Class 9 Exam  >  Class 9 Notes  >  Mathematics (Maths) Class 9  >  Value-Based Questions: Surface Areas & Volumes

Class 9 Maths Chapter 11 Question Answers - Surface Areas and Volumes

Q1:  Shanti Sweets stall placed an order to Mr. Kishorilal for making cardboard boxes for packing their sweets. Two sizes of boxes are ordered. The bigger of dimensions 25cm × 20cm × 5cm and the smaller of dimensions 15cm × 12cm × 5cm. For all the overlaps, 5% of the total surface is required extra. 250 boxes of each kind are required. Cost of the cardboard is 4 for 1000 cm2. By mistake Shanti Sweets Stall made payment according to the bigger boxes, but Mr. Kishorilal returned back the excess money.
(a) What amount was returned back by Mr. Kishorilal to the Shanti Sweets Stall?
(b) Which mathematical concept is used in the above problem?
(c) By returning back the access money, which value is depicted by Mr. Kishorilal?

Sol. 
(a) Total surface area of 250 bigger boxes

Class 9 Maths Chapter 11 Question Answers - Surface Areas and Volumes    Surface area of 1 box = 2 (lb + bh + hl)

= 2 (25 × 20 + 20 × 5 + 5 × 25) cm2
= 2 (500 + 100 + 125) cm
= 2 × 725 cm= 1450 cm
∴ Surface area of 250 big boxes = 250 × 1450 cm
= 362500 cm2
Total surface area of 250 smaller boxes :

Class 9 Maths Chapter 11 Question Answers - Surface Areas and Volumes

= 2 (15×12 + 12×5 + 5×15) cm2
= 2 (180 + 60 + 75) cm2 = 630 cm2
∴ Total surface area of 250 small boxes = 250 × 630 cm2 = 157500 cm2
Total surface area of both kinds of boxes = 362500 cm+ 157500 cm2 = 520000 cm2
Area for overlaping = 5% of 520000 cm2 = 26000 cm2
∴ Total surface area for which actual payment is to be made = 520000 cm2 + 26000 cm2 = 546000 cm2
Actual cost = (4/1000)× 546000 = ₹ 2184
But by mistake the payment is made for 500 boxes, each of dimension 25cm × 20cm × 5cm
∴ Total surface area 250 + 250 boxes for wrong payment = 500 × 2 [lb × bh × hl]
500 × 2 [25 × 20 + 20 × 5 + 5 × 25] cm2
= 500 × 1450 cm2 = 725000 cm2
Area for overlaping = 5% of 725000 = 36250 cm
Total surface area for wrong payment = (72500 + 36250) cm2 = 761250 cm
∴ Wrong payment made by the Shanti Sweets Stall =₹ (4/1000)× 761250 = ₹ 3045
⇒ Excess amount paid by Shanti Sweets Stall to Mr. Kishorilal = ₹ 3045 – ₹ 2184 = ₹ 861
(b) The mathematical concept  used in the above problem is  Surface Areas and Volumes.
(c) value is depicted by Mr. Kishorilal is Honesty.


Q2: Rahul plans to erect an indoor greenhouse (herbarium) which is made entirely of glass panes (including a base) held together with tape. It is 30 cm long, 25 cm wide and 25 cm high.
(a) What is the surface area of the glass used?
(b) How much of tape is needed for all the 12 edges?
(c) Which mathematical concept is used in the above problem?
(d) By erecting a greenhouse, which skill is depicted by Rahul?

 Sol: The herbarium is in the form of a cuboid, having l = 30cm, b = 25cm, and h = 25cm.

Class 9 Maths Chapter 11 Question Answers - Surface Areas and Volumes

(a) ∵ Surface area of the herbarium =2 [lb + bh + hl]
= 2 [(30 × 25) + (25 × 25) + (25 × 30)] cm2
= 2 [750 + 625 + 750] cm2
= 2 [2125] cm2 = 4250 cm2
⇒ The surface area of the herbarium = 4250 cm2

(b) Total length of 12 edges = 4l + 4b + 4h = 4 [l + b + h]
= 4 [30 + 25 + 25] cm
= 320 cm ⇒ 320 cm of tape is needed.

(c) The Mathematical concept used in the above problem is Surface Areas and Volumes [Mensuration]

(d) The skill is depicted by Rahul is Betterment of the environment.


Q3: The Gram Panchayat of a village, plan to construct an underground cuboidal reservoir for water harvesting which is 2 km long, 40 m wide, and 3 m deep. 
(a) Find the volume of water which can be stored in the reservoir.
(b) Which mathematical concept is used in the above problem?

(c) Which skill is depicted by the Gram Panchayat by constructing a water reservoir?

Sol: 
(a) ∴ Dimensions of the cuboidal reservoir are:

Class 9 Maths Chapter 11 Question Answers - Surface Areas and Volumes

l = 2 km = 2000 m ,  b = 40 m and h = 3 m
∴ Volume (capacity) of the reservoir = l × b × h = 2000 × 40 × 3 m3 = 240000 m

(b) The mathematical concept is used in the above problem is Mensuration [Surface Areas and Volumes]

(c) The skill is depicted by the Gram Panchayat by constructing a water reservoir is Protection of the natural resources.


Q4: Rahul is having his birthday this coming Sunday. His father is planning to spend  3850.00 on his birthday. But Rahul has a different idea.
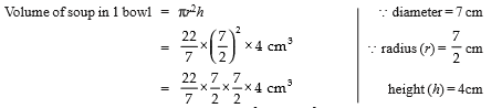
 He wishes to serve soup to patients in a hospital. The cost of 1 liter of soup is 
 50, it is served in a cylindrical bowl of diameter 7 cm. If the bowl is filled with soup to a height of 4 cm, then :
(a) How many patients can be served with soup?
(b) Which mathematical concept is used in the above problem?
(c) By spending is birthday money for patients, which values are depicted by Rahul?

 Sol: 
(a)

Class 9 Maths Chapter 11 Question Answers - Surface Areas and Volumes

 

Class 9 Maths Chapter 11 Question Answers - Surface Areas and Volumes

= 11 × 7 × 2 cm3 = 154 cm
Let number of patients served = x
∴ Volume of soup served to x patients = 154 x cm3

Cost of 154 x cmsoup = Class 9 Maths Chapter 11 Question Answers - Surface Areas and Volumes

Class 9 Maths Chapter 11 Question Answers - Surface Areas and Volumes= 3850

Class 9 Maths Chapter 11 Question Answers - Surface Areas and Volumes

⇒ Number of patients served with soup = 500

(b)The mathematical concept is used in the above problem is Mensuration [Surface Areas and Volumes]

(c) The skill is depicted by the Gram Panchayat by constructing a water reservoir is Serving the patients and Proper use of money.


Q5: Nitin used to save a part of his pocket money. He wishes to buy paint for a community centre from his savings. He buys paint in a certain container which is sufficient to paint an area equal to 9.375 m2.
(a) How many bricks of dimensions 22.5 cm × 10 cm × 7.5 cm can be painted out of this container?
(b) Which mathematical concept is used in the above problem?
(c) By using pocket-money saving to buy paints for community centres, which values are depicted by Nitin?

Sol:
(a) Since, a brick is like a cuboid having l = 22.5 cm, b = 10 cm, h = 7.5 cm
∴ Total surface area of a brick = 2 [lb + bh + hl]
= 2 [(22.5 × 10) + (10 × 7.5) + (7.5 × 22.5)] cm
= 2 [225 + 75 + 168.75] cm2
= 2 [468.75] cm2 = 937.5 cm2
Let the required number of bricks = n  

Class 9 Maths Chapter 11 Question Answers - Surface Areas and Volumes

Thus the required number of bricks = 100

(b) The mathematical concept is used in the above problem is Mensuration [Surface Areas and Volumes]

(c) The skill is depicted by the Gram Panchayat by constructing a water reservoir is Saving money and  Charity.


Q6: Sumit helped his friend to pitch a tent on the campsite. The tent is cylindrical in shape with a conical top above it. The radius of the base of the tent is 7m. The height of the cylindrical part is 20 m and the height of the conical part is 4 m. 
(a) Find the area of canvas cloth needed to construct the tent.
(b) Which Mathematical concept is used here.
(c) Which skills are depicted by Sumit?

Sol: 

(a) Curved surface area of cylindrical part = 2πrh
= 2 × (22/7) × 7 × 20
= 880 m²

For finding the surface area of the curved part of the cone, we have to find l, the slant height.

l = √(r² + h²) = √(16 + 49) cm = √65 = 8.06 cm

∴ Surface area of the curved part of the cone = πrl
= (22/7) × 7 × 8.06 m²
= 177.32 m²

∴ Total area of canvas needed = (880 + 177.32) m²
= 1057.32 m²
(b) The mathematical concept used here is Surface Area
(c) The skills depicted by Sumit are friendship and tentpitching. 


Q7: 35 students of class IX of a Vidyalaya were asked to participate in a competition for making and decorating penholders in the shape of a cylinder with a base, using cardboard. Each penholder was to be of radius 3 cm and height 10.5 cm. The Vidyalaya was to supply the competitors with cardboard.
(a) How much cardboard was required to be bought for the competition?
(b) Which mathematical concept is used in the above problem?
(c) By making cylindrical penholders and decorating them, which skills are depicted by the students of class IX?

Sol:
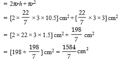
Class 9 Maths Chapter 11 Question Answers - Surface Areas and Volumes
(a) Here, the penholders are in the form of cylinders.
Radius of a cylinder (r) = 3 cm
Height of a cylinder (h) = 10.5 cm
Since, each penholder is open from the top
∴ Surface area of a  penholder (cylinder) = [Lateral surface area] + [Base area]

Class 9 Maths Chapter 11 Question Answers - Surface Areas and Volumes

⇒ Total surface area of 35 penholders Class 9 Maths Chapter 11 Question Answers - Surface Areas and Volumes

= 5 × 1584 cm2 = 7920 cm2
Thus, 7920 cm2 of cardboard was required to be bought for 35 competitors.

(b)  The mathematical concept is used in the above problem is  Surface Areas and Volumes

(c) The skill is depicted by the Gram Panchayat by constructing a water reservoir is Healthy competition and creativity.


Q8: Students of class IX of the Sagar School plan to have their school bus stand barricaded from the remaining part of the road to avoid inconveniencing the people. For this purpose, they use 50 hollow cones made of recycled cardboard. Each cone has a diameter of 40 cm and a height 1m.
 They painted the outer side of each of the cones. The cost of painting is 
 12 per m2.

Class 9 Maths Chapter 11 Question Answers - Surface Areas and Volumes

[use π = 3.14 and √(1.04) = 1.02]

(a) Find the cost of painting of all these cones.
(b) Which mathematical concept is used in the above problem?
(c) By barricading the school-bus stand using cones of recycled cardboard, which skills are depicted by the students of class IX of the Sagar School?

Sol.:
(a) Diameter of a cone = 40 cm
∴ Radius of a cone (r)= 40
2 cm = 20 cm = 20 m 100
= 0.2 m Height of a cone (h)= 1m
⇒ Slant height of a cone (l)=Class 9 Maths Chapter 11 Question Answers - Surface Areas and Volumes

Class 9 Maths Chapter 11 Question Answers - Surface Areas and Volumes

= 1.02 m [∵ It is given that √(1.04)= 1.02]
Now, curved surface area of a cone = πrl                             [∵ Base of the cone is hollow]
⇒ Curved surface area of 1 cone = 3.14 × 0.2 × 1.02 m2

Class 9 Maths Chapter 11 Question Answers - Surface Areas and Volumes

⇒ Curved surface area of 50 conesClass 9 Maths Chapter 11 Question Answers - Surface Areas and Volumes

Class 9 Maths Chapter 11 Question Answers - Surface Areas and Volumes

Cost of Painting : 
∵ The rate of painting is ₹ 12 per m2

∴ Total cost of 50 cones  Class 9 Maths Chapter 11 Question Answers - Surface Areas and Volumes

Class 9 Maths Chapter 11 Question Answers - Surface Areas and Volumes

(b) The mathematical concept is used in the above problem is Surface Areas and Volumes [mensuration]
(c) The skill is depicted by the Gram Panchayat by constructing a water reservoir is Care for the public convenience and Betterment of the environment.


Q9: Rohit has set up a juice shop. He has two types of packs: 
Type A: A cylindrical tin cane with a circular base of diameter 7 cm and height 10 cm.
Class 9 Maths Chapter 11 Question Answers - Surface Areas and VolumesType B: A rectangular plastic cane with base length 5 cm and width of 4 cm and having height of 15 cm.
Class 9 Maths Chapter 11 Question Answers - Surface Areas and Volumes
 He decided to serve the customers in ‘A’ type of packs.

(a) Find the volume of the pack ‘A’. 
(b) Which pack has the greater capacity? 
(c) Which mathematical concept is used in above problem?
(d) By choosing a pack of type-A and avoiding a plastic pack, which values are depicted by Rohit?

Sol: 
(a) Volume of the cylindrical pack :
∵ Base diameter = 7 cm
∴ Radius (r)= 7
2 cm Height (h) = 10 cm
∵ Volume = πr2h

Class 9 Maths Chapter 11 Question Answers - Surface Areas and Volumes

⇒ = 11 × 7 × 5 cm3 = 385 cm
⇒ The volume of the cylindrical pack is 385 cm3

(b) Volume of rectangular pack : Length
(l) = 5 cm Breadth

(b) = 4 cm Height (h) = 15 cm
∴ Volume = lbh = 5 × 4 × 15 cm3 = 300 cm3
Since, 385 cm3 > 300 cm
⇒ Capacity of cylindrical pack is greater.
(c) The mathematical concept is used in the above problem is Surface Areas and Volumes [mensuration]
(d)The skill is depicted by the Gram Panchayat by constructing a water reservoir is Honesty and Betterment of the environment.

The document Class 9 Maths Chapter 11 Question Answers - Surface Areas and Volumes is a part of the Class 9 Course Mathematics (Maths) Class 9.
All you need of Class 9 at this link: Class 9
40 videos|471 docs|57 tests

FAQs on Class 9 Maths Chapter 11 Question Answers - Surface Areas and Volumes

1. What are the different formulas for calculating the surface area of common geometric shapes?
Ans. The surface area formulas for common geometric shapes include: - Cube: \(6a^2\) (where \(a\) is the length of a side) - Rectangular Prism: \(2(lw + lh + wh)\) (where \(l\), \(w\), and \(h\) are length, width, and height) - Sphere: \(4\pi r^2\) (where \(r\) is the radius) - Cylinder: \(2\pi r(h + r)\) (where \(r\) is the radius and \(h\) is the height) - Cone: \(\pi r(l + r)\) (where \(l\) is the slant height and \(r\) is the radius)
2. How do you derive the volume formula for a cylinder?
Ans. The volume \(V\) of a cylinder can be derived from the formula for the area of its base and its height. The base of a cylinder is a circle, so the area \(A\) is given by \(A = \pi r^2\) (where \(r\) is the radius). The volume is then found by multiplying the area of the base by the height \(h\): \[ V = A \times h = \pi r^2 \times h \]
3. What is the difference between surface area and volume?
Ans. Surface area refers to the total area that the surface of a three-dimensional object occupies, measured in square units. Volume, on the other hand, measures the amount of space a three-dimensional object occupies, measured in cubic units. Thus, surface area is about the "outside" of the shape, while volume is about the "inside."
4. How can I apply surface area and volume concepts in real-life situations?
Ans. Surface area and volume concepts can be applied in various real-life situations, such as: - Calculating the amount of paint needed to cover a wall (surface area) - Determining the capacity of a swimming pool (volume) - Figuring out the amount of material required for manufacturing containers (both surface area and volume) - Understanding how much space food items take in packaging (volume).
5. What are some common mistakes to avoid when calculating surface areas and volumes?
Ans. Common mistakes to avoid include: - Not using the same units for all dimensions (e.g., mixing centimeters and meters) - Forgetting to square the radius when calculating the area of a circle - Confusing the formulas for surface area and volume - Miscalculating dimensions (for example, confusing height with radius in cylinders). Careful attention to these details can help prevent errors in calculations.
Related Searches

Sample Paper

,

Important questions

,

pdf

,

Free

,

Class 9 Maths Chapter 11 Question Answers - Surface Areas and Volumes

,

Summary

,

practice quizzes

,

Class 9 Maths Chapter 11 Question Answers - Surface Areas and Volumes

,

ppt

,

study material

,

Extra Questions

,

Objective type Questions

,

MCQs

,

Previous Year Questions with Solutions

,

Viva Questions

,

video lectures

,

Semester Notes

,

mock tests for examination

,

Class 9 Maths Chapter 11 Question Answers - Surface Areas and Volumes

,

shortcuts and tricks

,

Exam

,

past year papers

;