Data Converters: PYQ | Digital Circuits - Electronics and Communication Engineering (ECE) PDF Download

Q.1. In an N bit flash ADC, the analog voltage is fed simultaneously to 2N— 1 comparator. The output of the comparators is then encoded to a binary format using digital circuits. Assume that the analog voltage source Vin (whose output is being converted to digital format) has a source resistance of 75 ohms as shown in the circuit diagram below and the input capacitance of each comparator is 8 pF. The input must settle to an accuracy of 1/2 LSB even for a full-scale input change for proper conversion. Assume that the time taken by the thermometer to the binary encoder is negligible.
Data Converters: PYQ | Digital Circuits - Electronics and Communication Engineering (ECE)If the flash ADC has 8 bit resolution, which one of the following alternatives is closest to the maximum sampling rate?

(a) 1 mega samples per second
(b) 6 mega samples per second
(c) 64 mega samples per second
(d) 256 mega samples per second

Correct Answer is option (b)
Data Converters: PYQ | Digital Circuits - Electronics and Communication Engineering (ECE)


Q.2. An 8-bit D/A converter has step size of 20 mV. The full-scale output and the resolution will be nearly
(a) 5.1 V and 0.3%
(b) 4.6 V and 0.4%
(c) 5.1 V and 0.4%
(d) 4.6 V and 0.3%

Correct Answer is option (c)
Full scale output
Resolution = step size = 20 mV
VFS = (28–1) × resolution
= 255 × 20 mV
 VFS = 5.1V
Resolution
% resolution = Data Converters: PYQ | Digital Circuits - Electronics and Communication Engineering (ECE)
Data Converters: PYQ | Digital Circuits - Electronics and Communication Engineering (ECE)
 % resolution = 0.4% 


Q.3. A High speed digital Subsystem requires three voltages V1, V2 and Vwith 1 : 2 : 1 power ratings respectively. The power supply is designed with the distribute power conversion scheme as shown in the following figure. What is the overall power conversion efficiency?

Data Converters: PYQ | Digital Circuits - Electronics and Communication Engineering (ECE)(a) Data Converters: PYQ | Digital Circuits - Electronics and Communication Engineering (ECE)
(b) Data Converters: PYQ | Digital Circuits - Electronics and Communication Engineering (ECE)
(c) Data Converters: PYQ | Digital Circuits - Electronics and Communication Engineering (ECE)
(d) Data Converters: PYQ | Digital Circuits - Electronics and Communication Engineering (ECE)

Correct Answer is option (a)
The Correct Answer Among All the Options is A
We have to determine overall power conversion efficiency. Now, efficiency(ո) is generally given as: Vout/Vin
From the diagram it is clear that Vout = V1 + 2V2 + V3(1 + 2  +1 = 4V)
Now, we have to find out Vin. Since ո= Vout/Vin, so Vin= Vout/ո
Vout=4 V, and Vout = V1 + 2V2 + V3
=> V1(X) + V2(Y) + V3(Z)
So, Vin= X + (Y/ո2) + (Z/ո3)/ ո1
Replacing X by V, we get:
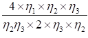
Vin = V(ո2ո3 + 2ո3 + ո2)/ո2ո3ո1........ (a)
So, now substituting Vout=4 and Vin from (a), we will get option (a). 


Q.4. Consider a four bit D to A converter. The analog value corresponding to digital signals of values 0000 and 0001 are 0 V and 0.0625 V respectively. The analog value (in Volts) corresponding to the digital signal 1111 is ________. [Fill in the Blank Type Question]

n = number of bit = 4
Analog Output = (Decimal equivalent of input) x (Resolution)
0000 → 0 V
0000 → 0.0625 V =  Resolution of equivalent input = 1
1111 → ?
Analog Output = [Resolution] x [Decimal equivalent of Binary]
Analog Output = 0.0625 x 15
= 0.9375


Q.5. The output voltage from a 5-bit ladder type DAC that has a digital input of 11010, and by assuming 0 = 0 V and 1 = + 10V, is nearly
(a) 26.0 V
(b) 16.3 V
(c) 10.3 V
(d) 8.1 V

Correct Answer is option (d)
(11010)2 = (26)10
VDAC = resolution x (decimal equivalents)
Data Converters: PYQ | Digital Circuits - Electronics and Communication Engineering (ECE)
∴ VDAC = 8.1 V 


Q.6. Convert the binary number 11000110 to Gray code
(a) 001000101
(b) 10100100
(c) 11100110
(d) 10100101

Correct Answer is option (d)
Gray code = 10100101
Data Converters: PYQ | Digital Circuits - Electronics and Communication Engineering (ECE)
Gray to Binary Code Converter
Data Converters: PYQ | Digital Circuits - Electronics and Communication Engineering (ECE)
From the above operation, finally we can get the binary values like
b3 = g3,
b2 = b3 XOR g2,
b1= b2 XOR g1,
b0 = b1 XOR g0.

The document Data Converters: PYQ | Digital Circuits - Electronics and Communication Engineering (ECE) is a part of the Electronics and Communication Engineering (ECE) Course Digital Circuits.
All you need of Electronics and Communication Engineering (ECE) at this link: Electronics and Communication Engineering (ECE)
75 videos|188 docs|70 tests
Related Searches

Free

,

Objective type Questions

,

Data Converters: PYQ | Digital Circuits - Electronics and Communication Engineering (ECE)

,

pdf

,

study material

,

Semester Notes

,

past year papers

,

Data Converters: PYQ | Digital Circuits - Electronics and Communication Engineering (ECE)

,

video lectures

,

Summary

,

ppt

,

Exam

,

Data Converters: PYQ | Digital Circuits - Electronics and Communication Engineering (ECE)

,

Important questions

,

Sample Paper

,

Previous Year Questions with Solutions

,

practice quizzes

,

MCQs

,

Viva Questions

,

mock tests for examination

,

shortcuts and tricks

,

Extra Questions

;