JEE Exam  >  JEE Notes  >  Mathematics (Maths) for JEE Main & Advanced  >  Definite Integral As Limit Of A Sum And Estimate Of Definite Integrals

Definite Integral As Limit Of A Sum And Estimate Of Definite Integrals | Mathematics (Maths) for JEE Main & Advanced PDF Download

Definite Integral As Limit Of A Sum
Definite Integral As Limit Of A Sum And Estimate Of Definite Integrals | Mathematics (Maths) for JEE Main & Advanced

Remark : 

The symbol  Definite Integral As Limit Of A Sum And Estimate Of Definite Integrals | Mathematics (Maths) for JEE Main & Advanced was introduced by Leibnitz and is called integral sign. It is an elongated S and was chosen because an integral is a limit of sums. In the notation  Definite Integral As Limit Of A Sum And Estimate Of Definite Integrals | Mathematics (Maths) for JEE Main & Advanced  is called the integrand and a and b are called the limits of integration; a is the lower limit and b is the upper limit. The symbol dx has no official meaning by itself;  Definite Integral As Limit Of A Sum And Estimate Of Definite Integrals | Mathematics (Maths) for JEE Main & Advanced  is all one symbol. The procedure of calculating an integral is called integration.

Estimate Of Definite Integration & General Inequality

STATEMENT : If f is continuous on the interval [a, b], there is atleast one number c between a and b such that  Definite Integral As Limit Of A Sum And Estimate Of Definite Integrals | Mathematics (Maths) for JEE Main & Advanced

Proof : Suppose M and m are the largest and smallest values of f, respectively, on [a, b]. This means m ≤ f(x) ≤ M when  a ≤ x ≤ b  

Definite Integral As Limit Of A Sum And Estimate Of Definite Integrals | Mathematics (Maths) for JEE Main & Advanced

Definite Integral As Limit Of A Sum And Estimate Of Definite Integrals | Mathematics (Maths) for JEE Main & Advanced

Definite Integral As Limit Of A Sum And Estimate Of Definite Integrals | Mathematics (Maths) for JEE Main & Advanced

Because f is continuous on the closed interval [a, b] and because the number I = Definite Integral As Limit Of A Sum And Estimate Of Definite Integrals | Mathematics (Maths) for JEE Main & Advanced lies between m and M, the intermediate value theorem syas there exists a number c between a and b for which f(c) = I ; that is, Definite Integral As Limit Of A Sum And Estimate Of Definite Integrals | Mathematics (Maths) for JEE Main & Advanced

The mean value theorem for integrals does not specify how to determine c. It simply guarantees the existence of atleast one number c in the interval.
Since f(x) = 1 + x2 is continuous on the interval [–1, 2], the Mean Value Theorem for Integrals says there is a number c in [–1, 2] such thatDefinite Integral As Limit Of A Sum And Estimate Of Definite Integrals | Mathematics (Maths) for JEE Main & Advanced

In this particular case we can find c explicitly. From previous Example we know that fave = 2, so the value of c satisfies f(c) = Definite Integral As Limit Of A Sum And Estimate Of Definite Integrals | Mathematics (Maths) for JEE Main & Advanced = 2

Definite Integral As Limit Of A Sum And Estimate Of Definite Integrals | Mathematics (Maths) for JEE Main & Advanced

Thus, in this case there happen to be two numbers c = ± 1 in the interval [–1, 2] that work in the mean value theorem for Integrals.

Definite Integral As Limit Of A Sum And Estimate Of Definite Integrals | Mathematics (Maths) for JEE Main & Advanced

Walli's Formula & Reduction Formula

Definite Integral As Limit Of A Sum And Estimate Of Definite Integrals | Mathematics (Maths) for JEE Main & Advanced


Solved Examples

Ex.1 Evaluate Definite Integral As Limit Of A Sum And Estimate Of Definite Integrals | Mathematics (Maths) for JEE Main & Advanced  using limit of sum.

Sol.

Definite Integral As Limit Of A Sum And Estimate Of Definite Integrals | Mathematics (Maths) for JEE Main & Advanced

Definite Integral As Limit Of A Sum And Estimate Of Definite Integrals | Mathematics (Maths) for JEE Main & Advanced

Definite Integral As Limit Of A Sum And Estimate Of Definite Integrals | Mathematics (Maths) for JEE Main & Advanced

Definite Integral As Limit Of A Sum And Estimate Of Definite Integrals | Mathematics (Maths) for JEE Main & Advanced

Definite Integral As Limit Of A Sum And Estimate Of Definite Integrals | Mathematics (Maths) for JEE Main & Advanced

Definite Integral As Limit Of A Sum And Estimate Of Definite Integrals | Mathematics (Maths) for JEE Main & Advanced

Definite Integral As Limit Of A Sum And Estimate Of Definite Integrals | Mathematics (Maths) for JEE Main & Advanced

This integral can't be interpreated as an area because f takes on both positive and negative values. But is can be interpreated as the difference of areas A1 – A2, where A1 and Aare shown in Figure


Ex.2 Prove that,  Definite Integral As Limit Of A Sum And Estimate Of Definite Integrals | Mathematics (Maths) for JEE Main & Advanced Hence or otherwise evaluate Definite Integral As Limit Of A Sum And Estimate Of Definite Integrals | Mathematics (Maths) for JEE Main & Advanced

Sol.

 Consider sin nθ + sin (n - 2) θ = 2 sin (n - 1) θ cos θ ⇒ sin nθ sec θ = 2 sin (n-1) θ - sin (n - 2) θ sec θ

Hence  Definite Integral As Limit Of A Sum And Estimate Of Definite Integrals | Mathematics (Maths) for JEE Main & Advanced

Definite Integral As Limit Of A Sum And Estimate Of Definite Integrals | Mathematics (Maths) for JEE Main & Advanced

Definite Integral As Limit Of A Sum And Estimate Of Definite Integrals | Mathematics (Maths) for JEE Main & Advanced,Definite Integral As Limit Of A Sum And Estimate Of Definite Integrals | Mathematics (Maths) for JEE Main & Advanced

Definite Integral As Limit Of A Sum And Estimate Of Definite Integrals | Mathematics (Maths) for JEE Main & Advanced

Definite Integral As Limit Of A Sum And Estimate Of Definite Integrals | Mathematics (Maths) for JEE Main & Advanced

Definite Integral As Limit Of A Sum And Estimate Of Definite Integrals | Mathematics (Maths) for JEE Main & Advanced

Definite Integral As Limit Of A Sum And Estimate Of Definite Integrals | Mathematics (Maths) for JEE Main & Advanced

Definite Integral As Limit Of A Sum And Estimate Of Definite Integrals | Mathematics (Maths) for JEE Main & Advanced

Definite Integral As Limit Of A Sum And Estimate Of Definite Integrals | Mathematics (Maths) for JEE Main & Advanced

Ex.3 Prove that  Definite Integral As Limit Of A Sum And Estimate Of Definite Integrals | Mathematics (Maths) for JEE Main & Advanced

Sol.

L.H.S. =  Definite Integral As Limit Of A Sum And Estimate Of Definite Integrals | Mathematics (Maths) for JEE Main & Advanced

Definite Integral As Limit Of A Sum And Estimate Of Definite Integrals | Mathematics (Maths) for JEE Main & Advanced

Definite Integral As Limit Of A Sum And Estimate Of Definite Integrals | Mathematics (Maths) for JEE Main & Advanced

Definite Integral As Limit Of A Sum And Estimate Of Definite Integrals | Mathematics (Maths) for JEE Main & Advanced (From Walli's formula)


Ex.4 If un =  Definite Integral As Limit Of A Sum And Estimate Of Definite Integrals | Mathematics (Maths) for JEE Main & Advanced   then show that u1, u2, u3 ,...... constitute an arithmetic progression. Hence or otherwise find the value of un.

Sol.

un + 1 – 2un + un – 1 = (un + 1 – un) – (un – un – 1)

Definite Integral As Limit Of A Sum And Estimate Of Definite Integrals | Mathematics (Maths) for JEE Main & Advanced

Definite Integral As Limit Of A Sum And Estimate Of Definite Integrals | Mathematics (Maths) for JEE Main & Advanced

Definite Integral As Limit Of A Sum And Estimate Of Definite Integrals | Mathematics (Maths) for JEE Main & Advanced

Definite Integral As Limit Of A Sum And Estimate Of Definite Integrals | Mathematics (Maths) for JEE Main & Advanced

Definite Integral As Limit Of A Sum And Estimate Of Definite Integrals | Mathematics (Maths) for JEE Main & Advanced

∴ un – 1 + un + 1 = 2ui.e., un – 1, un, un + 1 form an A.P.

⇒ u1, u2, u3,.........constitute an A.P.
Ex.5 Evaluate  Definite Integral As Limit Of A Sum And Estimate Of Definite Integrals | Mathematics (Maths) for JEE Main & Advanced

Sol.

Definite Integral As Limit Of A Sum And Estimate Of Definite Integrals | Mathematics (Maths) for JEE Main & Advanced

Definite Integral As Limit Of A Sum And Estimate Of Definite Integrals | Mathematics (Maths) for JEE Main & Advanced

Definite Integral As Limit Of A Sum And Estimate Of Definite Integrals | Mathematics (Maths) for JEE Main & Advanced

Definite Integral As Limit Of A Sum And Estimate Of Definite Integrals | Mathematics (Maths) for JEE Main & Advanced

Definite Integral As Limit Of A Sum And Estimate Of Definite Integrals | Mathematics (Maths) for JEE Main & Advanced

Definite Integral As Limit Of A Sum And Estimate Of Definite Integrals | Mathematics (Maths) for JEE Main & Advanced

Integrating by parts taking unity as the second function, we have

Definite Integral As Limit Of A Sum And Estimate Of Definite Integrals | Mathematics (Maths) for JEE Main & Advanced

Definite Integral As Limit Of A Sum And Estimate Of Definite Integrals | Mathematics (Maths) for JEE Main & Advanced

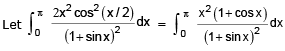
Ex.6 Show that  Definite Integral As Limit Of A Sum And Estimate Of Definite Integrals | Mathematics (Maths) for JEE Main & Advanced  Hence or otherwise evaluate Definite Integral As Limit Of A Sum And Estimate Of Definite Integrals | Mathematics (Maths) for JEE Main & Advanced

Sol.

Definite Integral As Limit Of A Sum And Estimate Of Definite Integrals | Mathematics (Maths) for JEE Main & Advanced

Definite Integral As Limit Of A Sum And Estimate Of Definite Integrals | Mathematics (Maths) for JEE Main & Advanced

Definite Integral As Limit Of A Sum And Estimate Of Definite Integrals | Mathematics (Maths) for JEE Main & Advanced

adding (1) and (2) then 

Definite Integral As Limit Of A Sum And Estimate Of Definite Integrals | Mathematics (Maths) for JEE Main & Advanced

Definite Integral As Limit Of A Sum And Estimate Of Definite Integrals | Mathematics (Maths) for JEE Main & Advanced

Definite Integral As Limit Of A Sum And Estimate Of Definite Integrals | Mathematics (Maths) for JEE Main & Advanced

Definite Integral As Limit Of A Sum And Estimate Of Definite Integrals | Mathematics (Maths) for JEE Main & Advanced

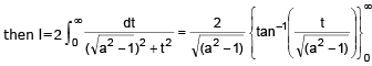
Put a tan x = t ⇒ a sec2x dx = dt when x = 0 ⇒ t = 0 ;  x = p/2 ⇒ t = ∝

Definite Integral As Limit Of A Sum And Estimate Of Definite Integrals | Mathematics (Maths) for JEE Main & Advanced

Definite Integral As Limit Of A Sum And Estimate Of Definite Integrals | Mathematics (Maths) for JEE Main & Advanced

Definite Integral As Limit Of A Sum And Estimate Of Definite Integrals | Mathematics (Maths) for JEE Main & Advanced

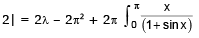
Differentiating both side w.r.t. 'a', we get   Definite Integral As Limit Of A Sum And Estimate Of Definite Integrals | Mathematics (Maths) for JEE Main & Advanced

again differentiating both sides w.r.t. 'a' we get  Definite Integral As Limit Of A Sum And Estimate Of Definite Integrals | Mathematics (Maths) for JEE Main & Advanced

Put a = √5 on both sides, we get

Definite Integral As Limit Of A Sum And Estimate Of Definite Integrals | Mathematics (Maths) for JEE Main & Advanced
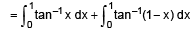
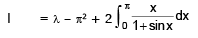
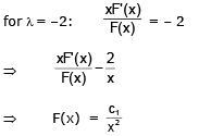
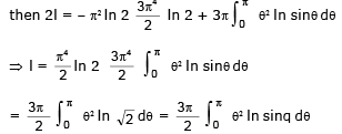
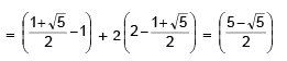
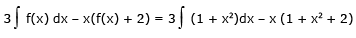
Ex.7 Let f be an injective functions such that f(x) f(y) + 2 = f(x) + f(y) + f(xy) for all non negative real x and y with f(0) = 1 and f '(1) = 2 find f(x) and show that Definite Integral As Limit Of A Sum And Estimate Of Definite Integrals | Mathematics (Maths) for JEE Main & Advancedf(x) dx – x (f(x) + 2) is a constant.


Sol. We have f(x) f(y) + 2 = f(x) + f(y) + f(xy)                          ......(1)
Putting x = 1 and y = 1 then f(1) f(1) + 2 = 3f(1)
we get f(1) = 1, 2 & f(1) Definite Integral As Limit Of A Sum And Estimate Of Definite Integrals | Mathematics (Maths) for JEE Main & Advanced 1           ( Definite Integral As Limit Of A Sum And Estimate Of Definite Integrals | Mathematics (Maths) for JEE Main & Advanced f(0) = 1 & function is injective) then f(1) = 2

Replacing y by 1/x in (1) then f(x) f(1/x) + 2 = f(x) + f(1/x) + f(1) ⇒  f(x) f(1/x) = f(x) + f(1/x) [ f(1) = 2)

Hence f(x) is of the type f(x) = 1 ± xn ⇒ f(1) = 1 ± 1 = 2 (given)

∴ f(x) = 1 + xn  and f '(x) = nxn – 1 ⇒ f '(1) = n = 2 ∴ f(x) = 1 + x2

∴  Definite Integral As Limit Of A Sum And Estimate Of Definite Integrals | Mathematics (Maths) for JEE Main & Advanced

Definite Integral As Limit Of A Sum And Estimate Of Definite Integrals | Mathematics (Maths) for JEE Main & Advanced

Ex.8 Evaluate  Definite Integral As Limit Of A Sum And Estimate Of Definite Integrals | Mathematics (Maths) for JEE Main & Advanced


Sol.

Let  I = Definite Integral As Limit Of A Sum And Estimate Of Definite Integrals | Mathematics (Maths) for JEE Main & Advanced Make |sin x| – |cos x| = 0 ∴  |tan x| = 1

∴ tan x = ± 1  Definite Integral As Limit Of A Sum And Estimate Of Definite Integrals | Mathematics (Maths) for JEE Main & Advanced  and both these values lie in the interval [0, π].

We find for 0 < x < π/4, |sin x| – |cos x| < 0 

Definite Integral As Limit Of A Sum And Estimate Of Definite Integrals | Mathematics (Maths) for JEE Main & Advanced  |sin x| – |cos x| > 0 

Definite Integral As Limit Of A Sum And Estimate Of Definite Integrals | Mathematics (Maths) for JEE Main & Advanced  Definite Integral As Limit Of A Sum And Estimate Of Definite Integrals | Mathematics (Maths) for JEE Main & Advanced

Definite Integral As Limit Of A Sum And Estimate Of Definite Integrals | Mathematics (Maths) for JEE Main & Advanced  Definite Integral As Limit Of A Sum And Estimate Of Definite Integrals | Mathematics (Maths) for JEE Main & Advanced


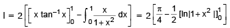
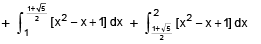
Ex.9 Evaluate  Definite Integral As Limit Of A Sum And Estimate Of Definite Integrals | Mathematics (Maths) for JEE Main & Advanced, (where [ * ] is the greatest integer function)

Sol. Let I = Definite Integral As Limit Of A Sum And Estimate Of Definite Integrals | Mathematics (Maths) for JEE Main & Advanced

Let f(x) = x2 + x + 1  ⇒  f '(x) = 2x - 1 for x > 1/2, f '(x) > 0 and x < 12, f '(x) , 0

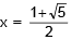
Values of f(x) at x = 1/2 and 2 are 3/4 and 3 integers between them an 1, 2 then x2 - x + 1 = 1, 2

we get x = 1,  Definite Integral As Limit Of A Sum And Estimate Of Definite Integrals | Mathematics (Maths) for JEE Main & Advanced and values of f(x) at x = 0 and 1/2 are 1 and 3/4 no integer between them

Definite Integral As Limit Of A Sum And Estimate Of Definite Integrals | Mathematics (Maths) for JEE Main & Advanced  Definite Integral As Limit Of A Sum And Estimate Of Definite Integrals | Mathematics (Maths) for JEE Main & Advanced

Definite Integral As Limit Of A Sum And Estimate Of Definite Integrals | Mathematics (Maths) for JEE Main & Advanced

Definite Integral As Limit Of A Sum And Estimate Of Definite Integrals | Mathematics (Maths) for JEE Main & Advanced

Alternative Method :  It is clear from the figure 

Definite Integral As Limit Of A Sum And Estimate Of Definite Integrals | Mathematics (Maths) for JEE Main & Advanced

Definite Integral As Limit Of A Sum And Estimate Of Definite Integrals | Mathematics (Maths) for JEE Main & Advanced


Ex.10 If  Definite Integral As Limit Of A Sum And Estimate Of Definite Integrals | Mathematics (Maths) for JEE Main & Advanced

Sol.

Definite Integral As Limit Of A Sum And Estimate Of Definite Integrals | Mathematics (Maths) for JEE Main & Advanced 

Definite Integral As Limit Of A Sum And Estimate Of Definite Integrals | Mathematics (Maths) for JEE Main & Advanced

Integrating by parts taking x2 as 1 st function, we we get  =  Definite Integral As Limit Of A Sum And Estimate Of Definite Integrals | Mathematics (Maths) for JEE Main & Advanced

Definite Integral As Limit Of A Sum And Estimate Of Definite Integrals | Mathematics (Maths) for JEE Main & Advanced [By Prop.] 

Definite Integral As Limit Of A Sum And Estimate Of Definite Integrals | Mathematics (Maths) for JEE Main & Advanced

Adding (1) and (2) we get  

Definite Integral As Limit Of A Sum And Estimate Of Definite Integrals | Mathematics (Maths) for JEE Main & Advanced

Definite Integral As Limit Of A Sum And Estimate Of Definite Integrals | Mathematics (Maths) for JEE Main & Advanced

Definite Integral As Limit Of A Sum And Estimate Of Definite Integrals | Mathematics (Maths) for JEE Main & Advanced

Definite Integral As Limit Of A Sum And Estimate Of Definite Integrals | Mathematics (Maths) for JEE Main & Advanced

Definite Integral As Limit Of A Sum And Estimate Of Definite Integrals | Mathematics (Maths) for JEE Main & Advanced

Definite Integral As Limit Of A Sum And Estimate Of Definite Integrals | Mathematics (Maths) for JEE Main & Advanced

 

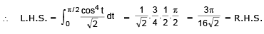
Ex.11 Prove that  Definite Integral As Limit Of A Sum And Estimate Of Definite Integrals | Mathematics (Maths) for JEE Main & Advanced

Sol.

Definite Integral As Limit Of A Sum And Estimate Of Definite Integrals | Mathematics (Maths) for JEE Main & Advanced Intergrating by parts taking x as a first function, we have 

Definite Integral As Limit Of A Sum And Estimate Of Definite Integrals | Mathematics (Maths) for JEE Main & Advanced  Definite Integral As Limit Of A Sum And Estimate Of Definite Integrals | Mathematics (Maths) for JEE Main & Advanced

Definite Integral As Limit Of A Sum And Estimate Of Definite Integrals | Mathematics (Maths) for JEE Main & Advanced

Definite Integral As Limit Of A Sum And Estimate Of Definite Integrals | Mathematics (Maths) for JEE Main & Advanced

Definite Integral As Limit Of A Sum And Estimate Of Definite Integrals | Mathematics (Maths) for JEE Main & Advanced

Definite Integral As Limit Of A Sum And Estimate Of Definite Integrals | Mathematics (Maths) for JEE Main & Advanced

Definite Integral As Limit Of A Sum And Estimate Of Definite Integrals | Mathematics (Maths) for JEE Main & Advanced

Ex.12 Evaluate  Definite Integral As Limit Of A Sum And Estimate Of Definite Integrals | Mathematics (Maths) for JEE Main & Advanced

Sol.

Let g(t) = |t – 1| – |t| + |t + 1| =  Definite Integral As Limit Of A Sum And Estimate Of Definite Integrals | Mathematics (Maths) for JEE Main & Advanced

Definite Integral As Limit Of A Sum And Estimate Of Definite Integrals | Mathematics (Maths) for JEE Main & Advanced 

=  Definite Integral As Limit Of A Sum And Estimate Of Definite Integrals | Mathematics (Maths) for JEE Main & Advanced

Ex.13 For all positive integer k, prove that Definite Integral As Limit Of A Sum And Estimate Of Definite Integrals | Mathematics (Maths) for JEE Main & Advanced

Hence prove that Definite Integral As Limit Of A Sum And Estimate Of Definite Integrals | Mathematics (Maths) for JEE Main & Advanced


Sol. We have 2 sinx [cos x + cos 3x + ...+ cos (2k–1)x ]
= 2 sinx cosx + 2 sinx cos 3x + ....+ 2 sinx cos(2k – 1)x
= sin 2x + sin 4x – sin 2x + sin 6x – sin 4x + ....... + sin 2kx – sin (2k – 2) x
= sin 2kx
⇒ 2[cos x + cos 3x + ........ + cos (2k – 1) x ] = sin2kx/sinx

Definite Integral As Limit Of A Sum And Estimate Of Definite Integrals | Mathematics (Maths) for JEE Main & Advanced

Definite Integral As Limit Of A Sum And Estimate Of Definite Integrals | Mathematics (Maths) for JEE Main & Advanced [2 cos2x + 2 cos 3x cos x + ....... + 2 cos (2k – 1 ) x cosx ] dx

 

Definite Integral As Limit Of A Sum And Estimate Of Definite Integrals | Mathematics (Maths) for JEE Main & Advanced [cosx + cos 3x + ....... + cos (2k – 1 ) x ]cosx dx

=  Definite Integral As Limit Of A Sum And Estimate Of Definite Integrals | Mathematics (Maths) for JEE Main & Advanced
 

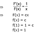
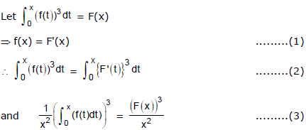
Ex.14 Let f(x) is periodic function such that Definite Integral As Limit Of A Sum And Estimate Of Definite Integrals | Mathematics (Maths) for JEE Main & Advanced Find the function f(x) if (1) = 1 .

Sol.

Definite Integral As Limit Of A Sum And Estimate Of Definite Integrals | Mathematics (Maths) for JEE Main & Advanced

from (2) and (3)  Definite Integral As Limit Of A Sum And Estimate Of Definite Integrals | Mathematics (Maths) for JEE Main & Advanced

Differentiating bot sides w.r.t.x, we get

Definite Integral As Limit Of A Sum And Estimate Of Definite Integrals | Mathematics (Maths) for JEE Main & Advanced

Definite Integral As Limit Of A Sum And Estimate Of Definite Integrals | Mathematics (Maths) for JEE Main & Advanced

Definite Integral As Limit Of A Sum And Estimate Of Definite Integrals | Mathematics (Maths) for JEE Main & Advanced

Definite Integral As Limit Of A Sum And Estimate Of Definite Integrals | Mathematics (Maths) for JEE Main & Advanced

Definite Integral As Limit Of A Sum And Estimate Of Definite Integrals | Mathematics (Maths) for JEE Main & Advanced

Definite Integral As Limit Of A Sum And Estimate Of Definite Integrals | Mathematics (Maths) for JEE Main & Advanced

Definite Integral As Limit Of A Sum And Estimate Of Definite Integrals | Mathematics (Maths) for JEE Main & Advanced

Definite Integral As Limit Of A Sum And Estimate Of Definite Integrals | Mathematics (Maths) for JEE Main & Advanced

Definite Integral As Limit Of A Sum And Estimate Of Definite Integrals | Mathematics (Maths) for JEE Main & Advanced

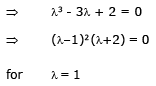
then f(x) = 1/x3 But given f(x) is a periodic function Hence f(x) = 1


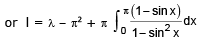
Ex.15 AssumeDefinite Integral As Limit Of A Sum And Estimate Of Definite Integrals | Mathematics (Maths) for JEE Main & Advanced   then prove that
Definite Integral As Limit Of A Sum And Estimate Of Definite Integrals | Mathematics (Maths) for JEE Main & Advanced


Sol.

Definite Integral As Limit Of A Sum And Estimate Of Definite Integrals | Mathematics (Maths) for JEE Main & Advanced

Definite Integral As Limit Of A Sum And Estimate Of Definite Integrals | Mathematics (Maths) for JEE Main & Advanced  Definite Integral As Limit Of A Sum And Estimate Of Definite Integrals | Mathematics (Maths) for JEE Main & Advanced

Definite Integral As Limit Of A Sum And Estimate Of Definite Integrals | Mathematics (Maths) for JEE Main & Advanced  Definite Integral As Limit Of A Sum And Estimate Of Definite Integrals | Mathematics (Maths) for JEE Main & Advanced 

Definite Integral As Limit Of A Sum And Estimate Of Definite Integrals | Mathematics (Maths) for JEE Main & Advanced

Definite Integral As Limit Of A Sum And Estimate Of Definite Integrals | Mathematics (Maths) for JEE Main & Advanced

Definite Integral As Limit Of A Sum And Estimate Of Definite Integrals | Mathematics (Maths) for JEE Main & Advanced

Definite Integral As Limit Of A Sum And Estimate Of Definite Integrals | Mathematics (Maths) for JEE Main & Advanced

Definite Integral As Limit Of A Sum And Estimate Of Definite Integrals | Mathematics (Maths) for JEE Main & Advanced
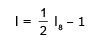
Ex.16 Use induction to prove that , Definite Integral As Limit Of A Sum And Estimate Of Definite Integrals | Mathematics (Maths) for JEE Main & Advanced

Sol.

Definite Integral As Limit Of A Sum And Estimate Of Definite Integrals | Mathematics (Maths) for JEE Main & Advanced

Definite Integral As Limit Of A Sum And Estimate Of Definite Integrals | Mathematics (Maths) for JEE Main & Advanced

Definite Integral As Limit Of A Sum And Estimate Of Definite Integrals | Mathematics (Maths) for JEE Main & Advanced

Now sinkx = sin[(k + 1) x – x ] = sin(k + 1) x cos – cos(k + 1)x sin x 

Hence sin (k + 1 ) x cosx = sinkx + cos(k + 1) x sin x

Subistuting P(k + 1) =  Definite Integral As Limit Of A Sum And Estimate Of Definite Integrals | Mathematics (Maths) for JEE Main & Advanced

Definite Integral As Limit Of A Sum And Estimate Of Definite Integrals | Mathematics (Maths) for JEE Main & Advanced

Now I. B. P. to get the result

The document Definite Integral As Limit Of A Sum And Estimate Of Definite Integrals | Mathematics (Maths) for JEE Main & Advanced is a part of the JEE Course Mathematics (Maths) for JEE Main & Advanced.
All you need of JEE at this link: JEE
172 videos|501 docs|154 tests

FAQs on Definite Integral As Limit Of A Sum And Estimate Of Definite Integrals - Mathematics (Maths) for JEE Main & Advanced

1. What is the concept of definite integral as a limit of a sum?
The concept of definite integral as a limit of a sum is a fundamental idea in calculus. It involves dividing a region under a curve into smaller and smaller intervals, and then taking the limit as the interval size approaches zero. This process allows us to find the exact area under a curve between two given points.
2. How can we estimate definite integrals?
Definite integrals can be estimated using various numerical methods, such as the midpoint rule, trapezoidal rule, or Simpson's rule. These methods involve dividing the interval over which the integral is being computed into smaller subintervals and approximating the area under the curve using geometric shapes.
3. Can definite integrals be used to find the value of a function at a specific point?
No, definite integrals cannot be used to find the value of a function at a specific point. Definite integrals give us the net area under a curve between two points, but they do not provide information about the function's value at any particular point. To find the value of a function at a specific point, we need to use the concept of the antiderivative or evaluate the function directly.
4. What is a general inequality related to definite integrals?
One general inequality related to definite integrals is the Mean Value Theorem for Integrals. It states that if a function f(x) is continuous on the closed interval [a, b] and integrable on the open interval (a, b), then there exists a number c in (a, b) such that the definite integral of f(x) over the interval [a, b] is equal to f(c) times the length of the interval (b-a). Symbolically, ∫[a,b] f(x) dx = f(c) * (b-a).
5. How are definite integrals used in real-world applications?
Definite integrals are used in various real-world applications, such as calculating areas and volumes, finding average values, determining total accumulated quantities, and solving problems involving rates of change. They are widely used in physics, engineering, economics, and many other fields where the concept of accumulation or total is relevant.
Related Searches

Exam

,

mock tests for examination

,

Definite Integral As Limit Of A Sum And Estimate Of Definite Integrals | Mathematics (Maths) for JEE Main & Advanced

,

Semester Notes

,

past year papers

,

Extra Questions

,

Important questions

,

Definite Integral As Limit Of A Sum And Estimate Of Definite Integrals | Mathematics (Maths) for JEE Main & Advanced

,

ppt

,

study material

,

Previous Year Questions with Solutions

,

Viva Questions

,

Summary

,

Definite Integral As Limit Of A Sum And Estimate Of Definite Integrals | Mathematics (Maths) for JEE Main & Advanced

,

Free

,

practice quizzes

,

Sample Paper

,

shortcuts and tricks

,

MCQs

,

Objective type Questions

,

video lectures

,

pdf

;