Chemistry Exam  >  Chemistry Notes  >  Inorganic Chemistry  >  Classification Of Ligands - Coordination Chemistry

Classification Of Ligands - Coordination Chemistry | Inorganic Chemistry PDF Download

Ligands in Coordination Chemistry

In coordination chemistry, a ligand is an ion or molecule (functional group) that binds to a central metal atom to form a coordination complex. 

  • A ligand is an ion or molecule, which donates a pair of electrons to the central metal atom or ion to form a coordination complex. 
  • The word ligand is from Latin, which means “tie or bind”. Ligands can be anions, cations, and neutral molecules. 
  • Ligands act as Lewis bases (donate electron pairs) and central metal atoms viewed as Lewis acid (electron pair acceptor). The nature of bonding between metal to ligand varies from covalent bond to ionic bond.

Classification of Ligands

Classification Of Ligands - Coordination Chemistry | Inorganic Chemistry


Question for Classification Of Ligands - Coordination Chemistry
Try yourself:
Which of the following is NOT a classification of ligands in coordination chemistry?
View Solution

On the Basis of Charge

  • Occasionally ligands can be cations (NO+, N2H5+) and electron-pair acceptors.
  • Examples for anionic ligands are F, Cl, Br, I, S2, CN, NCS, OH, NH2 and neutral ligands are NH3, H2O, NO, CO. 
  • Some other examples and their names are: 
Negative ligands

F fluoro                        

Cl chloro             

Br bormo     

I iodo                           

OH hydroxo         

O2– oxo       

O22– peroxo                  

O2– superoxo       

H hydrido       

NH–2 imido                    

N–3 nitrido           

N3 azido       

S2O32– thiosulphato     

CN cyano           

NO3 nitrato

 

Neutral ligands which are named as such:

(C6H5)3P     triphenyl phosphine    

(C2H5)3 P    triethyl phosphine

C2H          ethylene                      

C5H5N         pyridine (py)

NH2 – NH  hydrazine                   

CH3NH2       methylamine

  

Neutral ligands which are given special name:

CO           carbonyl                   

H2O          aqua

NH3         ammine                    

NO          nitrosyl

CS           thiocarbonyl              

NS           thionitrosyl

 

On the Basis of Number of Donor Sites


Ligands can be classified as monodentate or polydentate ligands (viz. Bidentate, tridentate) depending on the number of ligands donor atoms that attach to the metal ion or atom.

(1) Monodentate Ligands: 

Monodentate ligands are also called “one-toothed“ because they bite the metal atom only in one place.

  • A ligand that shares the electron pair of a single donor atom with a metal atom or ion is called a monodentate ligand. 
  • The word monodentate comes from the Greek: monos and the Latin: dentis, monos means one and dentis means tooth, which literally means one tooth. 
  • Therefore, it means that a monodentate ligand bites a metal cation or atom with one lone pair of electrons. 
  • In general, the denticity of a ligand is the number of pairs of electrons shared with the metal atom or ion. Some common monodentate ligands are shown below:
LigandLewis structureName
BrClassification Of Ligands - Coordination Chemistry | Inorganic ChemistryBromide ion
FClassification Of Ligands - Coordination Chemistry | Inorganic ChemistryFluoride ion
ClClassification Of Ligands - Coordination Chemistry | Inorganic ChemistryChloride ion
IClassification Of Ligands - Coordination Chemistry | Inorganic ChemistryIodide ion
H2OClassification Of Ligands - Coordination Chemistry | Inorganic ChemistryWater
NH3Classification Of Ligands - Coordination Chemistry | Inorganic ChemistryAmmonia
OHClassification Of Ligands - Coordination Chemistry | Inorganic ChemistryHydroxide
COClassification Of Ligands - Coordination Chemistry | Inorganic ChemistryCarbon monoxide
CNClassification Of Ligands - Coordination Chemistry | Inorganic ChemistryCyanide ion
SCNClassification Of Ligands - Coordination Chemistry | Inorganic ChemistryThiocyanate ion

 

(2) Bidentate Ligands

Lewis base which donates two lone pairs of electrons to the central metal atom is known as bidentate ligands.

  • They are often referred to as a “chelating ligands”. The complex which contains chelating ligands is called “Chelates”.
  • These ligands have two donor atoms that can attach to a single metal cation or atom. 
  • Bidentate ligands form one 5- or 6-membered ring with a metal ion or atom. Some examples of bidentate ligands are below:
Classification Of Ligands - Coordination Chemistry | Inorganic ChemistryEthylenediammine (en)
Classification Of Ligands - Coordination Chemistry | Inorganic ChemistryAcetylacetonate ion (acac)
Classification Of Ligands - Coordination Chemistry | Inorganic ChemistryPhenanthroline (phen)
Classification Of Ligands - Coordination Chemistry | Inorganic ChemistryOxalate ion (ox)


                                                               
Classification Of Ligands - Coordination Chemistry | Inorganic Chemistry
Classification Of Ligands - Coordination Chemistry | Inorganic Chemistry                   Troplonato
Classification Of Ligands - Coordination Chemistry | Inorganic Chemistry                      ethylenediamine (en)
Classification Of Ligands - Coordination Chemistry | Inorganic Chemistry               propylenediamine (pn) or 1, 2-diaminopropane
Classification Of Ligands - Coordination Chemistry | Inorganic Chemistry        butylenediamine (bn) or 2, 3-diaminopropane
Classification Of Ligands - Coordination Chemistry | Inorganic Chemistry              isobutylenediamine (i- bn)
Classification Of Ligands - Coordination Chemistry | Inorganic Chemistry             bipyridine or bipyridyl (bpy or bipy)
Classification Of Ligands - Coordination Chemistry | Inorganic Chemistry             1, 10-phenanthroline Or o-phenanthroline (o-phen or phen)

 Classification Of Ligands - Coordination Chemistry | Inorganic Chemistry               o-phenylene bis dmethylarisine (diars)

 

Note: The ligands like CO32-, CH3COO-, NO2-, NO3-, SO32-, SO42-, NH2- NH2, O2N2, etc. have two donor atoms but in general, they act as monodentate ligands. They form either four or three-membered rings including metal cation or atom and there will be repulsion between donor atoms and their electron pairs which causes the ring to be strained and hence unstable.

Classification Of Ligands - Coordination Chemistry | Inorganic Chemistry    Four Membered ring

Classification Of Ligands - Coordination Chemistry | Inorganic Chemistry

These ligands may behave as bidentate ligands when the size of the metal cation is large like lanthanoids. For example, NO3- behaves as a bidentate ligand in [Ce(NO3)6]2– in which the coordination number of Ce4+ is 12.

Question for Classification Of Ligands - Coordination Chemistry
Try yourself:
Which ligand is an example of a bidentate ligand?
View Solution

(3) Polydentate Ligands

The ligands that bond to metal cation or atom through electron pairs present on more than one donor atoms are called multidentate or polydentate ligands (many toothed ligands).

  • Polydentate ligands form one or more rings with a metal cation or atom. 
  • Polydentate ligands are called chelating ligands (the word derived from chele meaning claw) because the interaction of two or more electron pairs to a metal ion resulting in the formation of one or more rings including metal ion resembles the grasping of an object by the claw of a crab. 
  • The polydentate ligands in general, form five or six-membered rings including metal ions, which are called chelate rings, and the complexes containing chelate rings are called chelates.
  • The extra stability of chelates as compared to similar non-chelates is called the chelate effect.

Classification of Polydentate Ligands

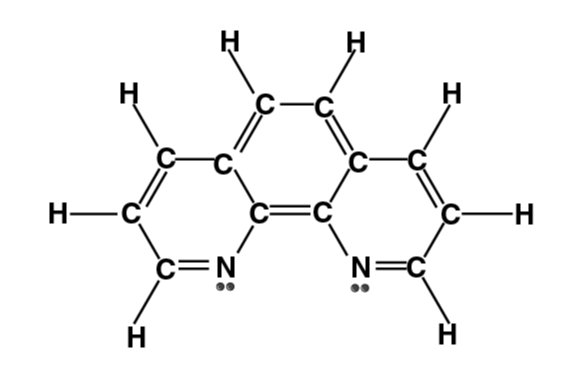
Tridentate Ligands

Tridentate ligands have three lone pairs of electrons to the central metal atom or ion.

Some important examples of tridentate ligands are shown below:

Classification Of Ligands - Coordination Chemistry | Inorganic ChemistryClassification Of Ligands - Coordination Chemistry | Inorganic Chemistry

Classification Of Ligands - Coordination Chemistry | Inorganic ChemistryClassification Of Ligands - Coordination Chemistry | Inorganic Chemistry

 

Tetradentate Ligands 

Molecules with four donor atoms are called tetradentate.

Some important examples of tetradentate ligands are given below:

 

Classification Of Ligands - Coordination Chemistry | Inorganic ChemistryClassification Of Ligands - Coordination Chemistry | Inorganic Chemistry
Classification Of Ligands - Coordination Chemistry | Inorganic Chemistry
Classification Of Ligands - Coordination Chemistry | Inorganic Chemistry
 

Pentadentate Ligands 

Molecules with five donor atoms are called Pentadentate.

Important examples of pentadentate ligands are given below:

Classification Of Ligands - Coordination Chemistry | Inorganic Chemistry
Classification Of Ligands - Coordination Chemistry | Inorganic Chemistry

 Hexadentate Ligands 

Molecules with Six donor atoms are called Hexadentate Ligands.

The most important examples of hexadentate ligands is:

Classification Of Ligands - Coordination Chemistry | Inorganic Chemistry

  • Since EDTA4– bonds to a metal ion through six donor atoms, therefore, it forms highly stable complexes and in general, is used to hold metal ions in solution.
    EDTA4– ligand is used to trap metal ions such as Mg+ and Ca2+ ions in hard water.
    EDTA4– is also used to treat metal, especially lead poisoning. 
  • Six donor atoms of EDTA4– bond to Pb2+ ion to form very stable complex ion (figure 5) which is removed from the blood and tissues and excreted from the body with the help of kidneys as a soluble chelate, [Pb(EDT)]2–.

Classification Of Ligands - Coordination Chemistry | Inorganic Chemistry

On the Basis of Bonding

Ambidentate Ligands

The monodentate ligands which have two or more different donor atoms can coordinate to a metal cation through either of the two different atoms. These ligands are called ambidentate ligands. 

When ambidentate ligand coordinates to the metal cation through either of the two donor atom, two different compounds are obtained which are called linkage isomers. Examples of ambidentate ligands are:
Classification Of Ligands - Coordination Chemistry | Inorganic ChemistryClassification Of Ligands - Coordination Chemistry | Inorganic ChemistryBut except Classification Of Ligands - Coordination Chemistry | Inorganic Chemistry

Classification Of Ligands - Coordination Chemistry | Inorganic Chemistrynone of these has yet produced linkage isomers.NO -ligand, for example, can coordinate to a metal cation through either N or O atom as shown in Fig. 6.

Classification Of Ligands - Coordination Chemistry | Inorganic ChemistryClassification Of Ligands - Coordination Chemistry | Inorganic Chemistry

Similarly, SCN can coordinate with metal cation either through S or N atom as shown below:

M ←SNC                              M ← NCS

S-atom of SCN                    N-atom of SCN

Coordinated to metal ion    coordinated to metal ion


Chelating Ligands

Chelating ligands (chelates) – Ligands that have two or more points of attachment to the metal atom or ion such as Bidentate, tridentate, tetradentate, pentadentate, hexadentate (EDTA) ligands.

Example: [Cr(ox)3]3- has oxalate ion as the chelating ligand.

Classification Of Ligands - Coordination Chemistry | Inorganic Chemistry
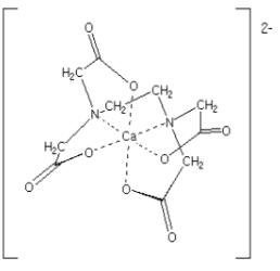
Example: [Ca(EDTA)]2- has EDTA ion as the chelating ligand.

Classification Of Ligands - Coordination Chemistry | Inorganic Chemistry


Question for Classification Of Ligands - Coordination Chemistry
Try yourself:
Which of the following ligands can form a chelate ring with a metal ion?
View Solution

Bridging Ligands

The ligands in which one or two different donor atoms have atleast two pairs of electrons and share these electron pairs with two metal ions or atoms (one pair with one atom or ion) simultaneously are called bridging ligands. 

The interaction of bridging ligand with metal ions or atoms can be represented

as M ← : L : → M.

The monodentate ligands having two lone pair of electrons on one donor atom which act as bridging ligands are Classification Of Ligands - Coordination Chemistry | Inorganic ChemistryThe monodentate ligands having two lone pairs on two different atoms (one pair on one atom) are 

Classification Of Ligands - Coordination Chemistry | Inorganic ChemistryClassification Of Ligands - Coordination Chemistry | Inorganic Chemistry

The document Classification Of Ligands - Coordination Chemistry | Inorganic Chemistry is a part of the Chemistry Course Inorganic Chemistry.
All you need of Chemistry at this link: Chemistry
50 videos|92 docs|41 tests

FAQs on Classification Of Ligands - Coordination Chemistry - Inorganic Chemistry

1. What are ligands in coordination chemistry?
Ans. Ligands are molecules or ions that can donate one or more electron pairs to form a coordinate bond with a metal ion or atom, forming a coordination complex.
2. How are ligands classified in coordination chemistry?
Ans. Ligands can be classified on the basis of charge as cationic, anionic, or neutral, and on the basis of the number of donor sites as monodentate, bidentate, tridentate, etc. They can also be classified based on their bonding as sigma donors, pi donors, or pi acceptors.
3. What is the significance of polydentate ligands?
Ans. Polydentate ligands have two or more donor atoms that can form multiple coordinate bonds with a metal ion or atom, resulting in a more stable coordination complex. They are commonly used in coordination chemistry because they can form chelate rings, which increase the thermodynamic stability of the complex.
4. How do ligands form coordinate bonds with metal ions or atoms?
Ans. Ligands form coordinate bonds with metal ions or atoms by donating one or more electron pairs to the metal ion or atom. The metal ion or atom accepts these electron pairs, forming a coordinate bond in which the electron pair is shared between the ligand and the metal ion or atom.
5. What is the role of ligands in the formation of coordination complexes?
Ans. Ligands play a crucial role in the formation of coordination complexes by donating electron pairs to the metal ion or atom, forming coordinate bonds. These bonds stabilize the complex and determine its geometry and properties, such as color, magnetic behavior, and reactivity. The choice of ligand can also affect the stability and selectivity of the complex.
Related Searches

Important questions

,

Semester Notes

,

video lectures

,

Viva Questions

,

Extra Questions

,

Summary

,

MCQs

,

Objective type Questions

,

Free

,

mock tests for examination

,

Previous Year Questions with Solutions

,

study material

,

past year papers

,

ppt

,

Sample Paper

,

Classification Of Ligands - Coordination Chemistry | Inorganic Chemistry

,

Exam

,

shortcuts and tricks

,

Classification Of Ligands - Coordination Chemistry | Inorganic Chemistry

,

pdf

,

practice quizzes

,

Classification Of Ligands - Coordination Chemistry | Inorganic Chemistry

;