Class 9 Exam  >  Class 9 Notes  >  Mathematics (Maths) Class 9  >  Previous Year Questions : Statistics

Class 9 Maths Chapter 13 Previous Year Questions - Statistics

Very Short Answer Type Questions

Q1. The median of the following numbers arranged in descending order is 25. Find the value of  [2025]
x: 40, 38, 35, 2x + 10, 2x + 1, 15, 11, 8, 5
Sol:

Number of observations = 9

∴ The median is the  ((n+1)/2)th  term i.e. ((9+1)/2) th or the 5th term.
⇒ 2x + 1 = 25
⇒ x= (25-1)/2= 12


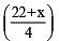
Q2. If the mean of 6, x, 4, and 12 is 8, then find the value of x. [2024]
Sol:
 

Class 9 Maths Chapter 13 Previous Year Questions - Statistics

 ∴       Class 9 Maths Chapter 13 Previous Year Questions - Statistics = 8 or 22 + x = 32or  x = 32 – 22 = 10


Q3. Find the range of the data 9, 7, 5, 7, 9, 9, 6, 18, 9 and 8. [2023]
Sol:

Highest data = 18
Lowest data = 5
⇒ Range = 18 – 5 = 13

Q4. What is the median of 70, 40, 50, 100, 75, 75, 65 and 95? [2022]
Sol:

In ascending order, the given data is:
40, 50, 65, 70, 75, 75, 95, 100
Here, n = 8 (Even number)

Class 9 Maths Chapter 13 Previous Year Questions - Statistics

⇒ Median =   Class 9 Maths Chapter 13 Previous Year Questions - Statistics

Class 9 Maths Chapter 13 Previous Year Questions - Statistics

Short Answers Type Questions

Q1. Find the range and prepare a frequency table for the following observations:  [2025]
 4, 1, 1, 2, 3, 5, 2, 3, 3, 1, 2, 2, 4, 2, 5, 4, 1, 1, 3, 2
Sol:
 

Arranging the observations in an ascending order:
1, 1, 1, 1, 1, 2, 2, 2, 2, 2, 2, 3, 3, 3, 3, 4, 4, 4, 5, 5
Lowest observation = 1
Highest observation = 5

∴ Range = 5 – 1 = 4
Thus, the required range = 4.
Frequency table:

Observation

Tally marks

Frequency

1

Class 9 Maths Chapter 13 Previous Year Questions - Statistics

5

2

Class 9 Maths Chapter 13 Previous Year Questions - Statistics

6

3

IIII

4

4

III

3

5

II

2

Q2. Form a frequency table for the following:  [2024]

Marks obtained Number of students 
More than 50
More than 40
More than 30
More than 20
More than 10
More than 0  
0
20
37
44
46
50

Sol:

Marks obtainedFrequencyCumulative frequency
0–10
10–20  
20–30
30–40  
40–50
50 – 46 = 4  
46 – 44 = 2
44 – 37 = 7
37 – 20 = 17
20 – 0 = 20  
4
6
13
30
50
Total50 

Q3. If the mean of the following data is 15 then find the value of p.  [2023]

xi510152025
fi645p7

Sol:

We can have the following table from the given data :

Class 9 Maths Chapter 13 Previous Year Questions - Statistics   

∴ we have           ∑ (fi) = 6+4+5+p+7 = 22+p

                           ∑ (xifi) = 30+40+75+20p+175 = 320+20p

∵ Mean,               Class 9 Maths Chapter 13 Previous Year Questions - Statistics

 But Mean = 15

∴    Class 9 Maths Chapter 13 Previous Year Questions - Statistics

 ⇒ 320 + 20p = 15(22 + p)
⇒ 320 + 20p = 330 + 15p
⇒ 20p – 15p = 330 – 320
⇒ 5p = 10
⇒   p= (10/5)= 2
Thus, the required value of p is 2

 

Q4. The mean of 40 numbers was found to be 35. Later on, it was detected that a number 56 was misread as 16. Find the correct mean of the given numbers. [2022]
Sol:

 Number of observations = 40
∵ Calculated mean = 35
∴ Calculated sum = 40 x 35 = 1400
Since the number 56 is misread as 16.
∴ Correct sum of the numbers = 1400 – [Wrong observation] + [Correct observation]
= 1400 – [16] + [56]
= (1400 – 16 + 56) = 1440
∴ The correct mean =Class 9 Maths Chapter 13 Previous Year Questions - Statistics

= (14440/40)= 36
Thus, the correct mean = 36.

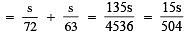
Q5. A train travels between two stations x and y. While going from x to y, its average speed is 72 km per hour, and while coming back from y to x, its average speed is 63 km per hour. Find the average speed of the train during the whole journey. [2021]
Sol:

 Let the distance between x and y is s km.
Since, average speed = Total Distance / Total Time

For the train going from x to y, Average speed = 72 km/hr
∴ Time taken = Distance / speed = s/72 hours

For the train coming back from y to x, Average speed = 63 km/hr
∴ Time taken = Distance / speed = s/63 hours

 Now, the total time taken to cover 2s km

Class 9 Maths Chapter 13 Previous Year Questions - Statistics

∴ Average speed during the whole journey Class 9 Maths Chapter 13 Previous Year Questions - Statistics

Class 9 Maths Chapter 13 Previous Year Questions - Statistics

Class 9 Maths Chapter 13 Previous Year Questions - Statistics

Thus, the required average speed = 67.2 km/hr.

Long Answer Type Questions

Q1: Ten observations 6, 14, 15, 17, x + 1, 2x – 13, 30, 32, 34, 43 are written in ascending order. The median of the data is 24. Find the value of x.  [2025]

Sol:

Here, the arranged data is 6, 14, 15, 17, x + 1, 2x – 13, 30, 32, 34, 43

Total number of observations = 10

Class 9 Maths Chapter 13 Previous Year Questions - Statistics

But median of data is 24 (given)

⇒ 3x−12 / 2 = 24

⇒ 3x – 12 = 48

⇒ 3x = 60

⇒ x = 20

∴ The value of x = 20

Q2: Given are the scores (out of 25) of 9 students in a Monday test :
14, 25, 17, 22, 20, 19, 10, 8 and 23
Find the mean score and median score of the data. [2023]
Sol:
Ascending order of scores is :
8, 10, 14, 17, 19, 20, 22, 23, 25
Now, Mean Score = Class 9 Maths Chapter 13 Previous Year Questions - StatisticsClass 9 Maths Chapter 13 Previous Year Questions - StatisticsClass 9 Maths Chapter 13 Previous Year Questions - Statistics= 19 marks

Q3: The weight in grams of 35 mangoes picked at random from a consignment are as follows:
131, 113, 82, 75, 204, 81, 84, 118, 104, 110, 80, 107, 111, 141, 136, 123, 90, 78, 90, 115, 110, 98, 106, 99, 107, 84, 76, 186, 82, 100, 109, 128, 115, 107, 115 From the grouped frequency table by dividing the variable range into interval of equal width of 20 grams, such that the mid-value of the first class interval is 70 g. Also, draw a histogram. [2021]
Sol:
It is given that the size of each class interval = 20 and the mid-value of the first class interval is 70.
Let the lower limit of the first class interval be a, then its upper limit = a + 20
Class 9 Maths Chapter 13 Previous Year Questions - Statistics⇒ a = 70 – 10 = 60
Thus, the first class interval is 60 – 80 and the other class-intervals are 80 – 100, 100 – 120, 120 – 140, 140 – 160, 160 – 180, 180 – 200 and 200 – 220.
So, the grouped frequency table is as under :
Class 9 Maths Chapter 13 Previous Year Questions - Statistics

Class 9 Maths Chapter 13 Previous Year Questions - Statistics

Let us represent weight (in g) along x-axis and corresponding frequencies along y-axis on a suitable scale, the required histogram is as under :
Class 9 Maths Chapter 13 Previous Year Questions - Statistics

 

 Q4: The following two tables gives the distribution of students of two sections according to the marks obtained by them :  

Class 9 Maths Chapter 13 Previous Year Questions - Statistics

Represent the marks of the students of both the sections on the same graph by two frequency polygons. From the two polygons compare the performance of the two sections.  [2020]

Sol:
The class marks are as under :
Class 9 Maths Chapter 13 Previous Year Questions - Statistics

Let us take class marks on X-axis and frequencies on Y-axis. To plot frequency polygon of Section-A, we plot the points (5, 3), (15, 9), (25,17), (35,12), (45, 9) and join these points by (15,19). line segments. To plot frequency polygon of Section-B, we plot the points (5, 5), (15, 19), (25, 15), (35, 10), (45, 1) on the same scale and join these points by dotted line segments.
Class 9 Maths Chapter 13 Previous Year Questions - Statistics

From the above two polygons, clearly the performance of Section A is better. 

The document Class 9 Maths Chapter 13 Previous Year Questions - Statistics is a part of the Class 9 Course Mathematics (Maths) Class 9.
All you need of Class 9 at this link: Class 9
40 videos|471 docs|57 tests

FAQs on Class 9 Maths Chapter 13 Previous Year Questions - Statistics

1. What is the importance of statistics in research and data analysis?
Ans. Statistics play a crucial role in research and data analysis as they provide tools for collecting, reviewing, analyzing, and drawing conclusions from data. They help in making informed decisions, identifying trends, and testing hypotheses, which is essential across various fields such as social sciences, business, health, and engineering.
2. What are the different types of statistical methods used in analysis?
Ans. There are two main types of statistical methods: descriptive and inferential statistics. Descriptive statistics summarize and describe the characteristics of a data set, using measures such as mean, median, mode, and standard deviation. Inferential statistics, on the other hand, allow researchers to make predictions or inferences about a population based on a sample, employing techniques like hypothesis testing and confidence intervals.
3. How do you interpret a p-value in hypothesis testing?
Ans. A p-value is a measure that helps determine the significance of results in hypothesis testing. It represents the probability of obtaining results at least as extreme as those observed, assuming the null hypothesis is true. A smaller p-value (typically less than 0.05) indicates strong evidence against the null hypothesis, leading researchers to reject it, while a larger p-value suggests insufficient evidence to do so.
4. What is the difference between a population and a sample in statistics?
Ans. In statistics, a population refers to the entire group of individuals or observations that a researcher is interested in studying, while a sample is a subset of that population selected for analysis. The purpose of using a sample is to make inferences about the population without needing to collect data from every member, which can be time-consuming and expensive.
5. What are common applications of statistics in everyday life?
Ans. Statistics are widely used in everyday life for various applications, including in business for market research and quality control, in healthcare for clinical trials and epidemiology, in sports for performance analysis, and in education for assessing student performance. Additionally, statistics help individuals make informed decisions based on data, such as analyzing financial investments or interpreting survey results.
Related Searches

Extra Questions

,

video lectures

,

Previous Year Questions with Solutions

,

Summary

,

Free

,

mock tests for examination

,

Objective type Questions

,

Exam

,

ppt

,

Important questions

,

MCQs

,

Class 9 Maths Chapter 13 Previous Year Questions - Statistics

,

shortcuts and tricks

,

Sample Paper

,

study material

,

Class 9 Maths Chapter 13 Previous Year Questions - Statistics

,

practice quizzes

,

Semester Notes

,

pdf

,

past year papers

,

Class 9 Maths Chapter 13 Previous Year Questions - Statistics

,

Viva Questions

;