Grade 9 Exam  >  Grade 9 Notes  >  Calculus AB  >  Chapter Notes: Using L'Hopitals Rule for Determining Limits in Indeterminate Forms

Using L'Hopitals Rule for Determining Limits in Indeterminate Forms Chapter Notes | Calculus AB - Grade 9 PDF Download

From earlier studies, you might remember that certain limits of functions result in indeterminate forms like 0/0 or ±∞/∞. These forms are ambiguous and cannot be evaluated directly. Instead of manipulating the expression algebraically to resolve the indeterminacy, we can use a powerful tool called L'Hôpital's Rule, which leverages derivatives to simplify the process.

What is L'Hôpital's Rule?


L'Hôpital's Rule provides a method to evaluate limits of indeterminate forms. Specifically, it applies when:

Using L`Hopitals Rule for Determining Limits in Indeterminate Forms Chapter Notes | Calculus AB - Grade 9Using L`Hopitals Rule for Determining Limits in Indeterminate Forms Chapter Notes | Calculus AB - Grade 9

Basically, the rule states that we can evaluate the limits of indeterminate forms using their derivatives!
This means you can find the limit by taking the derivatives of the numerator and denominator separately and then evaluating the new limit. Note that L'Hôpital's Rule is distinct from the quotient rule for derivatives and is only applicable to these specific indeterminate limit cases.

Applying L'Hôpital's Rule: A Step-by-Step Example


Let's evaluate the following limit:

Using L`Hopitals Rule for Determining Limits in Indeterminate Forms Chapter Notes | Calculus AB - Grade 9

Substituting x = π/2 gives:

Using L`Hopitals Rule for Determining Limits in Indeterminate Forms Chapter Notes | Calculus AB - Grade 9

This is an indeterminate form, so L'Hôpital's Rule is appropriate. First, verify the conditions by checking the limits of the numerator and denominator:

Using L`Hopitals Rule for Determining Limits in Indeterminate Forms Chapter Notes | Calculus AB - Grade 9

Since Using L`Hopitals Rule for Determining Limits in Indeterminate Forms Chapter Notes | Calculus AB - Grade 9 L’Hopital’s Rule can be applied. Be sure to write this statement out before actually applying this rule.
Now, we can take the derivatives and get into L’Hopital’s Rule.

Using L`Hopitals Rule for Determining Limits in Indeterminate Forms Chapter Notes | Calculus AB - Grade 9

In conclusion, we know that this limit…

Using L`Hopitals Rule for Determining Limits in Indeterminate Forms Chapter Notes | Calculus AB - Grade 9

Question for Chapter Notes: Using L'Hopitals Rule for Determining Limits in Indeterminate Forms
Try yourself:
What does L'Hôpital's Rule help evaluate?
View Solution

Practice Problems for L'Hôpital's Rule


Test your understanding with these practice problems, treating them as free-response questions where you must verify the conditions for L'Hôpital's Rule.
Question 1
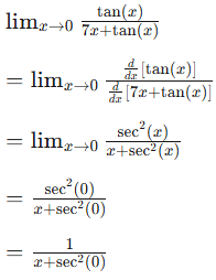
limx→0 tan(x)/(7x + tan(x))
Question 2
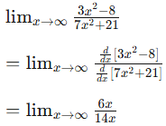
limx→∞ (3x² - 8)/(7x² + 21)

Solutions to Practice Problems


Question 1 Solution
Plugging x = 0 into Using L`Hopitals Rule for Determining Limits in Indeterminate Forms Chapter Notes | Calculus AB - Grade 9 results in the indeterminate form 0/0. Since the expression involves mixed function types, it is not possible to manipulate it algebraically in any way to find the limits. Therefore, we should use L’Hopital’s Rule.
But first, show that the limits are separately equal to 0.
Using L`Hopitals Rule for Determining Limits in Indeterminate Forms Chapter Notes | Calculus AB - Grade 9
Since Using L`Hopitals Rule for Determining Limits in Indeterminate Forms Chapter Notes | Calculus AB - Grade 9 L’Hopital’s Rule can be applied.
Using L`Hopitals Rule for Determining Limits in Indeterminate Forms Chapter Notes | Calculus AB - Grade 9
In conclusion…
Using L`Hopitals Rule for Determining Limits in Indeterminate Forms Chapter Notes | Calculus AB - Grade 9

Question 2 Solution
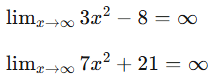
Plugging x = ∞ into Using L`Hopitals Rule for Determining Limits in Indeterminate Forms Chapter Notes | Calculus AB - Grade 9 results in the indeterminate form Using L`Hopitals Rule for Determining Limits in Indeterminate Forms Chapter Notes | Calculus AB - Grade 9 Therefore, we should use L’Hopital’s Rule.
Using L`Hopitals Rule for Determining Limits in Indeterminate Forms Chapter Notes | Calculus AB - Grade 9

Since Using L`Hopitals Rule for Determining Limits in Indeterminate Forms Chapter Notes | Calculus AB - Grade 9L’Hopital’s Rule can be applied.

Using L`Hopitals Rule for Determining Limits in Indeterminate Forms Chapter Notes | Calculus AB - Grade 9

= 3/7
Therefore…

Using L`Hopitals Rule for Determining Limits in Indeterminate Forms Chapter Notes | Calculus AB - Grade 9

Key Terms to Understand

  • Indeterminate Forms: These are expressions that yield ambiguous or undefined values, such as 0/0 or ∞/∞, often encountered when computing limits.
  • L'Hôpital's Rule: A technique for resolving indeterminate limits by taking the derivatives of the numerator and denominator, allowing for easier evaluation of the limit.

Conclusion


L'Hôpital's Rule is an efficient method for tackling limits that result in indeterminate forms. By applying derivatives, it simplifies complex problems, making limit evaluation more straightforward. Keep practicing, and happy calculus learning!

The document Using L'Hopitals Rule for Determining Limits in Indeterminate Forms Chapter Notes | Calculus AB - Grade 9 is a part of the Grade 9 Course Calculus AB.
All you need of Grade 9 at this link: Grade 9
26 videos|75 docs|38 tests

FAQs on Using L'Hopitals Rule for Determining Limits in Indeterminate Forms Chapter Notes - Calculus AB - Grade 9

1. What is L'Hôpital's Rule and when can it be applied?
Ans. L'Hôpital's Rule is a method used to evaluate limits of indeterminate forms such as 0/0 or ∞/∞. It states that if you encounter such forms in a limit, you can take the derivative of the numerator and the derivative of the denominator separately and then re-evaluate the limit.
2. How do you apply L'Hôpital's Rule step-by-step?
Ans. To apply L'Hôpital's Rule, follow these steps: 1. Identify the limit you need to evaluate and check if it results in an indeterminate form (0/0 or ∞/∞). 2. Differentiate the numerator and denominator separately. 3. Substitute the limit again with the new function. 4. If the result is still an indeterminate form, you can apply L'Hôpital's Rule again.
3. Can L'Hôpital's Rule be applied more than once?
Ans. Yes, L'Hôpital's Rule can be applied multiple times if the resulting limit after the first application is still in an indeterminate form (0/0 or ∞/∞). You simply repeat the process of differentiating the numerator and denominator until a determinate form is reached.
4. What are some common indeterminate forms that L'Hôpital's Rule can be used for?
Ans. The most common indeterminate forms for which L'Hôpital's Rule can be applied are 0/0 and ∞/∞. Other forms like 0 × ∞, ∞ - ∞, 0^0, ∞^0, and 1^∞ might require algebraic manipulation to convert them into one of the forms before applying L'Hôpital's Rule.
5. Are there any limitations or conditions for using L'Hôpital's Rule?
Ans. Yes, there are conditions for using L'Hôpital's Rule. It can only be applied when the limit results in an indeterminate form of 0/0 or ∞/∞. Additionally, the derivatives of the numerator and denominator must exist in a neighborhood of the point where the limit is being evaluated, except possibly at the point itself.
Related Searches

mock tests for examination

,

Important questions

,

Summary

,

Exam

,

Using L'Hopitals Rule for Determining Limits in Indeterminate Forms Chapter Notes | Calculus AB - Grade 9

,

Free

,

past year papers

,

video lectures

,

Objective type Questions

,

Semester Notes

,

Viva Questions

,

study material

,

Using L'Hopitals Rule for Determining Limits in Indeterminate Forms Chapter Notes | Calculus AB - Grade 9

,

shortcuts and tricks

,

ppt

,

Sample Paper

,

pdf

,

Extra Questions

,

Using L'Hopitals Rule for Determining Limits in Indeterminate Forms Chapter Notes | Calculus AB - Grade 9

,

MCQs

,

practice quizzes

,

Previous Year Questions with Solutions

;