Class 11 Exam  >  Class 11 Notes  >  Circles - Conic Sections, Class 11, Mathematics

Circles - Conic Sections, Class 11, Mathematics PDF Download

Circles

A. (1) Definition

A circle is the locus of a point which moves in a plane in such a way that its distance from a fixed point remains constant. The fixed point is called the centre of the circle and the constant distance is called the radius of the circle.

(2) basic theorems and results of circles

Circles - Conic Sections, Class 11, Mathematics

(a) Concentric circles : Circles having same centre.

(b) Congruent circles : Iff their radii are equal.

(c) Congruent arcs : Iff they have same degree measure at the centre.

 

Theorem 1 :

(i) If two arcs of a circle (or of congruent circles) are congruent, the corresponding chords are equal.

Converse : If two chords of a circle are equal then their corresponding arcs are congruent.

(ii) Equal chords of a circle (or of congruent circles) subtend equal angles at the centre.

Converse : If the angle subtended by two chords of a circle (or of congruent circle) at the centre are equal, the chords are equal.

 

Theorem 2 :

(i) The perpendicular from the centre of a circle to a chord bisects the chord.

Converse : The line joining the mid point of a chord to the centre of a circle is perpendicular to the chord.

(ii) Perpendicular bisectors of two chords of a circle intersect at tis centre.

 

Theorem 3 :

(i) There is one and only one circle passing through three non collinear points.

(ii) If two circles intersects in two points, then the line joining the centres is perpendicular bisector of common chords.

 

Theorem 4 :

(i) Equal chords of a circle (or of congruent circles) are equidistant from the centre.

Converse : Chords of a circle (or of congruent circles) which are equidistant from the centre are equal.

(ii) If two equal chords are drawn from a point on the circle, then the centre of circle will lie on angle bisector of these two chords.

(iii) Of any two chords of a circle larger will be near to centre.

 

Circles - Conic Sections, Class 11, Mathematics

 

Theorem 6 :

An angle subtended by a minor arc in the alternate segment is acute and any angle subtended by a major arc in the alternate segment is obtuse.

 

Theorem 7 :

If a line segment joining two points subtends equal angles at two other points lying on the same side of the line segment, the four points are concyclic, i.e. lie on the same circle.

 

(d) Cyclic Quadrilaterals : A quadrilateral is called a cyclic quadrilateral if its all vertices lie on a circle.

 

Theorem 1 :

The sum of either pair of opposite angles of a cyclic quadrilateral is 180º.

OR

The opposite angles of a cyclic quadrilateral are supplementary.

Converse : If the sum of any pair of opposite angle of a quadrilateral is 180º, then the quadrilateral is cyclic.

 

Theorem 2 :

If a side of a cyclic quadrilateral is produced, then the exterior angle is equal to the interior opposite angle.

 

Theorem 3 :

The quadrilateral formed by angle bisectors of a cyclic quadrilateral is also cyclic.

Circles - Conic Sections, Class 11, Mathematics

 

Theorem 4 :

If two sides of cyclic quadrilateral are parallel then the remaining two sides are equal and the diagonals are also equal.

OR

A cyclic trapezium is isosceles and its diagonals are equal.

Converse : If two non-parallel sides of a trapezium are equal then it is cyclic.

OR

An isosceles trapezium is always cyclic,

 

Theorem 5 :

The bisectors of the angles formed by producing the opposite sides of a cyclic quadrilateral (provided they are not parallel), intersect at right angle.

 

(3) tangents to a circle

Theorem 1 :

A tangent to a circle is perpendicular to the radius through the point of contact.

Converse : A line drawn through the end point of a radius and perpendicular to it is a tangent to the circle.

 

Theorem 2 :

Circles - Conic Sections, Class 11, Mathematics

If two tangents are drawn to a circle from an external point, then :

(i) they are equal

(ii) the subtend equal angles at the centre,

(iii) they are equally inclined to the segment, joining the centre to that point.

 

Theorem 3 :

Circles - Conic Sections, Class 11, Mathematics

If two chords of a circle intersect inside or outside the circle when produced, the rectangle formed by the segments of one chord is equal in area to the rectangle formed by the two segments of the other chord

PA × PB = PC × PD

 

Theorem 4 :

Circles - Conic Sections, Class 11, Mathematics

If PAB is a secant to a circle intersecting the circle at A and B and PT is tangent segment, the PA × PB = PT2

OR

Area of the rectangle formed by the two segments of a chord is equal to the area of the square of side equal to the length of the tangent from the point on the circle.

 

Theorem 5 :

Circles - Conic Sections, Class 11, Mathematics

If a chord is drawn through the point of contact of tangent to a circle, then the angles which this chord makes with the given tangent are equal respectively to the angles formed in the corresponding alternate segments.

Circles - Conic Sections, Class 11, Mathematics

Converse :

If a line is drawn through an end point of a chord of a circle so that the angle formed with the chord is equal to the angle subtended by the chord in the alternate segment, then the line is a tangent to the circle.

 

B. Standard equations of the circle

(a) Central Form :

If (h, k) is the centre and r is the radius of the circle then its equation is (x - h)2 + (y - k)2 = r2

Special Cases :

(i) If centre is origin (0, 0) and radius is `r' then equation of circle is x2 + y2 = r2 and this is called the standard form.

 

(ii) If radius of circle is zero then equation of circle is (x - h)2 + (y - k)2 = 0.

Such circle is called zero circle or point circle.

 

(iii) When circle touches x-axis then equation of the circle is

(x - h)2 + (y - k)2 = k2.

or x2 + y2 - 2hx - 2ky + h2 = 0

Circles - Conic Sections, Class 11, Mathematics

 

(iv) When circle touches y-axis then equation of the circle is

(x - h)2 + (y - k)2 = h2

or x2 + y2 - 2hx - 2ky + k2 = 0

Circles - Conic Sections, Class 11, Mathematics

 

(v) When circle touches both the axes (x-axis and y-axis) then equation of the circle is

(x - h)2 + (y - h)2 = h2

or x2 + y2 - 2hx - 2hy + h2 = 0

Circles - Conic Sections, Class 11, Mathematics

 

(vi) When circle passes through the origin and centre of the circle is (h, k) then radius CBSE, Class 11, IIT JEE, Syllabus, Preparation, NCERT, Important, circles = r and intercept cut on x-axis OP = 2h, and intercept cut on y-axis is OQ = 2k and equation of circle is

(x - h)2 + (y - k)2 = h2 + k2 or x2 + y2 - 2hx - 2hy = 0

Circles - Conic Sections, Class 11, Mathematics

 

Note : Circle may exist in any quadrant hence for general cases use ± sign before h and k.

(b) General equation of circle :

x2 + y2 + 2gx + 2fy + c = 0. where g, f, c are constants and centre is (-g, -f)

i.e. CBSE, Class 11, IIT JEE, Syllabus, Preparation, NCERT, Important, circles and radius r = CBSE, Class 11, IIT JEE, Syllabus, Preparation, NCERT, Important, circles

 

Notes :

(i) If (g2 + f2 - c) > 0, then r is real and positive and the circle is a real circle.

(ii) If (g2 + f2 - c) = 0, then radius r = 0 and circle is a point circle.

(iii) If (g2 + f2 - c) < 0, then r is imaginary then circle is also an imaginary circle with real centre.

(iv) x2 + y2 + 2gx + 2fy + c = 0, has three constants and to get the equation of the circle at least three conditions should be known ⇒ A unique circle passes through three non collinear points.

 

(v) The general quadratic equation in x and y, ax2 + by2 + 2hxy + 2gx + 2fy + c = 0

represents a circle if :

Circles - Conic Sections, Class 11, Mathematics

 

(c) Intercepts cut by the circle on axes :

The intercepts cut by the circle x2 + y2 + 2gx + 2fy + c = 0 on :

(i) x-axis = CBSE, Class 11, IIT JEE, Syllabus, Preparation, NCERT, Important, circles

(ii) y-axis = CBSE, Class 11, IIT JEE, Syllabus, Preparation, NCERT, Important, circles

Notes :

(i) If the circle cuts the x-axis at two distinct point then g2 - c > 0

(ii) If circle touches x-axis then g2 = c.

(iii) If circle touches y-axis f2 = c.

(iv) Circle lies completely above or below the x-axis then g2 < c.

(v) Intercept cut by a line on the circle x2 + y2 + 2gx + 2fy + c = 0 or length of chord of the circle = CBSE, Class 11, IIT JEE, Syllabus, Preparation, NCERT, Important, circles where a is the radius and P is the length of perpendicular from the centre to the chord.

Circles - Conic Sections, Class 11, Mathematics

 

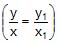
(d) Diametrical form of circle :

Circles - Conic Sections, Class 11, Mathematics

If A(x1, y1) and B(x2, y2) are the end points of the diameter of the circle and P(x, y) is the point other then A and B on the circle then from geometry we know that Circles - Conic Sections, Class 11, Mathematics = 90º.

⇒ (Slope of PA) × (Slope of PB) = -1

CBSE, Class 11, IIT JEE, Syllabus, Preparation, NCERT, Important, circles

⇒ (x - x1) (x - x2) + (y - y1) (y - y2) = 0

Note : This will be the circle of least radius passing through (x1, y1) and (x2 , y2)

 

(e) The parametric forms of the circle :

(i) The parametric equation of the circle x2 + y2 = r2 are x = r cosθ, y = r sinθ; Circles - Conic Sections, Class 11, Mathematics

(ii) The parametric equation of the circle (x - h)2 + (y - k)2 = r2 is

x = h + r cosθ, y = k + r sinθ where θ is parameter.

(iii) The parametric equation of the circle x2 + y2 + 2gx + 2fy + c = 0 are x = - g + CBSE, Class 11, IIT JEE, Syllabus, Preparation, NCERT, Important, circles cosθ

y = - f + CBSE, Class 11, IIT JEE, Syllabus, Preparation, NCERT, Important, circles sinθ where θ is parameter.

Note that equation of a straight line joining two point Circles - Conic Sections, Class 11, Mathematics on the circle x2 + y2 = a2 is

x cos CBSE, Class 11, IIT JEE, Syllabus, Preparation, NCERT, Important, circles.

 

Ex.1 Find the centre and the radius of the circles

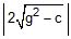
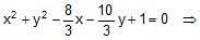
(A) CBSE, Class 11, IIT JEE, Syllabus, Preparation, NCERT, Important, circles

(B) CBSE, Class 11, IIT JEE, Syllabus, Preparation, NCERT, Important, circles

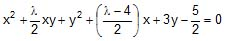
(C) CBSE, Class 11, IIT JEE, Syllabus, Preparation, NCERT, Important, circles, for some l.

 

Sol. (A) We rewrite the given equation as CBSE, Class 11, IIT JEE, Syllabus, Preparation, NCERT, Important, circles CBSE, Class 11, IIT JEE, Syllabus, Preparation, NCERT, Important, circles

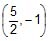
Hence the centre is CBSE, Class 11, IIT JEE, Syllabus, Preparation, NCERT, Important, circles and the radius is CBSE, Class 11, IIT JEE, Syllabus, Preparation, NCERT, Important, circles

 

(B) CBSE, Class 11, IIT JEE, Syllabus, Preparation, NCERT, Important, circles

Centre of this circle is CBSE, Class 11, IIT JEE, Syllabus, Preparation, NCERT, Important, circles. Radius CBSE, Class 11, IIT JEE, Syllabus, Preparation, NCERT, Important, circles

 

(C) CBSE, Class 11, IIT JEE, Syllabus, Preparation, NCERT, Important, circles

We rewrite the equation as CBSE, Class 11, IIT JEE, Syllabus, Preparation, NCERT, Important, circles ...(i)

Since, there is no term of xy in the equation of circle CBSE, Class 11, IIT JEE, Syllabus, Preparation, NCERT, Important, circles

So, equation (i) reduces to CBSE, Class 11, IIT JEE, Syllabus, Preparation, NCERT, Important, circles CBSE, Class 11, IIT JEE, Syllabus, Preparation, NCERT, Important, circles centre is CBSE, Class 11, IIT JEE, Syllabus, Preparation, NCERT, Important, circles & RadiusCBSE, Class 11, IIT JEE, Syllabus, Preparation, NCERT, Important, circles

 

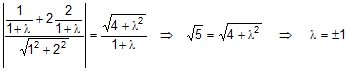
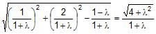
Ex.2 If the lines CBSE, Class 11, IIT JEE, Syllabus, Preparation, NCERT, Important, circles and CBSE, Class 11, IIT JEE, Syllabus, Preparation, NCERT, Important, circles are tangents to a circle, then the radius of the circle is

 

Sol. The diameter of the circle is perpendicular distance between the parallel lines (tangents) CBSE, Class 11, IIT JEE, Syllabus, Preparation, NCERT, Important, circles and CBSE, Class 11, IIT JEE, Syllabus, Preparation, NCERT, Important, circles and so it is equal to CBSE, Class 11, IIT JEE, Syllabus, Preparation, NCERT, Important, circles. Hence radius is CBSE, Class 11, IIT JEE, Syllabus, Preparation, NCERT, Important, circles.

 

Ex.3 If y = 2x + m is a diameter to the circle CBSE, Class 11, IIT JEE, Syllabus, Preparation, NCERT, Important, circles, then find m

 

Sol. Centre of circle = (-3/2, - 2). This lies on diameter y = 2x + m CBSE, Class 11, IIT JEE, Syllabus, Preparation, NCERT, Important, circles

 

Ex.4 The equation of a circle which passes through the point (1, - 2) and (4, -3) and whose centre lies on the lies 3x + 4y = 7 is

 

Sol. Let the circle be CBSE, Class 11, IIT JEE, Syllabus, Preparation, NCERT, Important, circles             ...(i)

Hence, substituting the points, (1, - 2) and (4, -3) in equation (i)

CBSE, Class 11, IIT JEE, Syllabus, Preparation, NCERT, Important, circles                              ...(ii)

CBSE, Class 11, IIT JEE, Syllabus, Preparation, NCERT, Important, circles                           ...(iii)

= centre (-g, -f) lies on line CBSE, Class 11, IIT JEE, Syllabus, Preparation, NCERT, Important, circles. Hence CBSE, Class 11, IIT JEE, Syllabus, Preparation, NCERT, Important, circles

solving for g, f, c, we get CBSE, Class 11, IIT JEE, Syllabus, Preparation, NCERT, Important, circles

Hence the equation is CBSE, Class 11, IIT JEE, Syllabus, Preparation, NCERT, Important, circles

 

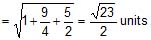
Ex.5 A circle has radius equal to 3 units and its centre lies on the line y = x - 1. Find the equation of the circle if it passes through (7, 3).

 

Sol. Let the centre of the circle be Circles - Conic Sections, Class 11, Mathematics It lies on the line y = x - 1

CBSE, Class 11, IIT JEE, Syllabus, Preparation, NCERT, Important, circles. Hence the centre is CBSE, Class 11, IIT JEE, Syllabus, Preparation, NCERT, Important, circles.

CBSE, Class 11, IIT JEE, Syllabus, Preparation, NCERT, Important, circles The equation of the circle is CBSE, Class 11, IIT JEE, Syllabus, Preparation, NCERT, Important, circles

It passes through (7, 3)               CBSE, Class 11, IIT JEE, Syllabus, Preparation, NCERT, Important, circles            CBSE, Class 11, IIT JEE, Syllabus, Preparation, NCERT, Important, circles

CBSE, Class 11, IIT JEE, Syllabus, Preparation, NCERT, Important, circles                CBSE, Class 11, IIT JEE, Syllabus, Preparation, NCERT, Important, circles                    CBSE, Class 11, IIT JEE, Syllabus, Preparation, NCERT, Important, circles

Hence the required equations are CBSE, Class 11, IIT JEE, Syllabus, Preparation, NCERT, Important, circles and CBSE, Class 11, IIT JEE, Syllabus, Preparation, NCERT, Important, circles

 

C. POSITION OF A POINT W.R.T. CIRCLE

(a) Let the circle is CBSE, Class 11, IIT JEE, Syllabus, Preparation, NCERT, Important, circles and the point is (x1, y1) then point (x1, y1) lies out side the circle or on the circle or inside the circle according as

CBSE, Class 11, IIT JEE, Syllabus, Preparation, NCERT, Important, circles or CBSE, Class 11, IIT JEE, Syllabus, Preparation, NCERT, Important, circles                  CBSE, Class 11, IIT JEE, Syllabus, Preparation, NCERT, Important, circles

(b) The greatest & the least distance of a point A from a circle with centre C & radius r is
AC + r & AC - r respectively.

 

Ex.6 If P(2, 8) is an interior point of a circle x2 + y2 - 2x + 4y - p = 0 which neither touches nor intersects the axes, then set for p is

 

Sol. For internal point P(2, 8), 4 + 64 - 4 + 32 - p < 0 ⇒ p > 96 and x intercept CBSE, Class 11, IIT JEE, Syllabus, Preparation, NCERT, Important, circles therefore 1+p<0

CBSE, Class 11, IIT JEE, Syllabus, Preparation, NCERT, Important, circles and y intercept CBSE, Class 11, IIT JEE, Syllabus, Preparation, NCERT, Important, circles

 

D. TANGENT LINE OF CIRCLE

When a straight line meet a circle on two coincident points then it is called the tangent of the circle.

(a) Condition of Tangency :

The line L = 0 touches the circle S = 0 if P the length of the perpendicular from the centre to that line and radius of the circle r are equal i.e. P = r.

Circles - Conic Sections, Class 11, Mathematics

 

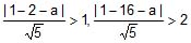
Ex.7 Find the range of parameter `a' for which the variable line y = 2x + a lies between the circle

x2 + y2 - 2x - 2y + 1 = 0 and x2 + y2 - 16x - 2y + 61 = 0 without intersecting or touching either circle.


Sol. The given circles are CBSE, Class 11, IIT JEE, Syllabus, Preparation, NCERT, Important, circles and CBSE, Class 11, IIT JEE, Syllabus, Preparation, NCERT, Important, circles

The line CBSE, Class 11, IIT JEE, Syllabus, Preparation, NCERT, Important, circles will lie between these circle if centre of the circles lie on opposite sides of the line, i.e. CBSE, Class 11, IIT JEE, Syllabus, Preparation, NCERT, Important, circles

Line wouldn't touch or intersect the circles if, CBSE, Class 11, IIT JEE, Syllabus, Preparation, NCERT, Important, circles

CBSE, Class 11, IIT JEE, Syllabus, Preparation, NCERT, Important, circles CBSE, Class 11, IIT JEE, Syllabus, Preparation, NCERT, Important, circles or CBSE, Class 11, IIT JEE, Syllabus, Preparation, NCERT, Important, circles or CBSE, Class 11, IIT JEE, Syllabus, Preparation, NCERT, Important, circles

Hence common values of `a' are CBSE, Class 11, IIT JEE, Syllabus, Preparation, NCERT, Important, circles.

 

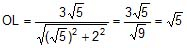
Ex.8 The equation of a circle whose centre is (3, -1) and which cuts off a chord of length 6 on the line

2x - 5y + 18 = 0.


Sol.

Circles - Conic Sections, Class 11, Mathematics

Let AB(= 6) be the chord intercepted by the line 2x - 5y + 18 = 0 from the circle and let CD be the perpendicular drawn from centre (3, - 1) to the chord AB.

i.e., CBSE, Class 11, IIT JEE, Syllabus, Preparation, NCERT, Important, circles

Therefore, CBSE, Class 11, IIT JEE, Syllabus, Preparation, NCERT, Important, circles. Hence required equation is CBSE, Class 11, IIT JEE, Syllabus, Preparation, NCERT, Important, circles

 

Ex.9 The area of the triangle formed by line joining the origin to the points of intersection(s) of the line CBSE, Class 11, IIT JEE, Syllabus, Preparation, NCERT, Important, circles and circle x2 + y2 = 10 is

 

Sol.

Circles - Conic Sections, Class 11, Mathematics

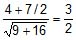
Length of perpendicular from origin to the line CBSE, Class 11, IIT JEE, Syllabus, Preparation, NCERT, Important, circles is

CBSE, Class 11, IIT JEE, Syllabus, Preparation, NCERT, Important, circles

Radius of the given circle CBSE, Class 11, IIT JEE, Syllabus, Preparation, NCERT, Important, circles

CBSE, Class 11, IIT JEE, Syllabus, Preparation, NCERT, Important, circles. Thus area of CBSE, Class 11, IIT JEE, Syllabus, Preparation, NCERT, Important, circles

 

(b) Equation of the tangent (T = 0) :

(i) Tangent at the point (x1, y1) on the circle CBSE, Class 11, IIT JEE, Syllabus, Preparation, NCERT, Important, circles is CBSE, Class 11, IIT JEE, Syllabus, Preparation, NCERT, Important, circles.

(ii) (1) The tangent at the point (acos t, asin t) on the circle CBSE, Class 11, IIT JEE, Syllabus, Preparation, NCERT, Important, circles is CBSE, Class 11, IIT JEE, Syllabus, Preparation, NCERT, Important, circles

(2) The point of intersection of the tangents at the points CBSE, Class 11, IIT JEE, Syllabus, Preparation, NCERT, Important, circles and CBSE, Class 11, IIT JEE, Syllabus, Preparation, NCERT, Important, circles is CBSE, Class 11, IIT JEE, Syllabus, Preparation, NCERT, Important, circles

(iii) The equation of tangent at the point (x1, y1) on the circle CBSE, Class 11, IIT JEE, Syllabus, Preparation, NCERT, Important, circles is

CBSE, Class 11, IIT JEE, Syllabus, Preparation, NCERT, Important, circles

(iv) If line y = mx + c is a straight line touching the circle CBSE, Class 11, IIT JEE, Syllabus, Preparation, NCERT, Important, circles, then CBSE, Class 11, IIT JEE, Syllabus, Preparation, NCERT, Important, circles and contact points are CBSE, Class 11, IIT JEE, Syllabus, Preparation, NCERT, Important, circles or CBSE, Class 11, IIT JEE, Syllabus, Preparation, NCERT, Important, circles and equation of tangent is CBSE, Class 11, IIT JEE, Syllabus, Preparation, NCERT, Important, circles

(v) The equation of tangent with slope m of the circle CBSE, Class 11, IIT JEE, Syllabus, Preparation, NCERT, Important, circles is

CBSE, Class 11, IIT JEE, Syllabus, Preparation, NCERT, Important, circles

 

Note : To get the equation of tangent at the point (x1, y1) on any curve we replace xx1 in place of x2, yy1 in place of CBSE, Class 11, IIT JEE, Syllabus, Preparation, NCERT, Important, circles in place of CBSE, Class 11, IIT JEE, Syllabus, Preparation, NCERT, Important, circles in place of y, CBSE, Class 11, IIT JEE, Syllabus, Preparation, NCERT, Important, circles in place of xy and c in place of c.

 

(c) Length of tangent CBSE, Class 11, IIT JEE, Syllabus, Preparation, NCERT, Important, circles :

The length of tangent draw from point (x1, y1) out side the circle

Circles - Conic Sections, Class 11, Mathematics

CBSE, Class 11, IIT JEE, Syllabus, Preparation, NCERT, Important, circles is,

CBSE, Class 11, IIT JEE, Syllabus, Preparation, NCERT, Important, circles

Note : When we use this formula the coefficient of x2 and y2 must be 1.

 

(d) Equation of Pair to tangents (SS1 = T2) :

Let the equation of circle CBSE, Class 11, IIT JEE, Syllabus, Preparation, NCERT, Important, circles and CBSE, Class 11, IIT JEE, Syllabus, Preparation, NCERT, Important, circles is any point outside the circle.

Circles - Conic Sections, Class 11, Mathematics

From the point we can draw two real and distinct tangent PQ & PR and combine equation of pair of

tangents is CBSE, Class 11, IIT JEE, Syllabus, Preparation, NCERT, Important, circles or CBSE, Class 11, IIT JEE, Syllabus, Preparation, NCERT, Important, circles

 

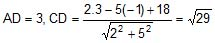
Ex.10 Let A be the centre of the circle x2 + y2 - 2x - 4y - 20 = 0 and B(1, 7) and D(4, -2) are points on the circle then, if tangents be drawn at B and D, which meet at C, then area of quadrilateral ABCD is

 

Sol.

Circles - Conic Sections, Class 11, Mathematics

CBSE, Class 11, IIT JEE, Syllabus, Preparation, NCERT, Important, circles or y = 7             ...(i)

Tangent at CBSE, Class 11, IIT JEE, Syllabus, Preparation, NCERT, Important, circles is CBSE, Class 11, IIT JEE, Syllabus, Preparation, NCERT, Important, circles                    ...(ii)

Solving (i) and (ii), C is (16, 7)

Area ABCD = AB × BC = 5 × 15 = 75 units.

 

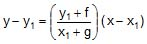
E. NORMAL OF CIRCLE

Normal at a point of the circle is the straight line which is perpendicular to the tangent at the point of contact and passes through the centre of circle.

(a) Equation of normal at point (x1, y1) or circle CBSE, Class 11, IIT JEE, Syllabus, Preparation, NCERT, Important, circles is

Circles - Conic Sections, Class 11, Mathematics

CBSE, Class 11, IIT JEE, Syllabus, Preparation, NCERT, Important, circles

(b) The equation of normal on any point (x1, y1) of circle CBSE, Class 11, IIT JEE, Syllabus, Preparation, NCERT, Important, circles is CBSE, Class 11, IIT JEE, Syllabus, Preparation, NCERT, Important, circles

(c) If CBSE, Class 11, IIT JEE, Syllabus, Preparation, NCERT, Important, circles is the equation of the circle then at any point `t' of this circle (a cos t, a sin t), the equation of normal is x sin t - y cos t = 0.

 

Ex.11 Find the equation of the normal to the circle x2 + y2 - 5x + 2y - 48 = 0 at the point (5, 6).

 

Sol. Since normal to the circle always passes through the centre so equation of the normal will be the line passing through (5, 6) & CBSE, Class 11, IIT JEE, Syllabus, Preparation, NCERT, Important, circles i.e. y + 1 = CBSE, Class 11, IIT JEE, Syllabus, Preparation, NCERT, Important, circlesCBSE, Class 11, IIT JEE, Syllabus, Preparation, NCERT, Important, circles

⇒ 5y + 5 = 14x - 35

⇒ 14x - 5y - 40 = 0

 

Ex.12 If the straight line ax + by = 2; a, Circles - Conic Sections, Class 11, Mathematics touches the circle x2 + y2 - 2x = 3 and is normal to the circle x2 + y2 - 4y = 6, then the values of a and b are respectively

 

Sol. Given x2 + y2 - 2x = 3 Circles - Conic Sections, Class 11, Mathematics centre is (1, 0) and radius is 2 and x2 + y2 - 4y = 6

Given x2 + y2 - 4y = 6

Circles - Conic Sections, Class 11, Mathematics centre is (0, 2) and radius is CBSE, Class 11, IIT JEE, Syllabus, Preparation, NCERT, Important, circles. Since line ax + by = 2 touches the first circle

Circles - Conic Sections, Class 11, Mathematics CBSE, Class 11, IIT JEE, Syllabus, Preparation, NCERT, Important, circles = 2 or (a - 2) = CBSE, Class 11, IIT JEE, Syllabus, Preparation, NCERT, Important, circles .............(i)

Also the given line is normal to the second circle. Hence it will pass through the centre of the second circle.

Circles - Conic Sections, Class 11, Mathematics a(0) + b(B) = 2 or 2b = 2 or b = 1

Putting this value in equation (i) we get a - 2 = or (a - 2)2 = 4(a2 + 1)

or a2 + 4 - 4a = 4a2 + 4      or         3a2 + 4a = 0    or          a(3a + 4) = 0        or        a = 0, -CBSE, Class 11, IIT JEE, Syllabus, Preparation, NCERT, Important, circles

Circles - Conic Sections, Class 11, Mathematics values of a and b are respectively according to the given choices.

 

F. Power of the point

Circles - Conic Sections, Class 11, Mathematics

square of the length of the tangent from the point P is defined as

power of the point `p' w.r. to given circle ⇒ PT2 = S1

Note :- Power of a point remains constant w.r. to a circle PA.PB = PT2

 

G. chord of contact

Circles - Conic Sections, Class 11, Mathematics

A line joining the two points of contacts of two tangents drawn from a point out side the circle, is called chord of contact of that point.

If two tangents PT1 & PT2 are drawn from the point P(x1, y1) to the circle Circles - Conic Sections, Class 11, Mathematics x2 + y2 + 2gx + 2fy + c = 0, then the equation of the chord of contact T1T2 is : xx1 + yy1 + g (x + x1) + f (y + y1) + c = 0

(i.e. T = 0 same as equation of tangent).

 

Remember :

(a) Length of chord of contact T1 T2 = Circles - Conic Sections, Class 11, Mathematics.

(b) Area of the triangle formed by the pair of the tangents & its chord of contact = CBSE, Class 11, IIT JEE, Syllabus, Preparation, NCERT, Important, circles Where R is the radius of the circle & L is the length of the tangent from (x1, y1) on S = 0.

(c) Angle between the pair of tangents from P(x1, y1) = tan-1 CBSE, Class 11, IIT JEE, Syllabus, Preparation, NCERT, Important, circles

(d) Equation of the circle circumscribing the triangle PT1T2 or quadrilateral CT1PT2 is :

(x - x1) (x + g) + (y - y1) (y + f) = 0.

(e) The joint equation of a pair of tangents drawn from the point A (x1, y1) to the circle

x2 + y2 + 2gx + 2fy + c = 0 is : SS1 = T2.

Where Circles - Conic Sections, Class 11, Mathematics

Circles - Conic Sections, Class 11, Mathematics'

Circles - Conic Sections, Class 11, Mathematics

 

Ex.13 The chord of contact of tangents drawn from a point on the circle x2 + y2 = a2 to the circle x2 + y2 = b2 touches the circle x2 + y2 = c2. Show that a, b, c are in G.P.

 

Sol.

Circles - Conic Sections, Class 11, Mathematics

Let P(a cosθ, a sinθ) be a point on the circle x2 + y2 = a2.

The equation of chord of contact of tangents drawn from

P(a cosθ, asinθ) to the circle x2 + y2 = b2 is axcosθ + aysinθ = b2 .....(i)

This touches the circle x2 + y2 = c2                                             .....(ii)

Circles - Conic Sections, Class 11, Mathematics Length of perpendicular from (0, 0) to (i) = radius of (ii)

Circles - Conic Sections, Class 11, Mathematics CBSE, Class 11, IIT JEE, Syllabus, Preparation, NCERT, Important, circles = c      or          b2 = ac       ⇒        a, b, c are in G.P.

 

H. equation of the chord with a given middle point (t = s1)

The equation of the chord of the circle Circles - Conic Sections, Class 11, Mathematics+ y2 + 2gx + 2fy + c = 0 in terms of its mid point M(x1, y1) is

y - y1 = - CBSE, Class 11, IIT JEE, Syllabus, Preparation, NCERT, Important, circles(x - x1). This on simplification can be put in the form

xx1 + yy1 + g (x + x1) + f (y + y1) + c = x12 + y12 + 2gx1 + 2fy1 + c which is designated by T = S1.

Note that : The shortest chord of a circle passing through a point `M' inside the circle, is one chord whose middle point is M.

 

Ex.14 Let a circle be given by 2x(x - a) + y(2y - b) = 0 Circles - Conic Sections, Class 11, Mathematics Find the condition on a and b if two chords, each bisected by the x-axis, can be drawn to the circle from (a, b/2).

 

Sol. The given circle is 2x(x - a) + y(2y - b) = 0       or           x2 + y2 - ax - by/2 = 0

Let AB be the chord which is bisected by x-axis at a point M. Let its co-ordinates be M(h, 0).

and Circles - Conic Sections, Class 11, Mathematics             Circles - Conic Sections, Class 11, Mathematics         Equation of chord AB is T = S1

hx + 0 - CBSE, Class 11, IIT JEE, Syllabus, Preparation, NCERT, Important, circles(x + h) - CBSE, Class 11, IIT JEE, Syllabus, Preparation, NCERT, Important, circles(y + 0) = h2 + 0 - ah - 0

Since its passes through (a, b/2) we have Circles - Conic Sections, Class 11, Mathematics

Now there are two chords bisected by the x-axis, so there must be two distinct real roots of h.

Circles - Conic Sections, Class 11, Mathematics       B2 - 4AC > 0            ⇒          CBSE, Class 11, IIT JEE, Syllabus, Preparation, NCERT, Important, circles - 4.1.CBSE, Class 11, IIT JEE, Syllabus, Preparation, NCERT, Important, circles > 0        ⇒       a2 > 2b2.

 

I. director circle

The locus of point of intersection of two perpendicular tangents to a circle is called director circle. Let P(h, k) is the point of intersection of two tangents drawn on the circle x2 + y2 = a2. Then the equation of the pair of tangents is SS1 = T2.            i.e.                (x2 + y2 - a2) (h2 + k2 - a2) = (hx + ky - a2)2

As lines are perpendicular to each then, coefficient of x2 + coefficient of y2 = 0.

⇒ [(h2 + k2 - a2) - h2] + [(h2 + k2 - a2) - k2] = 0                     ⇒ h2 + k2 = 2a2

Circles - Conic Sections, Class 11, Mathematics locus of (h, k) is x2 + y2 = 2a2 which is the equation of the director circle.

Circles - Conic Sections, Class 11, Mathematics director circle is a concentric circle whose radius is CBSE, Class 11, IIT JEE, Syllabus, Preparation, NCERT, Important, circles times the radius of the circle.

Note : The director circle of x2 + y2 + 2gx + 2fy + c = 0 is x2 + y2 + 2gx + 2fy + 2c - g2 - f2 = 0

 

Ex.15 Let P be any moving point on the circle x2 + y2 - 2x = 1, from this point chord of contact is drawn w.r.t the circle x2 + y2 - 2x = 0. Find the locus of the circumcentre of the triangle CAB, C being centre of the circle.

 

Sol. : The two circles are (x - 1)2 + y2 = 1 ........(i)

(x - 1)2 + y2 = 2 ........(ii)

So the second circle is the director circle of the first. So Circles - Conic Sections, Class 11, Mathematics

Now circumcentre of the right angled triangle CAB would lie on the mid point of AB

Circles - Conic Sections, Class 11, Mathematics

So let the point be Circles - Conic Sections, Class 11, Mathematics

Now, CM = CB sin 45º = CBSE, Class 11, IIT JEE, Syllabus, Preparation, NCERT, Important, circles

So, (h - 1)2 + k2 = CBSE, Class 11, IIT JEE, Syllabus, Preparation, NCERT, Important, circles

So, locus of M is (x - 1)2 + y2 = CBSE, Class 11, IIT JEE, Syllabus, Preparation, NCERT, Important, circles.

 

J. pole and polar

Circles - Conic Sections, Class 11, Mathematics

Let any straight line through the given point A(x1 , y1) intersect the given circle S = 0 in two points P' and Q and if the tangent of the circle at P and Q meet at the point R then locus of point R is called polar of the point A

and point A is called the pole, with respect to the given circle.

 

(a) The equation of the polar of point (x1 , y1) w.r.t. circle x2 + y2 = a2.

Circles - Conic Sections, Class 11, Mathematics

Let PQR is a chord which passes through the point P(x1, y1) which intersects the circle at point Q and R and the tangents are drawn at points Q and R meet at point S(h, k) then equation of QR the chord of contact is

x1h + y1k = a2

Circles - Conic Sections, Class 11, Mathematics locus of point S(h, k) is xx1 + yy1 = a2 which is the equation of the polar.

Notes :

(i) The equation of the polar is the T = 0, so the polar of point (x1, y1) w.r.t. circle

x2 + y2 + 2gx + 2fy + c = 0 is xx1 + yy1 + g(x + x1) + f(y + y1) + c = 0.

(ii) If point is outside the circle then equation of polar and chord of contact is same. So the chord of contact is polar.

(iii) If point is inside the circle then chord of contact does not exist but polar exists.

(iv) If point lies on the circle then polar, chord of contact and tangent on that point are same.

(v) If the polar of P w.r.t. a circle passes through the point Q, then the polar of point Q will pass through P and hence P and Q are conjugate points of each other w.r.t. the given circle.

(vi) If pole of a line w.r.t. a circle lies on second line. Then pole of second line lies on first line and hence both lines are conjugate lines of each other w.r.t. the given circle.

(b) Pole of a given line with respect to a circle.

To find the pole of a line we assume the coordinates of the pole then from these coordinates we find the polar. This polar and given line represent the same line. Then by comparing the coefficients of similar terms we can get the coordinates of the pole. The pole of lx + my + n = 0.

w.r.t. circle x2 + y2 = a2 will be CBSE, Class 11, IIT JEE, Syllabus, Preparation, NCERT, Important, circles.

 

K. family of circles

(a) The equation of the family of circles passing through the points of intersection of two circles

S1 = 0 and S2 = 0 is ; S1 + KS2 = 0 (Circles - Conic Sections, Class 11, Mathematics).

(b) The equation of the family of circles passing through the point of intersection of a circle S = 0 and line L = 0 is given by S + KL = 0,

(c) The equation of a family of circles passing through two given points (x1 , y1) and (x2 , y2) can be written in the form (x - x1) (x - x2) + (y - y1) (y - y2) + K CBSE, Class 11, IIT JEE, Syllabus, Preparation, NCERT, Important, circles = 0 where K is a parameter.

(d) The equation of a family of circles touching a fixed line y - y1 = m (x - x1) at the fixed point (x1, y1) is (x - x1)2 + (y - y1)2 + K [y - y1 - m (x - x1)] = 0, where K is a parameter.

(e) Family of circles cicumscribing a triangle whose sides are given by L1 = 0; L2 = 0 and L3 = 0 is given by ; L1L2 + λ L2L3 +µ L3L1 = 0 provided coefficient of xy = 0 and coefficient of x2 = coefficient of y2

(f) Equation of circle circumscribing a quadrilateral whose side in order are represented by the line L1=0, L2 = 0, L3 = 0 and L4 = 0 are L1L3 + λL2L4 = 0 provided coefficient of x2 = coefficient of y2 and coefficient of xy = 0.


Ex.16 The equation of the circle through the points of intersection of

x2 + y2 - 1 = 0, x2 + y2 - 2x - 4y + 1 = 0 and touching the line x + 2y = 0, is

 

Sol. Family of circle is CBSE, Class 11, IIT JEE, Syllabus, Preparation, NCERT, Important, circles

CBSE, Class 11, IIT JEE, Syllabus, Preparation, NCERT, Important, circles            or            CBSE, Class 11, IIT JEE, Syllabus, Preparation, NCERT, Important, circles

Centre is CBSE, Class 11, IIT JEE, Syllabus, Preparation, NCERT, Important, circles and radius = CBSE, Class 11, IIT JEE, Syllabus, Preparation, NCERT, Important, circles

Since it touches the line x + 2y = 0, hence, Radius = Perpendicular distance from centre to the line.

i.e., CBSE, Class 11, IIT JEE, Syllabus, Preparation, NCERT, Important, circles

CBSE, Class 11, IIT JEE, Syllabus, Preparation, NCERT, Important, circles cannot be possible in case of circle. So λ = 1. Thus, we get the equation of circle

 

L. DIRECT AND TRANSVERSE COMMON TANGENTS

Let two circles having centre C1 and C2 and radii, r1 and r2 and C1C2 is the distance between their centres then

(a) Both circles will touch :

(i) Externally : If c1c2 = r1 + r2 i.e. the distance between their centres is equal to sum of their radii and point P divides C1C2 in the ratio r1 : r2 (internally). In this case there will be three common tangents.

Circles - Conic Sections, Class 11, Mathematics

(ii) Internally : If C1C2 = |r1 - r2| i.e. the distance between their centres is equal to difference between their radii and point P divides C1C2 in the ratio r1 : r2 externally and in this case there will be only one common tangent.

Circles - Conic Sections, Class 11, Mathematics

(b) The circles will intersect : when |r1 - r2| < C1C2 < r1 + r2 in this case there will be two common tangents.

Circles - Conic Sections, Class 11, Mathematics

(c) The circles will not intersect :

 

(i) One circle will lie inside the other circle if C1C2 < |r1 - r2| In this case there will be no common tangent.

(ii) When circle are apart from each other the C1C2 > r1 + r2 and in this case there will be four common tangents. Lines PQ and RS are called transverse or indirect or internal common tangents and these lines meet line C1C2 on T1 and T1 divides the line C1C2 in the ratio r1 : r2 internally and lines AB & CD are called direct or external common tangents.

Circles - Conic Sections, Class 11, Mathematics

These lines meet C1C2 produced on T2. Thus T2 divides C1C2 externally in the ratio r1 : r2.

 

Note : Length of direct common tangent = CBSE, Class 11, IIT JEE, Syllabus, Preparation, NCERT, Important, circles

Length of transverse common tangent = CBSE, Class 11, IIT JEE, Syllabus, Preparation, NCERT, Important, circles

 

Ex.17 Prove that the circles x2 + y2 + 2ax + c2 = 0 and x2 + y2 + 2by + c2 = 0 touch each other,

if CBSE, Class 11, IIT JEE, Syllabus, Preparation, NCERT, Important, circles.

 

Sol. Given circles are CBSE, Class 11, IIT JEE, Syllabus, Preparation, NCERT, Important, circles ...(i)      and

CBSE, Class 11, IIT JEE, Syllabus, Preparation, NCERT, Important, circles ...(ii)

Let C1 and C2 be the centre of circle (i) and (ii), respectively and r1 and r2 be their radii, then

CBSE, Class 11, IIT JEE, Syllabus, Preparation, NCERT, Important, circles, CBSE, Class 11, IIT JEE, Syllabus, Preparation, NCERT, Important, circles, CBSE, Class 11, IIT JEE, Syllabus, Preparation, NCERT, Important, circles

Here we find the two circles touch each other internally or externally.

For touch, |C1C2| = |r1 ± r2|          or            CBSE, Class 11, IIT JEE, Syllabus, Preparation, NCERT, Important, circles

On squaring CBSE, Class 11, IIT JEE, Syllabus, Preparation, NCERT, Important, circles      or       CBSE, Class 11, IIT JEE, Syllabus, Preparation, NCERT, Important, circles

Again squaring,         CBSE, Class 11, IIT JEE, Syllabus, Preparation, NCERT, Important, circles      or         CBSE, Class 11, IIT JEE, Syllabus, Preparation, NCERT, Important, circles    or       CBSE, Class 11, IIT JEE, Syllabus, Preparation, NCERT, Important, circles

 

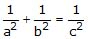
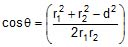
M. THE ANGLE OF INTERSECTION OF TWO CIRCLES

Definition : The angle between the tangents of two circles at the point of intersection of the two circles is called angle of intersection of two circles. If two circles are

Circles - Conic Sections, Class 11, Mathematics

CBSE, Class 11, IIT JEE, Syllabus, Preparation, NCERT, Important, circles

CBSE, Class 11, IIT JEE, Syllabus, Preparation, NCERT, Important, circles and θ is the angle between them

then     CBSE, Class 11, IIT JEE, Syllabus, Preparation, NCERT, Important, circles         or          CBSE, Class 11, IIT JEE, Syllabus, Preparation, NCERT, Important, circles

Here a1 and a2 are the radii of the circles and d is the distance between their centres.

If the angle of intersection of the two circles is a right angle then such circles are called "Orthogonal circles" and conditions for the circles to be orthogonal is CBSE, Class 11, IIT JEE, Syllabus, Preparation, NCERT, Important, circles

 

N. RADICAL AXIS OF THE TWO CIRCLES (S1 - S2 = 0)

(a) Definition : The locus of a point, which moves in such a way that the length of tangents drawn from it to the circles are equal and is called the radical axis.

Circles - Conic Sections, Class 11, Mathematics

It two circles are -

CBSE, Class 11, IIT JEE, Syllabus, Preparation, NCERT, Important, circles

CBSE, Class 11, IIT JEE, Syllabus, Preparation, NCERT, Important, circles

Let P(h, k) is a point and PA, PB are length of two tangents on the circles from point P. Then from definition : CBSE, Class 11, IIT JEE, Syllabus, Preparation, NCERT, Important, circles = CBSE, Class 11, IIT JEE, Syllabus, Preparation, NCERT, Important, circles      or          CBSE, Class 11, IIT JEE, Syllabus, Preparation, NCERT, Important, circles

Circles - Conic Sections, Class 11, Mathematics locus of (h, k)      ⇒         CBSE, Class 11, IIT JEE, Syllabus, Preparation, NCERT, Important, circles    ⇒        S1 - S2 = 0

which is the equation of radical axis.

Notes :

(i) To get the equation of the radical axis first of all make the coefficient of x2 and y2 = 1

(ii) If circles touch each other then Radical axis is the common tangent to both the circles.

(iii) When the two circles intersect on real points then common chord is the Radical axis of the two circles.

(iv) The Radical axis of the two circles is perpendicular to the line joining the centre of two circle of two circles but not always pass through mid point of it.

(v) The Radical axis of three circles (Taking two at a time) meet on a point.

(vi) If circles are concentric then the Radical axis does not always exist but if circles are not

concentric then Radical axis always exists.
(vii) If two circles are orthogonal to the third circle then Radical axis of both circles passes through the centre of the third circle.

(viii) A system of circle, every pair of which have the same radical axis, is called a coaxial system of circles.

 

(b) Radical centre

The radical centre of three circles is the point form which length of tangents on three circles are equal i.e. the point of intersection of radical axis of the circles is the radical centre of the circles. To get the radical axis of three circles S1 = 0, S2 = 0, S3 = 0 we have to solve any two S1 - S2 = 0, S2 - S3 = 0, S3 - S1 = 0

 

Notes :

(i) The circle with centre as radical centre and radius equal to the length of tangent from radical centre to any of

the circle, will cut the three circles orthogonally.

(ii) If three circles are drawn on three sides of a triangle taking them as diameter then its orthocentre will be its radical centre.

Circles - Conic Sections, Class 11, Mathematics

(iii) Locus of the centre of a variable circle orthogonal to two fixed circles is the radical axis between the two fixed circles.

(iv) If two circles are orthogonal, then the polar of a point `P' on first circle w.r.t. the second circle passes through the point Q which is the other end of the diameter through P. Hence locus of a point which moves such that its polars w.r.t. the circles, S1 = 0, S2 = 0 & S3 = 0 are concurrent is a circle which is orthogonal to all the three circles.

 

Ex.18 A and B are two fixed points and P moves such that PA = nPB where Circles - Conic Sections, Class 11, Mathematics Show that locus of P is a circle and for different values of n all the circles have a common radical axis.

 

Sol. Let CBSE, Class 11, IIT JEE, Syllabus, Preparation, NCERT, Important, circles and CBSE, Class 11, IIT JEE, Syllabus, Preparation, NCERT, Important, circles       so PA = nPB        CBSE, Class 11, IIT JEE, Syllabus, Preparation, NCERT, Important, circles CBSE, Class 11, IIT JEE, Syllabus, Preparation, NCERT, Important, circles            CBSE, Class 11, IIT JEE, Syllabus, Preparation, NCERT, Important, circles

Hence locus of P is CBSE, Class 11, IIT JEE, Syllabus, Preparation, NCERT, Important, circles, which is a circle of different values of n.

Let n1 and n2 are two different values of n so their radical axis is x = 0 i.e. y-axis. Hence for different values of n the circle have a common radical axis.

 

Ex.19 Find the equation of the circle through the points of intersection of the circles x2 + y2 - 4x - 6y - 12 = 0 and x2 + y2 + 6x + 4y - 12 = 0 and cutting the circle x2 + y2 - 2x - 4 = 0 orthogonally.

 

Sol. The equation of the circle through the intersection of the given circles is

CBSE, Class 11, IIT JEE, Syllabus, Preparation, NCERT, Important, circles                   ...(i)

where CBSE, Class 11, IIT JEE, Syllabus, Preparation, NCERT, Important, circles is the equation of radical axis for the circle

CBSE, Class 11, IIT JEE, Syllabus, Preparation, NCERT, Important, circles              and                     CBSE, Class 11, IIT JEE, Syllabus, Preparation, NCERT, Important, circles

Equation (i) can be rearranged as CBSE, Class 11, IIT JEE, Syllabus, Preparation, NCERT, Important, circles

It cuts the circle CBSE, Class 11, IIT JEE, Syllabus, Preparation, NCERT, Important, circles orthogonally.

Hence CBSE, Class 11, IIT JEE, Syllabus, Preparation, NCERT, Important, circles               CBSE, Class 11, IIT JEE, Syllabus, Preparation, NCERT, Important, circles

Hence the required circle is        CBSE, Class 11, IIT JEE, Syllabus, Preparation, NCERT, Important, circles    i.e., CBSE, Class 11, IIT JEE, Syllabus, Preparation, NCERT, Important, circles

 

Ex.20 Find the radical centre of circle CBSE, Class 11, IIT JEE, Syllabus, Preparation, NCERT, Important, circles, CBSE, Class 11, IIT JEE, Syllabus, Preparation, NCERT, Important, circles and

CBSE, Class 11, IIT JEE, Syllabus, Preparation, NCERT, Important, circles. Also find the equation of the circle cutting them orthogonally.

 

Sol. Given circles are           CBSE, Class 11, IIT JEE, Syllabus, Preparation, NCERT, Important, circles

                                          CBSE, Class 11, IIT JEE, Syllabus, Preparation, NCERT, Important, circles

                                          CBSE, Class 11, IIT JEE, Syllabus, Preparation, NCERT, Important, circles

Equation of two radical axes are            CBSE, Class 11, IIT JEE, Syllabus, Preparation, NCERT, Important, circles         or           CBSE, Class 11, IIT JEE, Syllabus, Preparation, NCERT, Important, circles

and                                                CBSE, Class 11, IIT JEE, Syllabus, Preparation, NCERT, Important, circles         or       CBSE, Class 11, IIT JEE, Syllabus, Preparation, NCERT, Important, circles

Solving them the radical centre is (3, 2) also, if r is the length of the tangent drawn from the radical centre (3, 2) to any one of the given circles, S1, we have CBSE, Class 11, IIT JEE, Syllabus, Preparation, NCERT, Important, circles

Hence (3, 2) is the centre and CBSE, Class 11, IIT JEE, Syllabus, Preparation, NCERT, Important, circles is the radius of the circle intersecting them orthogonally.

Circles - Conic Sections, Class 11, Mathematics Its equation is             CBSE, Class 11, IIT JEE, Syllabus, Preparation, NCERT, Important, circles          ⇒          x2 + y2 - 6x - 4y - 14 = 0

 

Alternative Method :

Let CBSE, Class 11, IIT JEE, Syllabus, Preparation, NCERT, Important, circles be the equation of the circle cutting the given circles orthogonally.

CBSE, Class 11, IIT JEE, Syllabus, Preparation, NCERT, Important, circles                  or                 CBSE, Class 11, IIT JEE, Syllabus, Preparation, NCERT, Important, circles              ...(i)

CBSE, Class 11, IIT JEE, Syllabus, Preparation, NCERT, Important, circles                         or                 CBSE, Class 11, IIT JEE, Syllabus, Preparation, NCERT, Important, circles            ...(ii)

and CBSE, Class 11, IIT JEE, Syllabus, Preparation, NCERT, Important, circles                 or                 CBSE, Class 11, IIT JEE, Syllabus, Preparation, NCERT, Important, circles           ...(iii)

Solving (i), (ii) and (iii) we get CBSE, Class 11, IIT JEE, Syllabus, Preparation, NCERT, Important, circles and CBSE, Class 11, IIT JEE, Syllabus, Preparation, NCERT, Important, circles

Circles - Conic Sections, Class 11, Mathematics equation of required circle is CBSE, Class 11, IIT JEE, Syllabus, Preparation, NCERT, Important, circles

The document Circles - Conic Sections, Class 11, Mathematics is a part of Class 11 category.
All you need of Class 11 at this link: Class 11

FAQs on Circles - Conic Sections, Class 11, Mathematics

1. What are the types of conic sections that can be formed from a circle?
Ans. A circle is a special case of an ellipse, where the two foci coincide at the center of the circle. Hence, a circle is a conic section that can be formed by the intersection of a plane with a cone at an angle perpendicular to the axis of the cone.
2. What is the equation of a circle in the coordinate plane?
Ans. The equation of a circle in the coordinate plane is given by (x - a)^2 + (y - b)^2 = r^2, where (a, b) is the center of the circle and r is the radius.
3. How can we find the equation of a circle if we know its center and radius?
Ans. If we know the center (a, b) and radius r of a circle, we can find its equation as (x - a)^2 + (y - b)^2 = r^2.
4. What is the distance formula for finding the distance between two points on a circle?
Ans. The distance formula for finding the distance between two points on a circle is given by d = sqrt((x2 - x1)^2 + (y2 - y1)^2), where (x1, y1) and (x2, y2) are the coordinates of the two points and d is the distance between them.
5. What is the relationship between the radius of a circle and its tangent line?
Ans. The tangent line to a circle at a point P on the circle is perpendicular to the radius of the circle at that point.
Download as PDF

Top Courses for Class 11

Related Searches

study material

,

Sample Paper

,

Important questions

,

mock tests for examination

,

Viva Questions

,

pdf

,

Summary

,

Objective type Questions

,

Mathematics

,

practice quizzes

,

Circles - Conic Sections

,

shortcuts and tricks

,

video lectures

,

Class 11

,

Exam

,

Class 11

,

Free

,

Mathematics

,

Class 11

,

past year papers

,

ppt

,

Extra Questions

,

Previous Year Questions with Solutions

,

Circles - Conic Sections

,

Semester Notes

,

Circles - Conic Sections

,

MCQs

,

Mathematics

;