CAT Exam  >  CAT Notes  >  Practice Questions Level 2: Coordinate Geometry - 2

Coordinate Geometry Questions for CAT with Answers PDF

This EduRev document offers 20 Multiple Choice Questions (MCQs) from the topic Coordinate Geometry (Level - 2). These questions are of Level - 2 difficulty and will assist you in the preparation of CAT & other MBA exams. You can practice/attempt these CAT Multiple Choice Questions (MCQs) and check the explanations for a better understanding of the topic.

Question for Practice Questions Level 2: Coordinate Geometry - 2
Try yourself:What kind of a quadrilateral is formed by the vertices (0, 0), (4, 3), (3, 5) and (-1, 2)?
View Solution

Question for Practice Questions Level 2: Coordinate Geometry - 2
Try yourself:If a, b, c are in A.P. then the fixed point through which the straight line ax + 2by + c = 0 will always pass, is
View Solution

Question for Practice Questions Level 2: Coordinate Geometry - 2
Try yourself:In the above figure, if O(0, 0) is the centre of the circle, then which of the following points lies outside the circle?
Coordinate Geometry Questions for CAT with Answers PDF
View Solution

Question for Practice Questions Level 2: Coordinate Geometry - 2
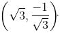
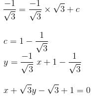
Try yourself:Find the equation of a straight line which contains the point Coordinate Geometry Questions for CAT with Answers PDF with inclination 150o.
View Solution

Question for Practice Questions Level 2: Coordinate Geometry - 2
Try yourself:Find the point which divides the line joining the points A (1, 3) and B (2, 7) in the ratio of 3 : 4 externally.
View Solution

Question for Practice Questions Level 2: Coordinate Geometry - 2
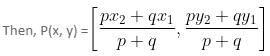
Try yourself:If C is the centroid of the triangle PQR and the coordinates of points P, Q, R and C respectively are (x, 1), (0, y), (1/2, 0) and (1/2, 1/3), find the measure of angle PQR.
View Solution

Question for Practice Questions Level 2: Coordinate Geometry - 2
Try yourself:In the xy-plane, which of the following points is the greatest distance from the origin?
View Solution

Question for Practice Questions Level 2: Coordinate Geometry - 2
Try yourself:The projection (the foot of perpendicular) from (x, y) on the x-axis is
View Solution

Question for Practice Questions Level 2: Coordinate Geometry - 2
Try yourself:If a, b and c are the sides of a triangle, and a2 + b2 + c2 = ab + bc + ca, then the triangle is
View Solution

Question for Practice Questions Level 2: Coordinate Geometry - 2
Try yourself:In the given figure, if PQ is parallel to OR, then what is the area of quadrilateral PQRO?
Coordinate Geometry Questions for CAT with Answers PDF
View Solution

Question for Practice Questions Level 2: Coordinate Geometry - 2
Try yourself:The point that divides the line joining the points (1, 2) and (3, 4) internally in the ratio of 1 : 1 lies in the  
View Solution

Question for Practice Questions Level 2: Coordinate Geometry - 2
Try yourself:The line (1 + K)X + (3 – K)Y = 2(1 + 3K) passes through a fixed point P for any value of K. Find the co-ordinates of P.
View Solution

Question for Practice Questions Level 2: Coordinate Geometry - 2
Try yourself:The vertices of a square S have coordinates (-1, -2), (-1, 1), (2, 1) and (2, -2). What are the coordinates of the point where the diagonals of S intersect?
View Solution

Question for Practice Questions Level 2: Coordinate Geometry - 2
Try yourself:In the rectangular coordinate system shown below, the area of triangle RST is _______.
Coordinate Geometry Questions for CAT with Answers PDF
View Solution

Question for Practice Questions Level 2: Coordinate Geometry - 2
Try yourself:The incentre of a triangle formed by the lines y = 0, 3x + 4y = 48 and 3y - 4x = 36 is
View Solution

Question for Practice Questions Level 2: Coordinate Geometry - 2
Try yourself:Two points (a, 0) and (0, b) are joined by a straight line. Another point on this line is
View Solution

Question for Practice Questions Level 2: Coordinate Geometry - 2
Try yourself:If the coordinates of the centroid of a triangle are (2/3, 5/3) and the coordinates of two vertices of the triangle are (-1, 0) and (3, 0), then what are the coordinates of the third vertex of the triangle?
View Solution

Question for Practice Questions Level 2: Coordinate Geometry - 2
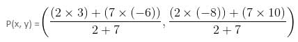
Try yourself:A line segment with end points A(-6, 10) and B(3, -8) is divided in the ratio 2 : 7 by a point P. Find the coordinates of point P.
View Solution

Question for Practice Questions Level 2: Coordinate Geometry - 2
Try yourself:If point (t, 1) is located inside the circle x2 + y2 = 10, then t must lie between 
View Solution

Question for Practice Questions Level 2: Coordinate Geometry - 2
Try yourself:Find the inclination and perpendicular distance of a line represented by (x/2) + (√3y/2) = 12√5 from the origin.
View Solution

The document Coordinate Geometry Questions for CAT with Answers PDF is a part of CAT category.
All you need of CAT at this link: CAT
Download as PDF

Top Courses for CAT

Related Searches

Summary

,

ppt

,

practice quizzes

,

Coordinate Geometry Questions for CAT with Answers PDF

,

Free

,

Previous Year Questions with Solutions

,

Coordinate Geometry Questions for CAT with Answers PDF

,

Important questions

,

video lectures

,

past year papers

,

shortcuts and tricks

,

Sample Paper

,

Semester Notes

,

pdf

,

Exam

,

mock tests for examination

,

Viva Questions

,

study material

,

Coordinate Geometry Questions for CAT with Answers PDF

,

Extra Questions

,

MCQs

,

Objective type Questions

;