CAT Exam  >  CAT Notes  >  Practice Questions Level 2: Clocks & Calendars - 2

Clocks & Calendars Questions for CAT with Answers PDF

This EduRev document offers 20 Multiple Choice Questions (MCQs) from the topic Clocks & Calendars (Level - 2). These questions are of Level - 2 difficulty and will assist you in the preparation of CAT & other MBA exams. You can practice/attempt these CAT Multiple Choice Questions (MCQs) and check the explanations for a better understanding of the topic.

Question for Practice Questions Level 2: Clocks & Calendars - 2
Try yourself:At what time between 5 and 6 o'clock will the hands of a clock be 3 minutes apart?  
View Solution

Question for Practice Questions Level 2: Clocks & Calendars - 2
Try yourself:In the year 1648, if February had 5 Sundays, then what was the day on February 13, 1750?  
View Solution

Question for Practice Questions Level 2: Clocks & Calendars - 2
Try yourself:At what time between 4 o'clock and 5 o'clock will the hands of a clock be at a right angle?
View Solution

Question for Practice Questions Level 2: Clocks & Calendars - 2
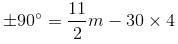
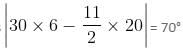
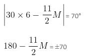
Try yourself:At what time between 4:15 a.m. and 5:05 a.m. will the angle between the hour hand and the minute hand of a clock be the same as the angle between the hands at 8:45 p.m.?
View Solution

Question for Practice Questions Level 2: Clocks & Calendars - 2
Try yourself:Alex turned a clock on at 3:00 pm. But the clock is defective, due to which it lags behind by 9 minutes after each day (24 hours). What will be the real time when the clock indicates 6:00 am on the 4th day of it's successive working?  
View Solution

Question for Practice Questions Level 2: Clocks & Calendars - 2
Try yourself:If 15th March, 2013 was a Friday, then 10th July, 2013 will be a  
View Solution

Question for Practice Questions Level 2: Clocks & Calendars - 2
Try yourself:At what time between 7 o'clock and 8 o'clock will the hands of a clock be in a straight line but not together?
View Solution

Question for Practice Questions Level 2: Clocks & Calendars - 2
Try yourself:How many days will there be from 23rd January, 2011 to 31st July, 2013 (both days included)?  
View Solution

Question for Practice Questions Level 2: Clocks & Calendars - 2
Try yourself:Two clocks are set correctly at 10 a.m. on Friday. The first clock gains 2 minutes per hour, which is twice as much as gained by the second clock. What time will the second clock register when the correct time is 2 p.m. on the following Monday?  
View Solution

Question for Practice Questions Level 2: Clocks & Calendars - 2
Try yourself:A man went outside between 7 o'clock and 9 o'clock at such a time that the minute hand and the hour hand were found to be coinciding before 8 o'clock; and when he returned, again he found both the hands to be coinciding, but after 8 o'clock. What was the time when he returned to the house?
View Solution

Question for Practice Questions Level 2: Clocks & Calendars - 2
Try yourself:A clock gains 2 minutes in an hour and an other clock loses 4 minutes in an hour. If both these clocks were set at 8 a.m, what will be the time in the first clock, if the second clock shows 10 p.m?  
View Solution

Question for Practice Questions Level 2: Clocks & Calendars - 2
Try yourself:At what time between 9 and 10 will the hands of a clock be together?
View Solution

Question for Practice Questions Level 2: Clocks & Calendars - 2
Try yourself:What day of the week was it on 15th August, 1987?  
View Solution

Question for Practice Questions Level 2: Clocks & Calendars - 2
Try yourself:How many times during a day will the hour hand and the minute hand of a clock be six minutes apart?  
View Solution

Question for Practice Questions Level 2: Clocks & Calendars - 2
Try yourself:In a college, a 24-hour watch loses 5 minutes in 3 hours. If it is set correct on Tuesday midnight, then when will the watch show the correct time next?  
View Solution

Question for Practice Questions Level 2: Clocks & Calendars - 2
Try yourself:A clock shows the time as 6 am. If the minute hand gains 2 minutes every hour, then how many minutes will the clock gain by 9 pm?  
View Solution

Question for Practice Questions Level 2: Clocks & Calendars - 2
Try yourself:A tutor teaches 8 days consecutively and then takes off on the ninth day. If he starts teaching on Monday, then on what day of the week will he get his 12th off day?  
View Solution

Question for Practice Questions Level 2: Clocks & Calendars - 2
Try yourself:I purchased some clocks from a second hand goods store. There were some problems in them. When the actual time passed 1 hour, the wall clock was 10 minutes behind it. When 1 hour was shown by the wall clock, the table clock showed 10 minutes ahead of it. When table clock showed 1 hour, the alarm clock was 5 minutes behind it. When alarm clock showed 1 hour, the wrist watch was 5 minutes ahead of it. Assuming that all clocks are correct with actual time at 12 noon, what will be shown by the wrist watch after 6 hours?  
View Solution

Question for Practice Questions Level 2: Clocks & Calendars - 2
Try yourself:Today is Friday. A person wants to take a doctor's appointment. As the doctor is busy, he asks him to come three days after the day before the day after tomorrow. On which of the following days does the doctor ask the person to come?  
View Solution

Question for Practice Questions Level 2: Clocks & Calendars - 2
Try yourself:If the current time is 6:20, then after how much time will the hands of the clock make the same angle as they do at present?
View Solution

The document Clocks & Calendars Questions for CAT with Answers PDF is a part of CAT category.
All you need of CAT at this link: CAT
Download as PDF

Top Courses for CAT

Related Searches

pdf

,

Semester Notes

,

Previous Year Questions with Solutions

,

Clocks & Calendars Questions for CAT with Answers PDF

,

Clocks & Calendars Questions for CAT with Answers PDF

,

past year papers

,

Extra Questions

,

Important questions

,

shortcuts and tricks

,

Summary

,

Sample Paper

,

Clocks & Calendars Questions for CAT with Answers PDF

,

video lectures

,

mock tests for examination

,

ppt

,

practice quizzes

,

Exam

,

MCQs

,

Free

,

study material

,

Viva Questions

,

Objective type Questions

;