Chemistry Exam  >  Chemistry Notes  >  Physical Chemistry  >  Concentration Cells with and without Transport

Concentration Cells with and without Transport | Physical Chemistry PDF Download

CONCENTRATION CELL
The cells in which electrical current is produced due to transport of a substance from higher to lower concentration. Concentration gradient may arise either in electrode material or in electrolyte.  Thus there are two types of concentration  cell .
(i) Electrode concentration cell
(ii) Electrolyte concentration cell

Electrode Gas concentration cell 

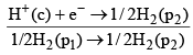
Pt, H2(P1) | H+(C) | H2(P2), Pt
Here, hydrogen gas is bubbled at two different partial pressures at electrode dipped in the solution of same electrolyte.
Cell process :    1 / 2H2 (p1)→H+ (c)+e -       (Anode process)

 Concentration Cells with and without Transport | Physical Chemistry
Concentration Cells with and without Transport | Physical Chemistry

or   Concentration Cells with and without Transport | Physical Chemistry

 

For sontaneity of such cell reaction, p1> p2

Electrolyte concentration cells: 

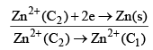
Zn(s) | ZnSO4 (C1) || ZnSO4 (C2) | Zn(s)

In such cells, concentration gradient arise in electrolyte solutions. Cell process may be given as,

Zn ( s ) → Zn 2+ ( C1 ) + 2e - (Anodic process)

 Concentration Cells with and without Transport | Physical Chemistry(Over all process)
∴  From Nernst equation, we have

Concentration Cells with and without Transport | Physical ChemistryConcentration Cells with and without Transport | Physical Chemistry

For spontanity of such cell reaction, C2> C1


CONCNETRATION CELLS WITHOUT LIQUID JUNCTION POTENTIAL

Concentration cells are made up of two half-cells which are similar chemcially but differ in the activity of some comon component. The common component may be the electrode or the electrolytic solution.
The emf of the cell is due to the differnece of activity of the common component. We descrribe below three categories of concentration cells without liquid junction.

Cells with Amalgam Electrodes

 Pb(Hg)(aPb = a1) | Pb2+ (aPb2+) | Pb(Hg) (aPb = a2)

Electrode                          Reduction reaction                         Reduction Potential

  Right   Concentration Cells with and without Transport | Physical Chemistry

  Left  Concentration Cells with and without Transport | Physical Chemistry

 

Substracting Eq. (ii) from eq. (i), we get

Pb(Hg)(a1) = Pb(Hg)(a2)

and Ecell Concentration Cells with and without Transport | Physical Chemistry

  

Cells with gas electrodes operating at differnet Pressures

Concentration Cells with and without Transport | Physical Chemistry

We have 

Electrode                    Reduction reaction                           Reduction potential

Right           Concentration Cells with and without Transport | Physical Chemistry

Left               Concentration Cells with and without Transport | Physical Chemistry

Substracting Eq. (ii) from eq. (i), we get

H2(p1) = H2(p2)

and Ecell Concentration Cells with and without Transport | Physical Chemistry

Cells with differnet Electrolytic Activities 

This type of cells can be formed by making a composite cell out of two cells differing only in the activity of the electrolytic solution. For example, the cell

Pt | H2(p) | H+Cl(a±)1 | AgCl | Ag
may be combined with a cell

Pt | H2(p) | H+Cl(a±)2 | AgCl | Ag
to give the following composite cell.
Pt | H2(p) | H+Cl(a±)1 | AgCl(s) | Ag – Ag | AgCl | H+Cl(a±)2 | H2(p) | Pt

Ecell = EL + ER

 Concentration Cells with and without Transport | Physical Chemistry

Writing the Nernst equation for each potential, we obtain

Concentration Cells with and without Transport | Physical Chemistry
 

Concentration Cells with and without Transport | Physical Chemistry


or Concentration Cells with and without Transport | Physical Chemistry

 The net cell reaction is obtained by adding the individual cell reactions. Thus, we have

 

Cell                                   Cell reaction

Right                       Concentration Cells with and without Transport | Physical Chemistry

Left                       Concentration Cells with and without Transport | Physical Chemistry

Adding eqs. (i) and (ii), we get

H+(a2) + Cl(a2) = H+(a1) + Cl(a1)

Note that the emf o the cell may be derived directly from the cell reaction.
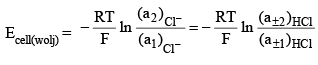
If one faraday of electricity is withdrawn from the cell, the net result that is produced is the transfer of 1 mol of each of hydrogen and chloride ions from the right-side cell to the left-side cell. A cell of this type is called a concentration cell wtihout transference. The operation of cell is not accompanied by the direct transfer of electrolyte from one solution to the other.

CONCENTRATION CELL WITH LIQUID JUNCTION POTENTIAL

Development of Liquid Junction Potential In a cell if two electrolytic solutions of different concentration are in contact with each other, a potential difference develops across the boundary of the two solutions This potential difference is called the liquid junction potential or the diffusion potential. It arises because of the difference in the rates of diffusion of positive and negative ions from more concentrated solution to less concentration solution.
The rate of diffusion of an ion is determined by its transference number. To illustrate how the liquid junction potential arises.

CELL IN WHICH ELECTRODES ARE REVERSIBLE WITH RESPECT TO CATION

A Typical Example
Consider the cell
Concentration Cells with and without Transport | Physical Chemistry

Working of the cell

(i)  Electrode reaction at anode 1/2 H2(1 bar) →  H+(a1) + e
(ii)  Electrode reaction at cathode H+(a2) + e- →  1/2H2(1 bar)
(iii)  Transfer of t+ mole of H+ from left to right t+ H+(a1)  →  t+ H+ (a2)
(iv)  Transfer of t- mole of Cl- from right to left t- Cl-(a2)  →  t- Cl- (a1)

The net change in the cell is obtained by adding the above four changes.

Thus, we have
Concentration Cells with and without Transport | Physical Chemistry
Cancelling the comon term, we get
Concentration Cells with and without Transport | Physical Chemistry
which on rearranging gives
Concentration Cells with and without Transport | Physical Chemistry
Thus, the net cell reaction is to transfer t- mole of HCl from the solution of activity ato that of activity
a1.

Free-energy of cell Reaction

The total free energy change of the net cell reaction is

=  Concentration Cells with and without Transport | Physical Chemistry

Concentration Cells with and without Transport | Physical Chemistry
Concentration Cells with and without Transport | Physical Chemistry

Cell without liquid Junction Potential
Electrode reaction at anode 1/2 H2(1 bar) →  H+(a1) + e-
Electrode reaction at cathode H+(a2) + e- →  1/2H2(1 bar)
The net cell reaction is H+(a2)  →  H+(a1)
and the cell potential is

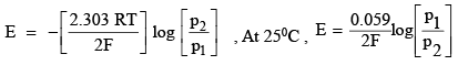
Concentration Cells with and without Transport | Physical Chemistry

 where aH+ has been replaced by the mean ionic activity a±.

Expression of liquid junction potential 

Elj 
Concentration Cells with and without Transport | Physical Chemistry

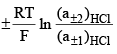
Since t+ + t = 1, equation above may be written as

Elj   = Concentration Cells with and without Transport | Physical Chemistry

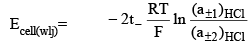
Comparing Eqs we get
Ecell(wlj) = 2t–Ecell(wolj) 

If the cell without liquid junction is to function s pontaneously, we must have
(a±2)HCl > (a±1)HCl

Comment on liquid junction potential

In a cell with (a±2)HCl > (a±1)HCl, we will have
Elj positive            if t > t

Elj negative           if t < t
and Elj zero          if t = t+

From equation above, we get

Ecell(wlj) > Ecell(wolj)              if t– > t
Ecell(wlj) < Ecell(wolj)            if t– < t+
and Ecell(wlj) = Ecell(wolj)      if t– = t+

 

CELL IN WHICH ELECTRODES ARE REVERSIBLE WITH RESPECT TO ANIONS

A typical Example Consider the cell

Concentration Cells with and without Transport | Physical Chemistry

 Working of the cell

(i)  Electrode reaction at anode Ag(s) + Cl(a1) →  AgCl(s) + e
(ii)  Electrode reaction at cathode AgCl(s) + e→  Ag(s) + Cl-(a2)
(iii)  Migration of H+ ions t+ H+(a1)  →  t+ H+ (a2)
(iv)  Migration of Cl- ions t-Cl-(a2)  →  t-Cl(a1)

The net effect is obtained by adding the above

 Concentration Cells with and without Transport | Physical Chemistry

Thus, the net cell reaction is to transfer t+ mole of HCl from the solution of activity a1 to that of activity
a2.
The free energy change of the net cell reaction is
Concentration Cells with and without Transport | Physical Chemistry

Hence Ecell(wlj) =  Concentration Cells with and without Transport | Physical Chemistry

Cell without liquid junction potential

Cl(a1)  →  Cl-(a2)

The cell potential would be   Concentration Cells with and without Transport | Physical Chemistry

where aCl- has been replaced by the mean ionic activity a±.

Expression of liquid Junction potential Now since

Eij = Ecell(wlj) – Ecell(wolj)  we get

Elj =    Concentration Cells with and without Transport | Physical Chemistry

or Elj =  Concentration Cells with and without Transport | Physical Chemistry

or Elj =   Concentration Cells with and without Transport | Physical Chemistry

Ecell(wlj) = 2t+ Ecell(wolj) 

If the cell without liquid junction is to function spontaneously, we must have

(a±1)HCl > (a±2)HCl

Comment on liquid junction potential

In general, the sign and magnitude of the liquid function potential depends on the transference numbers of involved cations and anions. In a cell with
(a±1)HCl > (a±2)HCl,
we have Elj 
positive                   if t+ > t Elj
negative                  if t+ < t– 
and Elj zero             if t+ = t

From above equation we get
Ecell(wlj) > Ecell(wolj)                 if t+ > t
Ecell(wlj) < Ecell(wolj)                 if t+ < t
and Ecell(wlj) = Ecell(wolj)          if t+ = t– 

Generalization of Results

Ecell(wlj) =  Concentration Cells with and without Transport | Physical Chemistry

Ecell(wlj) =    Concentration Cells with and without Transport | Physical Chemistry

Ecell(wlj) =    Concentration Cells with and without Transport | Physical Chemistry

Elj  

  Concentration Cells with and without Transport | Physical Chemistry

The document Concentration Cells with and without Transport | Physical Chemistry is a part of the Chemistry Course Physical Chemistry.
All you need of Chemistry at this link: Chemistry
90 videos|144 docs|67 tests

FAQs on Concentration Cells with and without Transport - Physical Chemistry

1. What is a concentration cell?
A concentration cell is a type of electrochemical cell where the only difference between the two half-cells is the concentration of the electrolyte solution. It consists of two half-cells connected by a salt bridge or porous membrane. The cell generates an electric potential difference due to the difference in concentration of the electrolyte solution.
2. How does a concentration cell work without transport?
In a concentration cell without transport, the two half-cells have the same electrode materials, but the electrolyte concentrations differ. The cell works by the migration of ions from the higher concentration side to the lower concentration side, trying to balance the concentrations. This migration causes an electric potential difference between the two half-cells, leading to the flow of electrons and the generation of an electric current.
3. What happens in a concentration cell with transport?
In a concentration cell with transport, the two half-cells have different electrode materials and different electrolyte concentrations. The transport of ions occurs through the salt bridge or porous membrane, allowing the flow of ions to balance the concentration difference. This transport leads to the generation of an electric potential difference, which causes the flow of electrons and the production of an electric current.
4. What are the applications of concentration cells?
Concentration cells find applications in various fields, including corrosion studies, batteries, and fuel cells. They are used to understand and analyze the corrosion behavior of different materials in various environments. In batteries, concentration cells can be utilized to generate electrical energy by harnessing the difference in electrolyte concentrations. Additionally, concentration cells are a fundamental concept in understanding and designing fuel cells, which convert chemical energy into electrical energy.
5. What factors affect the potential difference in a concentration cell?
Several factors influence the potential difference in a concentration cell. The concentration difference between the two half-cells, the temperature, and the nature of the electrolyte solution all play a role. Generally, a larger concentration difference leads to a higher potential difference. Additionally, higher temperatures can increase the rate of ion migration, affecting the potential difference. Lastly, different electrolyte solutions may have different ion mobilities, resulting in varying potential differences.
Related Searches

Previous Year Questions with Solutions

,

practice quizzes

,

shortcuts and tricks

,

Concentration Cells with and without Transport | Physical Chemistry

,

Free

,

Extra Questions

,

past year papers

,

Concentration Cells with and without Transport | Physical Chemistry

,

Exam

,

Summary

,

Objective type Questions

,

Sample Paper

,

study material

,

mock tests for examination

,

Semester Notes

,

Viva Questions

,

Concentration Cells with and without Transport | Physical Chemistry

,

pdf

,

MCQs

,

ppt

,

video lectures

,

Important questions

;