Class 9 Exam  >  Class 9 Notes  >  Mathematics (Maths) Class 9  >  Previous Year Questions : Linear Equations in Two Variables

Class 9 Maths Chapter 4 Previous Year Questions - Linear Equations in Two Variables

Very Short Answer Type Questions

Q1. Write whether the following statements are True or False? Justify your answers.  [2025]
(i) ax + by + c, where a, b and c are real numbers, is a linear equation in two variables. 

(ii) A linear equation 2x + 3y = 5 has a unique solution. 

(iii) All the points (2, 0), (–3, 0), (4, 2) and (0, 5) lie on the x-axis.

(iv) The line parallel to y-axis at a distance 4 units to the left of y-axis is given by the equation x = –4. 

(v) The graph of the equation y = mx + c passes through the origin.

Class 9 Maths Chapter 4 Previous Year Questions - Linear Equations in Two VariablesView Answer  Class 9 Maths Chapter 4 Previous Year Questions - Linear Equations in Two Variables

(i) False. [Because ax + by + c = 0 is a linear equation in two variables if both ‘a‘ and ‘b’ are non-zero.]

(ii) False. [Because a linear equation in two variables has infinitely many solutions.]

(iii) False. [Because the points (2, 0) and (–3, 0) lie on the x-axis, (0, 5) lie on the y-axis whereas the point (4, 2) lies in the first quadrant.]

(iv) True.

(v) False. [Because the point (0, 0) i.e., x = 0 + y = 0 does not satisfy the equation]

Q2. Write whether the following statement is True or False? Justify your answer. [2024]
The coordinates of points given in the table:

Class 9 Maths Chapter 4 Previous Year Questions - Linear Equations in Two Variables

Represent some of the solutions of the equation 2x + 2 = y.

Class 9 Maths Chapter 4 Previous Year Questions - Linear Equations in Two VariablesView Answer  Class 9 Maths Chapter 4 Previous Year Questions - Linear Equations in Two Variables

 True. [Since, on looking at the given coordinates, we observe that each y-coordinate is two units more than double the x-coordinate.]

Q3. Look at the following graphical representation of an equation. Which of the following is not its solution? [2022]

Class 9 Maths Chapter 4 Previous Year Questions - Linear Equations in Two Variables

Class 9 Maths Chapter 4 Previous Year Questions - Linear Equations in Two VariablesView Answer  Class 9 Maths Chapter 4 Previous Year Questions - Linear Equations in Two Variables

The point (6, 0) does not lie on the graph.
∴ The point (6, 0) is not the solution of the equation.

Short Answer Type Questions

Q1. Is Class 9 Maths Chapter 4 Previous Year Questions - Linear Equations in Two Variables a solution of 2x + 3y = 12?  [2025]

Class 9 Maths Chapter 4 Previous Year Questions - Linear Equations in Two VariablesView Answer  Class 9 Maths Chapter 4 Previous Year Questions - Linear Equations in Two Variables

The given equation is 2x + 3y = 12  ...(1)

Here Solution = Class 9 Maths Chapter 4 Previous Year Questions - Linear Equations in Two Variables

⇒ x = 2 and y = (8/3)
Substituting x = 2 and y =(8/3)  in (1), we get

Class 9 Maths Chapter 4 Previous Year Questions - Linear Equations in Two Variables⇒ 4 + 8 = 12⇒ 12 = 12∵ L.H.S. = R.H.S

Class 9 Maths Chapter 4 Previous Year Questions - Linear Equations in Two Variables is a solution of 2x + 3y = 12.

Q2. Write two solutions of 3x + y = 8. [2023]

Class 9 Maths Chapter 4 Previous Year Questions - Linear Equations in Two VariablesView Answer  Class 9 Maths Chapter 4 Previous Year Questions - Linear Equations in Two Variables

We have 3x + y = 8
For x = 0, we have 3(0) + y = 8
⇒ 0 x y= 8 ⇒ y = 8

Class 9 Maths Chapter 4 Previous Year Questions - Linear Equations in Two Variables  .e. (0, 8) is a solution.For x = 1, we have 3(1) + y = 8⇒ 3 + y = 8⇒ y = 8 – 3 = 5

Class 9 Maths Chapter 4 Previous Year Questions - Linear Equations in Two Variables    i.e. (1, 5) is another solution.

Q3. If x = –1 and y = 2 is a solution of kx + 3y = 7, find the value k. [2022]

Class 9 Maths Chapter 4 Previous Year Questions - Linear Equations in Two VariablesView Answer  Class 9 Maths Chapter 4 Previous Year Questions - Linear Equations in Two Variables

We have kx + 3y = 7                          ...(1)
∴ Putting x = –1 and y = 2 in (1), we get
k(–1) + 3(2) = 7
⇒ –k + 6 = 7
⇒ –k = 7 – 6 = 1
⇒ k= –1
Thus, the required value of k = –1.

Q4. Show that x = 2 and y = 1 satisfy the linear equation 2x + 3y = 7. [2020]

Class 9 Maths Chapter 4 Previous Year Questions - Linear Equations in Two VariablesView Answer  Class 9 Maths Chapter 4 Previous Year Questions - Linear Equations in Two Variables

We have 2x + 3y = 7                       ...(1)
Since, x = 2 and y = 1 satisfy the equation (1).
∴ Substituting x = 2 and y = 1 in (1), we get
L.H.S. = 2(2) + 3(1) = 4 + 3 = 7
= R.H.S.
Since, L.H.S. = R.H.S.
∴ x = 2 and y = 1 satisfy the given equation.

Long Answer Type Questions

Q1. The taxi fare in a town is 10 for the first kilometre and  6 per km for the subsequent distance. Taking the distance as ‘x’ km and total fare as y, write a linear equation for this information, what will be the total fare for 15 km?  [2024]

Class 9 Maths Chapter 4 Previous Year Questions - Linear Equations in Two VariablesView Answer  Class 9 Maths Chapter 4 Previous Year Questions - Linear Equations in Two Variables

∵ Total distance is x km.
Total fare = ₹y
∴ x = 1 + (x – 1) = First km + Subsequent distance
Since, fare the first km = ₹10
∴ Fare for the remaining distance = ₹6 x (x – 1) = ₹6x – ₹6
⇒ Total fare = ₹10 + ₹6x – ₹6
= ₹4 + ₹6x
∴ y = 4 + 6x

⇒ y – 6x = 4
⇒ 6x – y + 4 = 0
Which is the required equation.

Now, total fare for 15 km:
6 x 15 – y + 4 = 0   [Substituting x = 15]
⇒ 90 – y + 4 = 0
⇒ 94 – y = 0
⇒ y = 94
∴ Total fare = ₹94.

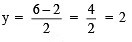
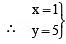
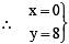
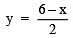
Q2. Draw the graph x + 2y = 6 and from the graph, find the value of x when y = – 3. [2023]

Class 9 Maths Chapter 4 Previous Year Questions - Linear Equations in Two VariablesView Answer  Class 9 Maths Chapter 4 Previous Year Questions - Linear Equations in Two Variables

We have: x + 2y = 6
Class 9 Maths Chapter 4 Previous Year Questions - Linear Equations in Two VariablesWhen x = 0, then Class 9 Maths Chapter 4 Previous Year Questions - Linear Equations in Two VariablesWhen x = 2, then Class 9 Maths Chapter 4 Previous Year Questions - Linear Equations in Two VariablesWhen x = 4, then Class 9 Maths Chapter 4 Previous Year Questions - Linear Equations in Two Variables 

We get the following table of values of x and y.

x
0
2
4
y
3
2
1
(x, y)
(0, 3)
(2, 2)
(4, 1)

Plotting the ordered pairs (0, 3), (2, 2) and (4, 1) and then joining them, we get the graph of x + 2y = 6 as shown below:

Class 9 Maths Chapter 4 Previous Year Questions - Linear Equations in Two Variables

From the graph, we find that for y = – 3, the value of x = 12.

The document Class 9 Maths Chapter 4 Previous Year Questions - Linear Equations in Two Variables is a part of the Class 9 Course Mathematics (Maths) Class 9.
All you need of Class 9 at this link: Class 9
40 videos|471 docs|57 tests

FAQs on Class 9 Maths Chapter 4 Previous Year Questions - Linear Equations in Two Variables

1. What are linear equations in two variables?
Ans. Linear equations in two variables are mathematical expressions that represent a straight line when graphed on a coordinate plane. They can be written in the standard form Ax + By + C = 0, where A, B, and C are constants, and x and y are the variables.
2. How can we solve linear equations in two variables?
Ans. Linear equations in two variables can be solved using various methods, including the substitution method, elimination method, and graphical method. In the substitution method, one variable is expressed in terms of the other, and then substituted into the second equation. The elimination method involves adding or subtracting equations to eliminate one variable, making it easier to solve for the other.
3. What is the graphical representation of a linear equation in two variables?
Ans. The graphical representation of a linear equation in two variables is a straight line on the coordinate plane. Each point on the line corresponds to a solution of the equation, and the slope of the line indicates the rate of change of y with respect to x. The y-intercept is the point where the line crosses the y-axis.
4. What are the different forms of linear equations in two variables?
Ans. Linear equations in two variables can be expressed in several forms, including: 1. Standard Form: Ax + By + C = 0 2. Slope-Intercept Form: y = mx + b, where m is the slope and b is the y-intercept. 3. Intercept Form: x/a + y/b = 1, where a and b are the x-intercept and y-intercept, respectively.
5. How do we determine if two linear equations are consistent or inconsistent?
Ans. Two linear equations are considered consistent if they have at least one solution, meaning their graphs intersect at one point (for two distinct lines) or they are the same line (infinitely many solutions). They are inconsistent if the lines are parallel and do not intersect, indicating that there is no solution.
Related Searches

Semester Notes

,

Objective type Questions

,

past year papers

,

video lectures

,

Free

,

Viva Questions

,

Class 9 Maths Chapter 4 Previous Year Questions - Linear Equations in Two Variables

,

Important questions

,

Previous Year Questions with Solutions

,

Summary

,

Sample Paper

,

Extra Questions

,

Class 9 Maths Chapter 4 Previous Year Questions - Linear Equations in Two Variables

,

Class 9 Maths Chapter 4 Previous Year Questions - Linear Equations in Two Variables

,

shortcuts and tricks

,

Exam

,

ppt

,

mock tests for examination

,

practice quizzes

,

study material

,

MCQs

,

pdf

;