Civil Engineering (CE) Exam  >  Civil Engineering (CE) Notes  >  Compatibility Condition

Compatibility Condition - Civil Engineering (CE) PDF Download

Compatibility condition 
Till now we studied on ways to find the strain given a displacement field. However, there arises a need while solving boundary value problems wherein we would need to find the displacement given the strain field. This problem involves finding the 3 components of the displacement from the 6 independent components of the strain (only six components since strain is a symmetric tensor) that has been prescribed. To be able to find a continuous displacement field from the prescribed 6 components of the linearized strain, all these 6 components cannot be prescribed arbitrarily. The restrictions that these prescribed 6 components of the strain should satisfy is given by the compatibility condition. These restrictions are obtained from the requirement that the sequence of differentiation is immaterial when the first derivative of the multivariate function is continuous, i.e., Compatibility Condition - Civil Engineering (CE) . Working with index notation, the Cartesian components of the linearized strain is, 

Compatibility Condition - Civil Engineering (CE)

where ui are the Cartesian components of the displacement vector, xi are the Cartesian coordinates of a point. Then, computing

Compatibility Condition - Civil Engineering (CE)

we find that

Compatibility Condition - Civil Engineering (CE)

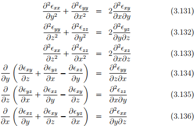
since the order of differentiation is immaterial. Equation (3.130) is called Saint Venant compatibility equations. It can be also seen that equation (3.130) has 81 individual equations as each of the index - i, j, k, l - takes values 1, 2 and 3. It has been shown that of these 81 equations most are either simple identities or repetitions and only 6 are meaningful. These six equations involving the 6 independent Cartesian components of the linearized strain are:

Compatibility Condition - Civil Engineering (CE)

Next, we show that these 6 equations are necessary conditions. For this assume ∈xy = xy and all other component of the strains are 0. For this strain it can be shown that equation (3.131) alone is violated and that no smooth displacement field would result in this state of strain. Similarly, on assuming

Compatibility Condition - Civil Engineering (CE)

we find that for each of these state of strain only one of the compatibility equations is violated; equation (3.132) for the first strain and (3.133) for the other strain. In the same fashion, on assuming

Compatibility Condition - Civil Engineering (CE)

we find that for each of these state of strain only one of the compatibility equations is violated; equation (3.134) for the first strain, (3.135) for the second strain and (3.136) for the last strain. Thus, we find that all the six equations are required to ensure the existence of a smooth displacement field given a strain field.

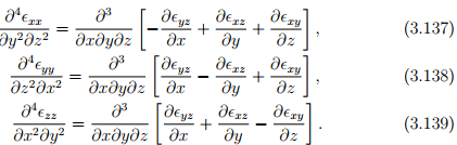
However, there are claims that the number of independent compatibility equations is only three. This is not correct for the following reasons. On differentiating the strain field four times instead of twice as done in case of compatibility condition, the six compatibility equations (3.131) through (3.136) can be shown to be equivalent to the following three equations:

Compatibility Condition - Civil Engineering (CE)

This assumes existence of non-zero higher derivatives of strain field which may not be always true, as in the case of the strain field assumed above. Hence, only if higher order derivatives of strain field exist and is different from zero can one replace the 6 compatibility conditions (3.131) through (3.136) by (3.137) through (3.139).

Further, it is not easy to show that the above compatibility conditions (3.131) through (3.136) are sufficient to find a smooth displacement field given a strain field (see for example Sadd [4] to establish sufficiency of these conditions). In fact the sufficiency of these conditions in multiply connected8 bodies is yet to be established.

It should be mentioned that the form of the compatibility equation depends on the strain measure that is prescribed. For Cauchy-Green strain it is given in terms of the Riemannian tensor for simply connected bodies9 . However, it is still not clear what these compatibility conditions have to be for other classes of bodies when Cauchy-Green strain is used. Development of compatibility conditions for other strain measures is beyond the scope of this course.

The document Compatibility Condition - Civil Engineering (CE) is a part of Civil Engineering (CE) category.
All you need of Civil Engineering (CE) at this link: Civil Engineering (CE)

FAQs on Compatibility Condition - Civil Engineering (CE)

1. What is the compatibility condition in mathematics?
Ans. The compatibility condition in mathematics refers to a condition that must be satisfied in order for a system of equations or functions to have a solution. It ensures that the equations or functions are consistent and can be solved simultaneously.
2. How is the compatibility condition determined in linear algebra?
Ans. In linear algebra, the compatibility condition is determined by checking the rank of the coefficient matrix. If the rank of the coefficient matrix is equal to the rank of the augmented matrix, then the system of equations is said to be compatible and has a unique solution. Otherwise, it is either incompatible (no solution) or has infinitely many solutions.
3. Can the compatibility condition be used in differential equations?
Ans. Yes, the compatibility condition can be used in differential equations. In the context of differential equations, the compatibility condition ensures that a solution exists for a given initial value problem. It is often used to check if a set of partial differential equations is compatible and can be solved.
4. How does the compatibility condition relate to boundary conditions in physics?
Ans. In physics, the compatibility condition plays a crucial role in determining the appropriate boundary conditions for a given problem. It ensures that the chosen boundary conditions are consistent with the underlying equations of the physical system. By satisfying the compatibility condition, one can obtain physically meaningful solutions that accurately describe the behavior of the system at its boundaries.
5. Are there any practical applications of the compatibility condition in engineering?
Ans. Yes, the compatibility condition has various practical applications in engineering. It is used in structural analysis to determine if a set of forces applied to a structure is in equilibrium. It is also employed in fluid mechanics to ensure that the velocity field and pressure distribution satisfy the governing equations. Additionally, the compatibility condition is utilized in electrical circuit analysis to verify the compatibility of various circuit elements.
Download as PDF

Top Courses for Civil Engineering (CE)

Related Searches

Important questions

,

practice quizzes

,

Compatibility Condition - Civil Engineering (CE)

,

Free

,

ppt

,

Summary

,

Previous Year Questions with Solutions

,

Extra Questions

,

shortcuts and tricks

,

video lectures

,

Viva Questions

,

Objective type Questions

,

study material

,

Compatibility Condition - Civil Engineering (CE)

,

Compatibility Condition - Civil Engineering (CE)

,

pdf

,

Semester Notes

,

Sample Paper

,

Exam

,

mock tests for examination

,

MCQs

,

past year papers

;