Class 9 Exam  >  Class 9 Notes  >  Mathematics (Maths) Class 9  >  Previous Year Questions : Circles

Class 9 Maths - Circles Previous Year Questions

Very Short Answer Type Questions 

Q1. If points A, B and C are such that AB ⊥ BC and AB = 12 cm, BC = 16 cm. Find the radius of the circle passing through the points A, B and C.  [2025]
 Sol:
 

∵ AB ⊥ BC
∴ ∠B = 90°                  [Angle in a semicircle]
⇒ AC is a diameter 

Class 9 Maths - Circles Previous Year Questions

Class 9 Maths - Circles Previous Year Questions

AC = 20

Radius = 10cm

 

Q2. The angles subtended by a chord at any two points of a circle are equal. Write true or false for the above statement and justify your answer. [2023]
Sol:
 

False. If two points lie in the same segment only, then the angles will be equal otherwise they are not equal.

Short Answer Type Questions

Q1. In the figure AOC is a diameter of the circle and arc AXB = (1/2) arc BYC. Find ∠BOC. [2025]
Sol:

∵ arc AXB = (1/2)arc BYC
∴ ∠AOB = (1/2) ∠BOC

Class 9 Maths - Circles Previous Year Questions

Also ∠AOB + ∠BOC = 180°
⇒  (1/2)∠BOC + ∠BOC = 180°
⇒  (3/2) ∠BOC = 180°
⇒ ∠BOC =  (1/2) × 180° = 120°


Q2. In the figure ∠ABC = 45°. Prove that OA ⊥ OC. [2024]
Sol: 

Since the angle subtended at the centre by an arc is double the angle subtended by it at any other point on the remaining part of the circle.

Class 9 Maths - Circles Previous Year Questions

∴ ∠ABC =(1/2)∠AOC
⇒ ∠AOC = 2 ∠ABC = 2 × 45° = 90°                  [∵ ∠ABC = 45°]
Thus, OA ⊥ OC.

Q3. In the adjoining figure, O is the centre of the circle. Find the length of AB. [2023]
Sol:

Since chord AB and chord CD subtend equal angles at the centre,
i.e. ∠ AOB = ∠ COD                  [Each = 60°]

Class 9 Maths - Circles Previous Year Questions

∴ Chord AB = Chord CD
⇒ Chord AB = 5 cm                  [∵ Chord CD = 5 cm]
Thus, the required length of chord AB is 5 cm.

Q4. In the adjoining figure, O is the centre of the circle and OP = OQ. If AP = 4 cm, then find the length of CD. [2022]
Sol:

 ∵ OP = OQ
∴ Chord AB and chord CD are equidistant from the centre.

Class 9 Maths - Circles Previous Year Questions

Class 9 Maths - Circles Previous Year Questions

Class 9 Maths - Circles Previous Year Questions

Thus, the required length of CD is 8 cm.

Q5. If O is the centre of the circle, then find the value of x. [2021]
 Sol:

 ∵ AOB is a diameter.
∴ ∠ AOC + ∠ COB = 180°                  [Linear pairs]
⇒ 130° + ∠ COB = 180°
⇒ ∠ COB = 180° - 130° = 50°
Now, the arc CB is subtending ∠COB at the centre and ∠CDB at the remaining part.

Class 9 Maths - Circles Previous Year Questions

∴ ∠ CDB = (1/2)∠COB
⇒ ∠ CDB = (1/2)x 50° = 25°
Thus, the measure of x = 25°


Q6. The radius of a circle is 17 cm. A chord of length 30 cm is drawn. Find the distance of the chord from the centre. [2020]
Sol:

Length of chord AB = 30 cm.
Since, OP ⊥ AB
∴ P is the mid-point of AB.

Class 9 Maths - Circles Previous Year Questions

AP = (1/2)AB =(1/2) x 30 cm = 15 cm
Now, in right ΔAPO, AO2 = AP2 + OP2
⇒ 172 = 15+ OP2
∴ OP2 = 172 - 152 = (17 - 15)(17 + 15)
= 2 x 32 = 64
⇒ OP = 64 = 8 cm
∴ The distance of the chord AB from the centre O is 8 cm.

Long Answer Type Questions

Q1. An equilateral triangle is inscribed in a circle. Find the radius of the circle. [2024]
Sol:
 

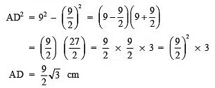
Let ABC be an equilateral triangle such that AB = BC = AC = 9 cm                  (each)
Let us draw a median AD corresponding to BC.
∴ BD =(1/2) BC
⇒ BD = (1/2) x 9 cm = (9/2)cm
Also, AD ⊥ BC                  [∵ O is the centre of the circle]
Now, in right ΔADB,

Class 9 Maths - Circles Previous Year Questions

AD2 = AB2 - BD2

Class 9 Maths - Circles Previous Year Questions

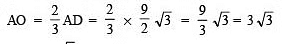
Since, in an equilateral triangle, the centroid and circumcentre coincide.

∴ AO: OD = 2:1

⇒   Class 9 Maths - Circles Previous Year Questions

⇒ Radius = 3√3 cm

Thus, the required radius =  3√3 cm

The document Class 9 Maths - Circles Previous Year Questions is a part of the Class 9 Course Mathematics (Maths) Class 9.
All you need of Class 9 at this link: Class 9
40 videos|471 docs|57 tests

FAQs on Class 9 Maths - Circles Previous Year Questions

1. What are the basic properties of circles that students should know?
Ans. Circles have several fundamental properties, including that all points on the circumference are equidistant from the center. The radius is the distance from the center to any point on the circle, while the diameter is twice the radius and passes through the center. The circumference is the total distance around the circle, calculated using the formula C = 2πr, where r is the radius. The area of a circle can be determined using the formula A = πr².
2. How do you calculate the area and circumference of a circle?
Ans. The area (A) of a circle is calculated using the formula A = πr², where r is the radius. The circumference (C) can be calculated using the formula C = 2πr. To find these measurements, you must first determine the radius of the circle. For example, if the radius is 5 units, the area would be A = π(5)² = 25π square units, and the circumference would be C = 2π(5) = 10π units.
3. What is the relationship between the diameter and the radius of a circle?
Ans. The diameter of a circle is directly related to its radius. Specifically, the diameter (d) is always twice the radius (r), expressed mathematically as d = 2r. Conversely, the radius can be found by halving the diameter, which is r = d/2. This relationship is essential for solving problems involving the dimensions of circles.
4. What are the different types of angles formed by intersecting chords in a circle?
Ans. When two chords intersect inside a circle, they form four angles. The angle formed between two intersecting chords is equal to half the sum of the measures of the arcs intercepted by the angle and its vertical angle. This principle is known as the Angle of Intersecting Chords Theorem. Additionally, if an angle is formed outside the circle by two intersecting tangents or secants, its measure is half the difference of the intercepted arcs.
5. How do circles relate to other geometric shapes in terms of properties and formulas?
Ans. Circles are unique geometric shapes characterized by their constant radius and central point. When comparing circles to other shapes, such as ellipses or triangles, circles have specific formulas for area and circumference that are distinct. For example, while the area of a triangle is A = 1/2 × base × height, the area of a circle involves π and the radius squared. Furthermore, circles can be inscribed in polygons or circumscribed about them, demonstrating their relationship with other geometric figures.
Related Searches

Extra Questions

,

ppt

,

Objective type Questions

,

Class 9 Maths - Circles Previous Year Questions

,

practice quizzes

,

Sample Paper

,

Free

,

Summary

,

pdf

,

video lectures

,

mock tests for examination

,

MCQs

,

Important questions

,

Class 9 Maths - Circles Previous Year Questions

,

shortcuts and tricks

,

Class 9 Maths - Circles Previous Year Questions

,

Exam

,

Viva Questions

,

past year papers

,

Previous Year Questions with Solutions

,

Semester Notes

,

study material

;