculus AB - Grade 9

1. What are related rates in calculus?
Ans. Related rates are a method used in calculus to determine the rate at which one quantity changes with respect to another quantity that is also changing over time. They often involve using derivatives to relate different rates of change, typically in real-world scenarios.
2. How do you approach a related rates problem?
Ans. To approach a related rates problem, first, identify the quantities involved and their relationships. Draw a diagram if possible, then write down the equations that relate these quantities. Differentiate these equations with respect to time to express the rates of change. Finally, substitute known values to solve for the unknown rate.
3. Can you give an example of a related rates problem?
Ans. A typical example is a ladder sliding down a wall. For instance, if a 15 ft ladder is leaning against a wall and the bottom slides away at 5 ft/s, you can use the Pythagorean theorem to relate the height of the ladder on the wall and the distance from the wall, then find how fast the top of the ladder is descending when the bottom is a certain distance away from the wall.
4. What is the significance of the Pythagorean theorem in related rates problems?
Ans. The Pythagorean theorem is crucial in related rates problems involving right triangles, as it helps establish relationships between the lengths of the sides. This allows you to express one variable in terms of another, enabling you to differentiate and find rates of change in the context of the problem.
5. How do I differentiate an area formula with respect to time?
Ans. To differentiate an area formula with respect to time, you apply implicit differentiation. For example, if you have the area A = πr^2 for a circle and you want to find dA/dt, you differentiate both sides with respect to time t, applying the chain rule: dA/dt = 2πr(dr/dt), where dr/dt is the rate of change of the radius.
Related Searches

Viva Questions

,

video lectures

,

Sample Paper

,

Exam

,

shortcuts and tricks

,

Important questions

,

MCQs

,

Previous Year Questions with Solutions

,

Intro to Related Rates Chapter Notes | Calculus AB - Grade 9

,

ppt

,

Intro to Related Rates Chapter Notes | Calculus AB - Grade 9

,

Summary

,

practice quizzes

,

mock tests for examination

,

Extra Questions

,

Semester Notes

,

pdf

,

Intro to Related Rates Chapter Notes | Calculus AB - Grade 9

,

Free

,

Objective type Questions

,

past year papers

,

study material

;