Class 8 Exam  >  Class 8 Notes  >  Chapter Notes For Class 8  >  Chapter Notes: Power Play

Power Play Chapter Notes | Chapter Notes For Class 8 PDF Download

Experiencing the Power Play ...

An Impossible Venture!

Imagine you have a big sheet of paper. What happens if you keep folding it in half, over and over again? It gets thicker and thicker very quickly! 
How many times can you fold it over and over?
Power Play Chapter Notes | Chapter Notes For Class 8Estu and Roxie

Power Play Chapter Notes | Chapter Notes For Class 8

This shows how quickly things can grow when they double repeatedly. 
Let's find out how thick a paper would be after 46 folds, assuming its starting thickness is 0.001 cm.
Here's a table showing how the thickness changes with each fold:

Power Play Chapter Notes | Chapter Notes For Class 8

(The symbol '≈' means 'approximately equal to'.)
After just 10 folds, the paper is a little over 1 cm thick. After 17 folds, it's about 131 cm thick, which is more than 4 feet! This rapid growth is called exponential growth or multiplicative growth.
Let's look at how the thickness increases over larger sets of folds:
After 26 folds, the paper would be about 670 meters thick, which is almost as tall as the Burj Khalifa, the world's tallest building! And after 30 folds, it would be around 10.7 km thick, which is the typical height airplanes fly at. The deepest part of the ocean, the Mariana Trench, is about 11 km deep. It's amazing how quickly the thickness grows!

What happens when you fold a paper many times?

Every time you fold a paper, its thickness doubles.

That means:

  • After 1 fold → thickness becomes 2 times

  • After 2 folds → thickness becomes 4 times (2 × 2)

  • After 3 folds → thickness becomes 8 times (2 × 2 × 2)

Power Play Chapter Notes | Chapter Notes For Class 8

You can see that each time, the thickness doubles.

What happens after 10 folds?

The thickness becomes 1024 times more than before.

This is because:

210=10242^{10} = 1024

So, every 10 folds increase the thickness by 1024 times (That is 2 multiplied by itself 10 times), no matter where you start from.

Power Play Chapter Notes | Chapter Notes For Class 8

Exponential Notation and Operations

Let's understand what is happening when paper is folded!

  • The paper’s thickness doubles every time it is folded. The starting thickness of a paper is 0.001 cm.

Example:

  • Initial thickness = 0.001 cm

  • After folding once → 0.001 × 2 = 0.002 cm

  • After folding twice → 0.001 × 2 × 2 = 0.004 cm, or 0.001 × 2² = 0.004 cm

  • After folding thrice → 0.001 × 2 × 2 × 2 = 0.008 cm, or 0.001 × 2³ = 0.008 cm

  • After folding four times → 0.001 × 2⁴ = 0.016 cm

So, every time you fold the paper, you multiply the thickness by 2.

The General pattern becomes, 

  • The thickness after folding the paper several times can be written using powers (exponents).

  • After folding it 7 times → 0.001 × 2 × 2 × 2 × 2 × 2 × 2 × 2 
    = 0.001 × 2⁷ 
    = 0.128 cm

  • After folding it n times → 0.001 × 2n

This pattern shows how the thickness grows very fast using powers of 2.

What is Exponential Notation?

Exponential notation is a shorthand way of writing repeated multiplication of the same number.

Power Play Chapter Notes | Chapter Notes For Class 8

Let’s explore how it works!

  • n × n = n²
    Read as “n squared” or “n raised to the power 2”

  • n × n × n = n³
    Read as “n cubed” or “n raised to the power 3”

  • n × n × n × n = n⁴
    Read as “n raised to the power 4”

  • n × n × n × n × n × n × n = n⁷
    Read as “n raised to the power 7”

In general:

  • nᵃ means you are multiplying n by itself a times.

Example:

  • 5⁴ = 5 × 5 × 5 × 5 = 625
  • So, 5⁴ is the exponential form of 625.
  • Here, 4 is the exponent or power, and 5 is the base.

It is read as:

  • “5 raised to the power 4”

  • “5 to the power 4”

  • “5 power 4”

  • “4th power of 5”

Another Example:

2 × 2 × 2 × 2 × 2 × 2 × 2 × 2 × 2 × 2 = 210 = 1024

Remember 210 ? It shows that after folding a paper 10 times, it becomes 1024 times thicker!Power Play Chapter Notes | Chapter Notes For Class 8

Exploring Positive and Negative Bases

Example 1: Positive Base

4 × 4 × 4 = 4³ = 64

Here, the base is 4, which is a positive number. We are multiplying it by itself 3 times.
Since multiplying positive numbers always gives a positive result, the final answer is 64.

This is read as:

  • “4 raised to the power 3”

  • “4 cubed”

Example 2: Negative Base

(–4) × (–4) × (–4) = (–4)³ = –64

Here, the base is –4, which is a negative number. We are multiplying it by itself 3 times.
Let’s break it down:

Step 1: First multiplication:
(–4) × (–4) = 16
→ Multiplying two negative numbers gives a positive result.

Step 2: Second multiplication:
16 × (–4) = –64
→ Multiplying a positive result by a negative number gives a negative result.

So, the final answer is –64.

Quick Tip: 

1. A positive base always gives a positive result no matter how many times you multiply it.

2. A negative base can give either a positive or negative result depending on the exponent:

  • If the exponent is even (like 2, 4, 6…), the result is positive.

  • If the exponent is odd (like 3, 5, 7…), the result is negative.

Using Letters (Algebra) in Exponential Form

When letters are multiplied, we can also use exponents:

  • a × a × a × b × b
    = a³ × b²
    This is read as "a cubed times b squared"

  • a × a × b × b × b × b
    = a² × b⁴
    This is read as "a squared times b raised to the power 4"

So, each letter is multiplied by itself the number of times shown in the exponent.

Lets Explore!

Power Play Chapter Notes | Chapter Notes For Class 8

Adding powers is not the same as multiplying numbers:
Example:
4 + 4 + 4 = 3 × 4 = 12
Whereas,
4 × 4 × 4 = 4³ = 64

Expressing Large Numbers as Exponents

We can write big numbers in a simpler way using their prime factors and exponents! This helps us easily understand how numbers are built.

Example: 3600 

Step 1: Prime Factorisation

We break 3600 into its prime factors:Power Play Chapter Notes | Chapter Notes For Class 8

3600 = 2 × 2 × 2 × 2 × 3 × 3 × 5 × 5

So we have:

  • Four 2s
  • Two 3s
  • Two 5s

Step 2: Writing in Exponential Form

Now we group the same prime numbers and use exponents to show how many times each is used:

  • 2 × 2 × 2 × 2 = 2⁴

  • 3 × 3 = 3²

  • 5 × 5 = 5²

So, in exponential form:

3600 = 2⁴ × 3² × 5²

Try yourself!

Q: Express the number 32400 as a product of its prime factors and represent the prime factors in their exponential form.

Power Play Chapter Notes | Chapter Notes For Class 8View Answer  Power Play Chapter Notes | Chapter Notes For Class 8

Step 1: Prime Factorisation

We break 32400 into its prime factors:

Power Play Chapter Notes | Chapter Notes For Class 8

32400 = 2 × 2 × 2 × 2 × 3 × 3 × 3 × 3 × 5 × 5
So we have:

  • Four 2s
  • Four 3s
  • Two 5s

Step 2: Writing in Exponential Form

Now we group the same prime numbers and use exponents to show how many times each is used:

  • 2 × 2 × 2 × 2 = 2⁴
  • 3 × 3 × 3 × 3 = 3⁴
  • 5 × 5 = 5²

So, in exponential form:

32400 = 2⁴ × 3⁴ × 5²

The Stones that Shine ...

Three daughters with curious eyes,

  • Each got three baskets—a kingly prize.
  • Each basket had three silver keys,
  • Each opens three big rooms with ease.
  • Each room had tables—one, two, three,

With three bright necklaces on each, you see.

Each necklace had three diamonds so fine…

Can you count these stones that shine?

Hint: Find out the number of baskets and rooms

Let’s Explore the Types of Multiplication Patterns

Power Play Chapter Notes | Chapter Notes For Class 8

  • The king has 3 daughters.

  • Each daughter gets 3 baskets 
    → so total baskets = 3 × 3 = 9.

  • Each basket has 3 keys, each key opens 3 rooms.

  • So the story is building layers of 3’s.

This is a multiplication tree — every step multiplies by 3.Power Play Chapter Notes | Chapter Notes For Class 8

Step 1: Daughters and baskets

  • 3 daughters

  • Each daughter has 3 baskets
    → 3 × 3 = 9 baskets

Step 2: Keys and rooms

  • Each basket has 3 keys

  • Each key opens 3 rooms
    → 9 × 3 × 3 = 81 rooms

Step 3: Tables in rooms

  • Each room has 3 tables
    → 81 × 3 = 243 tables

Step 4: Necklaces on tables

  • Each table has 3 necklaces
    → 243 × 3 = 729 necklaces

Step 5: Diamonds on necklaces

  • Each necklace has 3 diamonds
    → 729 × 3 = 2187 diamonds

Hence, total diamonds = 3 × 3 × 3 × 3 × 3 × 3 × 3 = 3⁷ = 2187

  • When we multiply the same base repeatedly, we use exponents.

  • Here, the base is 3, repeated 7 times, so it becomes 3 to the power 7 (3⁷).

Rules of Exponents

1. Repeated Multiplication

Multiplication of the same number again and again can be written in a shorter form.

Example:

  • 3 × 3 = 9
  • 3 × 3 × 3 = 27
  • 3 × 3 × 3 × 3 = 81

This can be written as powers of 3:

  • 3² = 9

  • 3³ = 27

  • 3⁴ = 81

If the base is the same, just add the powers:

  • p⁴ × p⁶ = p¹⁰

  • because (p × p × p × p) × (p × p × p × p × p × p) = p¹⁰

From the story,

  • Repeated multiplication can be written as powers (exponents).

  • Exponents help in solving big calculations quickly.

  • When bases are the same, we add the powers.

  • This method shows how numbers grow very fast with repeated multiplication.

  • Example from the story: Total diamonds = 2187 (3⁷).

Magical Pond

In the middle of a beautiful, magical pond lies a bright pink lotus. The number of lotuses doubles every day in this pond. After 30 days, the pond is completely covered with lotuses.

Power Play Chapter Notes | Chapter Notes For Class 8

Let's Explore!

Power Play Chapter Notes | Chapter Notes For Class 8

Okay, here’s the solution without latex:

  • The number of lotuses doubles every day.

  • On the 30th day, the pond is completely full.

  • That means on the 29th day, the pond had half as many lotuses as on the 30th day.

  • So, the pond was half full on the 29th day

Power Play Chapter Notes | Chapter Notes For Class 8

Let’s assume we start with 1 lotus on day 1.

The number of lotuses doubles each day, so:

  • On day 1: 1 lotus
  • On day 2: 1 × 2 = 2 lotuses
  • On day 3: 2 × 2 = 4 lotuses
  • On day 4: 4 × 2 = 8 lotuses
  • And so on.

This pattern shows the number of lotuses on day “n” is 2(n-1).

For day 30 (fully covered):

  • Number of lotuses = 2(30-1) = 229.

For day 29 (half covered):

  • Number of lotuses = 2(29-1) = 228.
  • (i) Fully covered (day 30): 229 lotuses
  • (ii) Half covered (day 29): 228 lotuses

The Tripling Pond

There is another pond in which the number of lotuses triples every day. When both ponds had no flowers, Damayanti placed a lotus in the doubling pond. After 4 days, she took all the lotuses from there and put them in the tripling pond.

Let's Explore!

Power Play Chapter Notes | Chapter Notes For Class 8

Process:

  1. Start with 1 lotus in doubling pond.

  2. After 4 days:
    1 × 2 × 2 × 2 × 2 = 2⁴

  3. Shift to tripling pond.

  4. After next 4 days:
    2⁴ × 3 × 3 × 3 × 3 = 2⁴ × 3⁴

Q: What if Damayanti had changed the order in which she placed the flowers in the lakes? How many lotuses would be there?

  • Doubling Pond: The number of lotuses doubles every day.

  • Tripling Pond: The number of lotuses triples every day.

Damayanti placed 1 lotus in the Doubling Pond.

  • After 4 days in the doubling pond: 16 lotuses.Power Play Chapter Notes | Chapter Notes For Class 8

  • Then she moved them to the Tripling Pond for another 4 days:Power Play Chapter Notes | Chapter Notes For Class 8
    So, 16 × 81 = 1296 lotuses.Power Play Chapter Notes | Chapter Notes For Class 8

  • After 4 days in the tripling pond:Power Play Chapter Notes | Chapter Notes For Class 8

  • Then moved to the doubling pond for 4 days:Power Play Chapter Notes | Chapter Notes For Class 8

Notice:Power Play Chapter Notes | Chapter Notes For Class 8Conclusion: So the order does not matter, as long as exponents are the same.

Rule from Observation

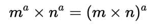
1. Multiplication law: Power Play Chapter Notes | Chapter Notes For Class 8

Why?

  • mᵃ means multiplying m × m × m × m..... a times.

  • nᵃ means multiplying n × n × n × n ..... a times.

  • Together they form (m × n) multiplied a times.

Example:
2⁴ × 3⁴ = (2 × 3)⁴ = 6⁴

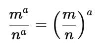
2. Division Law: Power Play Chapter Notes | Chapter Notes For Class 8

Why?

  • mᵃ = m × m × m × … (a times)

  • nᵃ = n × n × n × … (a times)

  • Divide term by term → (m ÷ n) × (m ÷ n) × … (a times)

  • So result = (m ÷ n)ᵃ

How Many Combinations

Estu has 4 dresses and 3 caps. How many different ways can Estu combine the dresses and caps?

To find the total number of combinations:

For each cap, Estu can wear 4 different dresses.

  • So for 3 caps:
    4 + 4 + 4 = 12 combinations
    Or, 4 × 3 = 12 combinations

Similarly, for each dress, he can wear 3 different caps.

  • So for 4 dresses:
    3 + 3 + 3 + 3 = 12 combinations
    Or, 3 × 4 = 12 combinations

Power Play Chapter Notes | Chapter Notes For Class 8

Estu and Roxie came across a safe containing old stamps and coins that their great-grandfather had collected. It was secured with a   5-digit password. Since nobody knew the password, they had no option except to try every password until it opened. They were unlucky and the lock only opened with the last password, after they had tried all possible combinations. How many passwords did they end up checking?

To make it easier, first try a simpler version:

(a) 2-digit Lock:

Each digit has 10 options: 0 to 9

So total combinations = 10 × 10 = 100 passwords

These are: 00, 01, 02, ..., 99

(b) 3-digit Lock:

Now, add one more digit to each 2-digit password

Total = 100 (previous combinations) × 10 = 1,000 passwords

From 000 to 999

(c) 5-digit Lock:

Each digit has 10 options

So total = 10 × 10 × 10 × 10 × 10 = 100,000 passwords

From 00000 to 99999

Power Play Chapter Notes | Chapter Notes For Class 8

Lock Combinations

The Other Side of Powers

Imagine a line that is 16 units long.

We know:

  • 16 = 2 × 2 × 2 × 2 = 2⁴

Now, if we erase (remove) half of the line:

  • We divide 16 by 2 →
    16 ÷ 2 = 8
    8 = 2 × 2 × 2 = 2³

Now, erase half again:

  • 8 ÷ 2 = 4
    4 = 2 × 2 = 2²

Again, erase half a third time:

  • 4 ÷ 2 = 2
    2 = 2¹

So, we started from 2⁴ and after dividing by 2 three times, we reached 2¹.

We can write this as:

  • 2⁴ ÷ 2³ = 2¹

  • Or, 2⁴ ÷ 2³ = 2(4-3) = 2¹

General Rule of Dividing Powers

If you divide two powers with the same base, you subtract the exponents.

That means:

nᵃ ÷ nᵇ = n⁽ᵃ ⁻ ᵇ⁾,
where n is not zero, and a > b.

Try This

What is:

  • 2100 ÷ 225?

Use the rule:

  • 2¹⁰⁰ ÷ 2²⁵ = 2⁽¹⁰⁰ ⁻ ²⁵⁾ = 2⁷⁵

Why Can’t n Be 0?

We have a rule:

nᵃ ÷ nᵇ = nᵃ⁻ᵇ, where n ≠ 0

Let’s see why n cannot be 0:

Example:

Take:

  • 2⁴ ÷ 2⁴ = 2⁴⁻⁴ = 2⁰

Now,

  • 2⁴ = 16

  • So, 2⁴ ÷ 2⁴ = 16 ÷ 16 = 1

  • Therefore, 2⁰ = 1

In fact for any letter number a 

20 = 2a – a = 2a ÷ 2a = 1. 

In general, 

xa ÷ xa = xa – a = x0, and so 

1 = x0

where x ≠ 0 and a is a counting number.

So, any number when raised to the power 0 is equals to 1.

This rule works for any number except 0.

Let’s say we halve a line of length 2⁴ = 16 units again and again:

Halve it 5 times:

2⁴ ÷ 2⁵ = Power Play Chapter Notes | Chapter Notes For Class 8

But by using the above general form we can write,

  • 2⁴ ÷ 2⁵ = 2⁴⁻⁵ = 2⁻¹

  • That means: 2⁻¹ = 1 ÷ 2 = Power Play Chapter Notes | Chapter Notes For Class 8

Halve it 10 times:

  • In general form we can write: 2⁴ ÷ 2¹⁰ = 2⁴⁻¹⁰ = 2⁻⁶

  • In normal form we can write: 2⁴ ÷ 2¹⁰ = Power Play Chapter Notes | Chapter Notes For Class 8

So, we learn:

n-a = 1 ÷ nᵃ, and
nᵃ = 1 ÷ n⁻ᵃ , where n is not a zero

Summary of General forms:

Power Play Chapter Notes | Chapter Notes For Class 8

Power Lines

Power line is a line having all the powers of a number on it, this helps us in making difficult power calculations, very easy

Let us arrange the powers of 4 along a line.

Power Play Chapter Notes | Chapter Notes For Class 8

Power Line of 4

Q. Can we say that 16384 (47) is 16 (42) times larger than 1,024 (45)? 

Yes, since 47 ÷ 45 = 4(7-5) = 42

Q. How many times larger than 4–2 is 42

42 ÷ 4-2 = 4 (2-(-2)) = 4(2+2) = 44

So, 42 is 44 larger than 4–2

Powers of 10

What are Powers of 10?

"Powers of 10" means writing numbers using exponents of 10. This is a shorter and easier way to show how many times 10 is multiplied.

For example:

  • 10 = 10¹ (10 is multiplied once)

  • 100 = 10² (10 × 10)

  • 1000 = 10³ (10 × 10 × 10)

Using Powers of 10 in Numbers

Let’s take a number and write it in expanded form and then in powers of 10:

Example: 47561

Expanded form:
47561 = (4 × 10000) + (7 × 1000) + (5 × 100) + (6 × 10) + (1)

Now, write these place values using powers of 10:

  • 10000 = 10⁴

  • 1000 = 10³

  • 100 = 10²

  • 10 = 10¹

  • 1 = 10⁰

So,
Using powers of 10:
47561 = (4 × 10⁴) + (7 × 10³) + (5 × 10²) + (6 × 10¹) + (1 × 10⁰)

What about Decimal Numbers?

Let’s look at 561.903

How can we write 561.903?

Expanded form (separating whole and decimal parts):

= (5 × 100) + (6 × 10) + (1 × 1) + (9 × 1/10) + (0 × 1/100) + (3 × 1/1000)

Now, write them using powers of 10:

  • 100 = 10²

  • 10 = 10¹

  • 1 = 10⁰

  • 1/10 = 10⁻¹

  • 1/100 = 10⁻²

  • 1/1000 = 10⁻³

So,
Using powers of 10:
561.903 = (5 × 10²) + (6 × 10¹) + (1 × 10⁰) + (9 × 10⁻¹) + (0 × 10⁻²) + (3 × 10⁻³)

Scientific Notation

Why Do We Need Scientific Notation?

When we deal with very large numbers, it becomes hard to:

  • Count the number of zeroes correctly.

  • Place commas at the right positions.

  • Read or write the number without making mistakes.

Example:
It is easy to confuse ₹5,000 with ₹50,000 just because of one missing zero.

To avoid such confusion, we use a way of writing numbers called Scientific Notation (also known as Standard Form).

What is Scientific Notation?

Scientific Notation is a method to write very large or very small numbers using powers of 10.

Format:
A number in scientific notation is written as:
x × 10y,
where:

  • x is a number between 1 and 10 (called the coefficient),

  • y is an exponent (any whole number), and

  • 10y shows how many times 10 is multiplied.

Example of Breaking a Number into Scientific Notation

Let’s take the number 5900.

We can write it in many ways using powers of 10:

5900 = 590 × 10

= 59 × 10²

= 5.9 × 10³ → This is the correct scientific notation
(Because 5.9 is between 1 and 10)

Another example:

80,00,000 = 8 × 10⁶

Why Is Scientific Notation Useful?

Let’s look at some big facts:

Power Play Chapter Notes | Chapter Notes For Class 8

This helps us read and write large numbers easily and quickly.

Importance of the Exponent (Power of 10)

In the scientific form x × 10y, the exponent y is very important:

  • It tells us how big the number is.

  • Changing x changes the number a little.

  • Changing y changes the number a lot.

Example:

  • 2 × 10⁷ = 2 crore

  • 3 × 10⁷ = 3 crore → Only 50% more

  • But 2 × 10⁸ = 20 crore → 10 times more

Accuracy and Approximation

  • When we say Kohima has a population of 1,42,395, it seems like we are sure about the number right down to the last person.

  • But often, when we use big numbers, we are not always interested in the exact value. We just want to know how big the number is.

  • If we are only sure that the population is about 1,42,000, we can write it as: 
    1.42 × 10⁵

  • If we are only sure it's about 1,40,000, we can write: 1.4 × 10⁵

In scientific notation, the number of digits in the beginning (called the coefficient) shows how accurately we know the value.

Power Play Chapter Notes | Chapter Notes For Class 8

When we talk about very old things, like a dinosaur’s skeleton, we say:

  • "It is 70 million years old."

  • We don’t usually add the exact number of years (like 70 million and 15 years), because it doesn’t matter much.

These are rounded-off numbers, and that is good enough for most purposes.

We often use scientific notation to write very large distances:

Distance from Sun to Saturn:

  • 14,33,50,00,00,000 m

  • = 1.4335 × 10¹² m

Distance from Saturn to Uranus:

  • 14,39,00,00,00,000 m

  • = 1.439 × 10¹² m

Distance from Sun to Earth:

  • 1,49,60,00,00,000 m

  • = 1.496 × 10¹¹ m

These scientific forms make large numbers easier to read and compare.

Did You Ever Wonder?

Last year, you learned some fun thinking activities (thought experiments) in your Large Numbers chapter. Let’s continue that with a new situation.

The Situation

A man named Nanjundappa wants to donate:

  • Jaggery equal to the weight of Roxie
  • Wheat equal to the weight of Estu

He is trying to find out how much money this donation would cost him.

Power Play Chapter Notes | Chapter Notes For Class 8

How Do We Calculate the Cost?

We use these formulas:

  • Cost of Jaggery = Roxie’s weight × Cost of 1 kg of jaggery
  • Cost of Wheat = Estu’s weight × Cost of 1 kg of wheat

Make Assumptions (Use Reasonable Values)

If we don’t know the exact weights or prices, we can make reasonable guesses.

Let’s assume:

  • Roxie is 13 years old and weighs 45 kg
  • Cost of 1 kg of jaggery is ₹70

Then,
Jaggery cost = 45 × 70 = ₹3150

Now assume:

  • Estu is 11 years old and weighs 50 kg
  • Cost of 1 kg of wheat is ₹50

Then,
Wheat cost = 50 × 50 = ₹2500

A Cultural Tradition

This kind of donation is called Tulābhāra or Tulābhāram.
It means donating something (like jaggery, fruits, coins, etc.) equal to a person’s weight.

It is:

  • A symbol of devotion or surrender (bhakti)

  • A way of showing gratitude

  • A support to the community

Roxie now wonders:
If I donate 1-rupee coins equal to my weight, how many coins will I need?

To find this, you can follow these steps:

Problem Solving Steps

Step 1: Guess
Make a quick guess without doing any maths.

Step 2: Estimate & Calculate

(i) Understand the relationship:
Total weight of coins = Roxie’s weight

(ii) Make assumptions:
For example, assume 1 coin weighs 5 grams

(iii) Do the math:
Convert Roxie’s weight to grams (1 kg = 1000 grams → 45 kg = 45000 grams)
Now divide by the weight of 1 coin:
45000 ÷ 5 = 9000 coins

This is how you solve such interesting real-life math problems using logic, estimation, and some simple calculations.

Linear Growth vs. Exponential Growth

Power Play Chapter Notes | Chapter Notes For Class 8

Roxie is reading a science-fiction story where someone builds a ladder to reach the Moon.
She wonders,
“If such a ladder were real, how many steps would it need?”

Make a Guess

Before calculating, try to guess:
Would the number of steps be in thousands, lakhs, crores, or even more?

Let’s Do the Math

Power Play Chapter Notes | Chapter Notes For Class 8

Step 1: Distance to the Moon

The Moon is about 3,84,400 kilometers away from Earth.

Step 2: Step Size

Let’s assume each step of the ladder is 20 cm apart.
(Remember: 100 cm = 1 metre, 1000 metres = 1 km)

Step 3: Convert Units

Convert 3,84,400 km to centimeters:

  • 1 km = 1,00,000 cm

  • So,
    3,84,400 km = 3,84,400 × 1,00,000 = 38,44,00,00,000 cm

Now divide by 20 cm (each step):

  • Number of steps = 38,44,00,00,000 ÷ 20 = 1,92,20,00,000 steps
    (which is 192 crore and 20 lakh steps, or 1.922 billion steps)

What Is Linear Growth?

This ladder increases in a fixed way — each step is 20 cm.
So you add 20 cm every time:

20 + 20 + 20 + 20 + ... (1,92,20,00,000 times)

This kind of growth is called Linear Growth — where the value increases by the same amount each time.

What Is Exponential Growth?

Now imagine folding a piece of paper:

  • First fold = 2 layers

  • Second fold = 4 layers

  • Third fold = 8 layers

  • Fourth fold = 16 layers

  • and so on...

This growth multiplies each time, not adds.

This is Exponential Growth — the value doubles (or multiplies) every time.

To cover the distance between the Earth and the Moon, it takes 

1,92,20,00,000 steps with linear growth whereas it takes just 46 folds of 

a piece of paper.

Power Play Chapter Notes | Chapter Notes For Class 8

This shows how fast exponential growth can become large compared to linear growth.

Getting a Sense for Large Numbers

You have already learned:

Power Play Chapter Notes | Chapter Notes For Class 8

Number System

We use these systems to count very large quantities

You might know the size of the world’s human population. Have you ever wondered how many ants there might be in the world or how long ago humans emerged? In this section, we shall explore numbers significantly larger than arabs and billions. We shall use powers of 10 to represent and compare these numbers in each case.

Power Play Chapter Notes | Chapter Notes For Class 8

  • Large numbers are easier to handle using powers of 10.
  • Animal and human populations are often expressed this way to keep things simple and clear.

Power Play Chapter Notes | Chapter Notes For Class 8

A picture of a starling murmuration over a farm in the UK. Starling murmuration is a mesmerising aerial display of thousands of starlings flying in synchronised, swirling patterns. It is often described as a ‘choreographed dance’.

Comparing Humans and African Elephants

  • Human population (2025): 8 × 10⁹

  • African elephant population: 4 × 10⁵

We divide:

Power Play Chapter Notes | Chapter Notes For Class 8

So, there are about 20,000 people for every African elephant.

We can use powers of 10 to write the population of various species:

Power Play Chapter Notes | Chapter Notes For Class 8

Interesting fact: Ants are so many that their total weight is more than all wild birds and mammals on Earth.

1021  is supposed to be the number of grains of sand on all beaches and deserts on Earth. This is enough sand to give every ant 10 little sand castles to live in. 

Power Play Chapter Notes | Chapter Notes For Class 8

A sand castle and an Ant

1023  The estimated number of stars in the observable universe is   2 × 1023

1025  There are an estimated 2 × 1025 drops of water on Earth (assuming 16 drops per millilitre)

A different way to say your age!

“How old are you?” asked Estu. 

“I completed 13 years a few weeks ago!” said Roxie. 

“How old are you?” asked Estu again. 

“I’m 4840 days old today!” said Roxie. 

“How old are you?” asked Estu again. 

“I’m ______ hours old!” said Roxie. 

Make an estimate before finding this number. 

Estu: “I am 4070 days old today. Can you find out my date of birth?”

If you have lived for a million seconds, how old would you be?

1,000,000 seconds ≈ 11.6 days

We shall look at approximate times and timelines of some events and phenomena, and use powers of 10 to represent and compare these quantities.

Power Play Chapter Notes | Chapter Notes For Class 8

Power Play Chapter Notes | Chapter Notes For Class 8

Fun Fact

  • 10⁶ seconds is less than 2 weeks, but 10⁹ seconds is over 31 years!

  • This shows how fast exponential growth happens.

A Pinch of History

  • Ancient Indian texts like Lalitavistara, Ganita-Sara-Sangraha, and Amalasiddhi talk about extremely large numbers.

  • These texts belonged to Buddhist and Jaina traditions and were written over 2000 years ago.

Lalitavistara: Dialogue Between Arjuna and Prince Gautama

  • This is a Buddhist text from the 1st century BCE.

  • It gives names for very large numbers by multiplying powers of 10.

  • Example:

    • 1 hundred kotis = 1 ayuta = 10⁹

    • 1 hundred ayutas = 1 niyuta = 10¹¹

    • ... and it continues up to 10⁵³

Other Ancient Indian Texts

  • Mahaviracharya (a Jain mathematician) listed numbers up to 10²³.
  • A Jain text named Amalasiddhi went up to 10⁹⁶.

  • A grammar book by Kāccāyana (in Pali language) mentioned numbers up to 10¹⁴⁰ called asaṅkhyeya (meaning uncountable).

How They Named Large Numbers (Power Play)

They used bases like:

  • Sahassa = 1 thousand

  • Koti = 1 crore (10 million)

For example:

  • Prayuta (10⁶) was said as “10 hundred thousand

  • This is similar to how we say:

    • 1 lakh = 100 × 1,000 = 1,00,000 (10⁵)

    • 1 crore = 100 × 1 lakh = 1,00,00,000 (10⁷)

    • 1 arab = 100 × 1 crore = 10⁹

    • And so on…

Fun Facts About Huge Numbers

  • Googol = 10¹⁰⁰ (a 1 followed by 100 zeros)
  • Googolplex = 10^Googol (a 1 followed by a googol of zeros)

  • Estimated number of atoms in the universe = between 10⁷⁸ and 10⁸²

  • So, googolplex is much larger than anything in the real world.

Highest Currency Notes in History

  • In India, the highest note is ₹2000

  • Hungary (1946): Printed a note of 1 sextillion pengő (10²¹) – but it was never used.

  • Zimbabwe (2009): Printed a note of 100 trillion dollars (10¹⁴) – it was worth only around 30 US dollars

Power Play Chapter Notes | Chapter Notes For Class 8

The document Power Play Chapter Notes | Chapter Notes For Class 8 is a part of the Class 8 Course Chapter Notes For Class 8.
All you need of Class 8 at this link: Class 8
103 docs

FAQs on Power Play Chapter Notes - Chapter Notes For Class 8

1. What is exponential notation and how is it used in mathematics?
Ans.Exponential notation is a way of expressing numbers using powers. It is written in the form a^n, where 'a' is the base and 'n' is the exponent. This notation simplifies the representation of large numbers and makes it easier to perform operations such as multiplication and division. For example, 10^3 represents 10 × 10 × 10, which equals 1,000.
2. How do you perform operations with powers of 10?
Ans.Operations with powers of 10 follow specific rules. When multiplying powers with the same base, you add the exponents (e.g., 10^2 × 10^3 = 10^(2+3) = 10^5). When dividing, you subtract the exponents (e.g., 10^5 ÷ 10^2 = 10^(5-2) = 10^3). This makes calculations involving large numbers more manageable.
3. What are some common applications of powers of 10 in real life?
Ans.Powers of 10 are commonly used in various fields, including science, engineering, and finance. For instance, they are essential in scientific notation to express very large or very small numbers, like the speed of light (approximately 3 × 10^8 m/s) or the size of atoms (around 1 × 10^-10 m). This notation helps simplify calculations and comparisons.
4. Why is it important to understand the concept of powers and exponents?
Ans.Understanding powers and exponents is crucial as they form the basis for many mathematical concepts and operations. They are foundational in areas such as algebra, calculus, and scientific measurements. A solid grasp of these concepts aids in problem-solving and enhances mathematical reasoning skills.
5. Can you explain the 'other side of powers' mentioned in the article?
Ans.The 'other side of powers' refers to the inverse operations related to exponents, such as roots. For instance, taking the square root of a number is the inverse of squaring that number. Understanding this relationship helps in solving equations involving exponents and deepens one's comprehension of mathematical concepts related to powers.
Related Searches

Summary

,

video lectures

,

Viva Questions

,

practice quizzes

,

Semester Notes

,

past year papers

,

Exam

,

shortcuts and tricks

,

Power Play Chapter Notes | Chapter Notes For Class 8

,

Objective type Questions

,

mock tests for examination

,

Extra Questions

,

Sample Paper

,

MCQs

,

study material

,

pdf

,

Free

,

Important questions

,

Power Play Chapter Notes | Chapter Notes For Class 8

,

Previous Year Questions with Solutions

,

ppt

,

Power Play Chapter Notes | Chapter Notes For Class 8

;