Grade 9 Exam  >  Grade 9 Notes  >  Calculus AB  >  Chapter Notes: Solving Related Rates Problems

Solving Related Rates Problems Chapter Notes | Calculus AB - Grade 9 PDF Download

Related rates problems in calculus focus on determining how quickly one variable changes in relation to the rate of change of another connected variable. These problems often involve geometric shapes or real-world scenarios where multiple quantities are linked through equations, typically with respect to time. To dive deeper into the fundamentals, refer to the Introduction to Related Rates guide.


Facing a related rates problem can feel daunting due to the wealth of information provided. However, organizing your approach can make the process manageable. Follow these steps to solve related rates problems effectively:

  • Read Thoroughly: Carefully analyze the problem to pinpoint key values, such as known quantities and their rates of change. Highlight or jot down these values for clarity.
  • Sketch a Diagram: Draw a visual representation of the scenario, labeling variables and their rates of change to understand their relationships.
  • Establish an Equation: Formulate an equation that connects the variables, often based on geometric formulas or given relationships.
  • Apply Implicit Differentiation: Differentiate the equation with respect to time (t), using the chain rule for terms involving variables.
  • Plug in Known Values: Substitute known quantities and rates into the differentiated equation.
  • Solve for the Target Rate: Isolate and solve for the desired rate of change, ensuring units align with the problem’s requirements.

Practice Problems


Let’s apply these steps to two classic related rates problems to solidify your understanding.
Example 1: Expanding Rectangle
A rectangle has a length of 8 feet and a width of 6 feet. The width is increasing at a rate of 2 feet per minute. How fast is the rectangle’s area increasing?
Step 1: Identify Key Information

  • Length (l) = 8 ft
  • Width (w) = 6 ft
  • Rate of change of width (dw/dt) = +2 ft/min
  • Rate of change of area (dA/dt) = ?

Step 2: Draw a Diagram
Visualize a rectangle with a fixed length of 8 ft and a width that changes over time. (Refer to a diagram of a rectangle for clarity.)
Solving Related Rates Problems Chapter Notes | Calculus AB - Grade 9Step 3: Set Up the Equation
The area of a rectangle is given by:
A = l × w
Since the length is constant (l = 8), the equation simplifies to:
A = 8w
Step 4: Differentiate
Differentiate with respect to time using the chain rule:
dA/dt = 8 × dw/dt
Step 5: Substitute Known Values
Plug in dw/dt = 2:
dA/dt = 8 × 2 = 16 ft/min
Step 6: Conclusion
The area of the rectangle is increasing at a rate of 16 feet per minute.

Example 2: Sliding Ladder

Consider a 13 meter long ladder leaning against the wall. If the distance between the wall and the bottom of the ladder is increasing at 3 m/s, how fast is the distance between the ground and the top of the ladder changing when the bottom of the ladder is 5 feet away from the wall when it begins sliding?
This question unloaded a lot of information all at once, so take a second to reread the scenario before we get to work. You can do it!
Let’s begin by identifying some key facts and drawing a picture of the scenario.
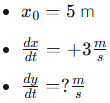
Known Information
Solving Related Rates Problems Chapter Notes | Calculus AB - Grade 9

Important Equations
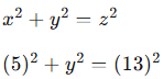
Solving Related Rates Problems Chapter Notes | Calculus AB - Grade 9Solving Related Rates Problems Chapter Notes | Calculus AB - Grade 9Now we can use the equation relating the side lengths of the triangle made with the ladder, wall, and ground. When looking at the image, we notice that the hypotenuse of the triangle is not changing and we conclude that dz/dt = 0.
After directly plugging in any constants into the equation, we can relate the sides with the following equation: x2+y2=132. And now we can finally take the derivative! Don’t forget to use the chain rule since we are taking the derivative with respect to time. Taking the derivative of the main equation gives us:
Solving Related Rates Problems Chapter Notes | Calculus AB - Grade 9
Now let’s plug in all known variables and see what we have to solve for.
Solving Related Rates Problems Chapter Notes | Calculus AB - Grade 9
You may have noticed that we have two missing pieces of information: the value of y when x=5 and dy/dt which is our ultimate solution.
We can solve for the value of y by using the Pythagorean Theorem! A triangle will a side length of 5 and a hypotenuse of 13 is actually part of three Pythagorean Triple (5,12,13). But if you didn’t pick that up, we can quickly solve for the missing value of y by just plugging into the equation.
Solving Related Rates Problems Chapter Notes | Calculus AB - Grade 9
We can then isolate $y$ to get…
Solving Related Rates Problems Chapter Notes | Calculus AB - Grade 9
We're almost there!
The final step is to solve for dy/dt. Using algebra, we can isolate dy/dt and get 2(5)⋅3+2(12)⋅ dy/dt = 0 and 15 = -12 dy/dt.
Solving Related Rates Problems Chapter Notes | Calculus AB - Grade 9
Therefore, we find that the distance between the top of the ladder and the ground is decreasing at a rate of (-5/4) meters per second when the bottom of the ladder is five feet away from the wall.

Wrapping Up


With these steps and examples, you’re equipped to handle related rates problems confidently. These questions are common in AP Calculus exams, appearing in both multiple-choice and free-response sections, testing your ability to apply calculus to dynamic real-world scenarios. Keep practicing, and you’ll master related rates in no time!

Question for Chapter Notes: Solving Related Rates Problems
Try yourself:
What is the first step to tackle related rates problems?
View Solution

Key Terms to Know

  • Conical Water Tank: A cone-shaped container, wide at the base and narrowing toward the top, used for holding liquids.
  • Depth: The vertical distance from the highest to the lowest point of an object or shape.
  • Height: The vertical measurement from the base to the top of an object or shape.
  • Proportion: A relationship where two quantities maintain a constant ratio or equality.
  • Radius: The distance from the center of a circle to any point on its edge.
  • Rate of Change: The speed at which one quantity changes relative to another, often expressed as a ratio.
  • Related Rates: A calculus concept for finding how one quantity’s rate of change relates to another’s, using derivatives.
  • Volume of a Cone: The space inside a cone, calculated as V = (1/3)πr²h, where r is the base radius and h is the height.
  • Volume Formula: An equation to compute the space occupied by a 3D object.
The document Solving Related Rates Problems Chapter Notes | Calculus AB - Grade 9 is a part of the Grade 9 Course Calculus AB.
All you need of Grade 9 at this link: Grade 9
26 videos|75 docs|38 tests

FAQs on Solving Related Rates Problems Chapter Notes - Calculus AB - Grade 9

1. What are related rates problems in calculus?
Ans. Related rates problems involve finding the rate at which one quantity changes concerning another quantity that is also changing. These problems typically require the use of derivatives and the chain rule to relate the rates of change of different variables.
2. How do you identify the variables in a related rates problem?
Ans. To identify the variables, carefully read the problem to determine what quantities are changing and what relationships exist between them. Typically, you will have a primary variable (like the radius of a balloon) and related variables (like the volume of the balloon) that depend on it.
3. What is the first step in solving a related rates problem?
Ans. The first step is to identify the known rates of change, the quantities involved, and the relationship between those quantities. This often involves writing down an equation that relates the variables before differentiating with respect to time.
4. Why is it important to draw a diagram for related rates problems?
Ans. Drawing a diagram helps visualize the problem and understand the relationships between different quantities. It can also clarify how the variables are changing with respect to one another, making it easier to set up the equations needed for solving the problem.
5. What common mistakes should be avoided when solving related rates problems?
Ans. Common mistakes include failing to correctly identify the relationships between variables, not differentiating the entire equation with respect to time, and neglecting to substitute values correctly. It's also crucial to keep track of units and ensure consistency throughout the calculations.
Related Searches

Solving Related Rates Problems Chapter Notes | Calculus AB - Grade 9

,

Exam

,

Sample Paper

,

mock tests for examination

,

Important questions

,

MCQs

,

Previous Year Questions with Solutions

,

Summary

,

shortcuts and tricks

,

Solving Related Rates Problems Chapter Notes | Calculus AB - Grade 9

,

video lectures

,

past year papers

,

Extra Questions

,

pdf

,

Semester Notes

,

study material

,

Objective type Questions

,

ppt

,

practice quizzes

,

Solving Related Rates Problems Chapter Notes | Calculus AB - Grade 9

,

Viva Questions

,

Free

;