Introduction
The slides cover the following topics:
Probability of Bit Error in ASK/PSK------------------------------------------Next slide
EE104: Lecture 25 Outline
•Announcements
•Review of Last Lecture
•Probability of Bit Error in ASK/PSK
•Course Summary
•Hot Topics in Communications
•Next-Generation Systems
Probability of Bit Error in ASK/PSK------------------------------------------Next slide
Announcements
•HW 7 due Monday at 9 pm (no late HWs)
•Solutions will be posted then.
•Final Exam is Th., 3/20, 8:30am in Gates B03 (basement)
•Exam is open book/notes, covers through today’s lecture.
•Emphasis is on material after midterm, similar to practice finals
•SCPD student must make remote arrangements w/me by this Friday
•Practice finals posted on class website
•10 bonus points if turned in by 3/20 at 8:30am (Joice has solutions)
•Final Review: Monday 7-8pm (room 380-380Y)
•Extra Office Hours
•My extra hours: M 4:30-6:30, TW 12-2, and by appointment
•Jaron: W 4-6 (Bytes), Nikola: after review and T 5-7pm (110 Packard)
•τβπ will be done at end of class (10 bonus points)
Probability of Bit Error in ASK/PSK------------------------------------------Next slide
Review of Last Lecture
•Passband Digital Modulation
- ASK/PSK special cases of DSBSC
Probability of Bit Error in ASK/PSK------------------------------------------Next slide
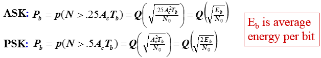
Noise in ASK/PSK


Eb is average energy per bit
Probability of Bit Error in ASK/PSK------------------------------------------Next slide
Course Summary
•Communication System Block Diagram
•Fourier Series and Transforms
•Sampling
•Power Spectral Density and Autocorrelation
•Random Signals and White Noise
•AM Modulation
•FM Modulation
•Digital Modulation
Probability of Bit Error in ASK/PSK------------------------------------------Next slide
Communication System Block Diagram
Source encoder converts message into a message signal or bits. Source decoder converts back to original format.
Transmitter converts message signal or bits into a transmitted signal at some carrier frequency.
Modulation, may also include SS, OFDM, precoding.
Channel introduces distortion, noise, and interference.
Receiver converts back to message signal or bits.
Demodulation (for SS and OFDM too), may also include equalization.
Probability of Bit Error in ASK/PSK------------------------------------------Next slide
Main Focus of This Class
Modulation encodes message or bits into the amplitude, phase, or frequency of carrier signal.
Channel filters signal and introduces noise
Demodulator recovers information from carrier
Need tools for manipulating and filtering signals and noise
Probability of Bit Error in ASK/PSK------------------------------------------Next slide
Fourier Series
Exponentials are basis functions for periodic signals
Can represent periodic signal in terms of FS coefficients
Complex coefficients are frequency components of signal
Probability of Bit Error in ASK/PSK------------------------------------------Next slide
Fourier Transform
Represents spectral components of a signal
Signal uniquely represented in time or frequency domain
These coefficients are frequency components of signal

Timelimited signals have infinite frequency content Bandlimited signals are infinite duration
Probability of Bit Error in ASK/PSK------------------------------------------Next slide
Key Properties of FTs
Frequency shifting (modulation)
- Multiplying signal by cosine shifts it by fc in frequency.
Multiplication in time ⇔ Convolution in Frequency
Convolution in time ⇔Multiplication in Frequency
Probability of Bit Error in ASK/PSK------------------------------------------Next slide
Filtering
Convolution defines output of LTI filters
Convolution (time) ⇔ Multiplication (freq.)
Easier to analyze filters in frequency domain
Filters characterized by time or freq. response
Exponentials are eigenfunctions of LTI filters
Probability of Bit Error in ASK/PSK------------------------------------------Next slide
Sampling
Sampling (Time):

Sampling (Frequency)

Probability of Bit Error in ASK/PSK------------------------------------------Next slide
Nyquist Sampling Theorem
A bandlimited signal [-B,B] is completely described by samples every .5/B secs.
- Nyquist rate is 2B samples/sec
Recreate signal from its samples by using a low pass filter in the frequency domain
- Sinc interpolation in time domain
- Undersampling creates aliasing

Probability of Bit Error in ASK/PSK------------------------------------------Next slide
Power Spectral Density
Distribution of signal power over frequency

PSD/autocorrelation FT pairs: Rx(t) ⇔ Sx(f)
Useful for filter and modulation analysis

Probability of Bit Error in ASK/PSK------------------------------------------Next slide
Random Signals
Not deterministic (no Fourier transform)
Signal contained in some set of possible realizations
Characterize by average PSD Sn(f)
Autocorrelation Rn(t)⇔ Sn(f) is the correlation of the random signal after time τ.
Measures how fast random signal changes
Probability of Bit Error in ASK/PSK------------------------------------------Next slide
Filtering and Modulation
Same PSD effect as for deterministic signals
Filtering

Modulation (no bandwidth constraint on Sn)

Probability of Bit Error in ASK/PSK------------------------------------------Next slide
White Noise

Signal changes very fast
Uncorrelated after infinitesimally small delay
Good approximation in practice
Filtering white noise: introduces correlation

Probability of Bit Error in ASK/PSK------------------------------------------Next slide
Amplitude Modulation

Constant added to signal m(t)
- Simplifies demodulation if 1>|kam(t)|
- Constant is wasteful of power
Modulated signal has twice the BW of m(t)
Simple modulators use nonlinear devices
Probability of Bit Error in ASK/PSK------------------------------------------Next slide
Double Sideband Suppressed Carrier (DSBSC)
Modulated signal is s(t)=Accos(2πfct)m(t)
Generated by a product or ring modulator
Requires coherent detection (φ2»φ1)

Probability of Bit Error in ASK/PSK------------------------------------------Next slide
Noise in DSBSC Receivers


Probability of Bit Error in ASK/PSK------------------------------------------Next slide
Single Sideband
Transmits upper or lower sideband of DSBSC

Reduces bandwidth by factor of 2
Uses same demodulator as DSBSC
Coherent detection required.
Probability of Bit Error in ASK/PSK------------------------------------------Next slide
FM Modulation

Probability of Bit Error in ASK/PSK------------------------------------------Next slide
FM Bandwidth and Carson’s Rule

Probability of Bit Error in ASK/PSK------------------------------------------Next slide
Generating FM Signals
NBFM
- Circuit based on product modulator
WBFM
- Direct Method: Modulate a VCO with m(t)
- Indirect Method: Use a NBFM modulator, followed by a nonlinear device and BPF
Probability of Bit Error in ASK/PSK------------------------------------------Next slide
FM Generation and Detection
Differentiator/Discriminator and Env. Detector

Zero Crossing Detector
- Uses rate of zero crossings to estimate fi
Phase Lock Loop (PLL)
- Uses VCO and feedback to extract m(t)
Probability of Bit Error in ASK/PSK------------------------------------------Next slide
ASK, PSK, and FSK
Probability of Bit Error in ASK/PSK------------------------------------------Next slide
ASK/PSK Demodulation



Probability of Bit Error in ASK/PSK------------------------------------------Next slide
FSK Demodulation (HW 7)


Probability of Bit Error in ASK/PSK------------------------------------------Next slide
Megathemes in EE104
Fourier analysis simplifies the study of communication systems
Modulation encodes information in phase, frequency, or amplitude of carrier
Noise and distortion introduced by the channel makes it difficult to recover signal
The communication system designer must design clever techniques to compensate for channel impairments or make signal robust to these impairments.
Ultimate goal is to get high data rates with good quality and low cost.
Probability of Bit Error in ASK/PSK------------------------------------------Next slide
Hot Topics in Communications
All-optical networks
Components (routers, switches) hard to build
Need very good lasers
Communication schemes very basic
Evolving to more sophisticated techniques
Advanced Radios
Adaptive techniques for multimedia
Direct conversion radios
Software radios
Low Power (last years on a battery)
Ultra wideband
Wireless Communications
Probability of Bit Error in ASK/PSK------------------------------------------Next slide
Future Wireless Systems
