Civil Engineering (CE) Exam  >  Civil Engineering (CE) Notes  >  Deformation Gradient

Deformation Gradient - Civil Engineering (CE) PDF Download

Deformation Gradient

The gradient of motion is generally called the deformation gradient and is denoted by F. Thus 

Deformation Gradient - Civil Engineering (CE)

Since, χ is a function of both X and t we have used a partial derivative in the definition of the deformation gradient. Also, we haven’t defined it as Grad(x) because for the Grad operator, as defined in chapter 2, the range of the function for which gradient is sought is any vector; not just position vectors. The difference becomes evident in curvilinear coordinate systems like the cylindrical polar coordinates.

Let {Eibe the three Cartesian basis vectors in the reference configuration and {eithe basis vectors in the current configuration. Then, the deformation gradient is written as

F = Fijei ⊗ Ej .                                                     (3.12)

In general, the basis vectors ei and Ej need not be the same. Since the deformation gradient depends on two sets of basis vectors, it is called a twopoint tensor. It is pertinent here to point out that the grad operator as defined in chapter 2 (2.207), is not a two-point tensor either. The matrix components of the deformation gradient in Cartesian coordinate system is

Deformation Gradient - Civil Engineering (CE)

where (X, Y, Z) and (x, y, z) are the Cartesian coordinates of a typical material particle, P in the reference and current configuration respectively. Similarly, the matrix components of the deformation gradient in cylindrical polar coordinate system is:

Deformation Gradient - Civil Engineering (CE)

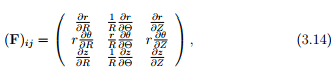
where (R, Θ, Z) and (r, θ, z) are the cylindrical polar coordinates of a typical material particle, P in the reference and current configuration respectively. Substituting

Deformation Gradient - Civil Engineering (CE)

in (3.13) we obtain

Deformation Gradient - Civil Engineering (CE)

where

Deformation Gradient - Civil Engineering (CE)

from which we obtain (3.14) recognizing that
Deformation Gradient - Civil Engineering (CE)

where {ER, EΘ, EZ} and {er, eθ, ez} are the cylindrical polar coordinate basis vectors obtained from (2.242) using (3.15). Comparing equations (3.14) with (2.259) we see the difference between the Grad operator and Deformation Gradient - Civil Engineering (CE) operator

The document Deformation Gradient - Civil Engineering (CE) is a part of Civil Engineering (CE) category.
All you need of Civil Engineering (CE) at this link: Civil Engineering (CE)

FAQs on Deformation Gradient - Civil Engineering (CE)

1. What is deformation gradient in mechanics?
Ans. The deformation gradient in mechanics is a tensor that describes the local deformation of a material. It represents the change in position of material points within a deformed body with respect to their initial positions in the undeformed body.
2. How is the deformation gradient calculated?
Ans. The deformation gradient is calculated by taking the partial derivatives of the displacement field with respect to the coordinates. It is given by the matrix of partial derivatives of the displacement field with respect to the coordinates.
3. What does the deformation gradient tensor tell us about a material?
Ans. The deformation gradient tensor provides information about the stretching and shearing of a material. It gives us insights into how the material has deformed or changed its shape from its original state to its current state.
4. What is the physical significance of the determinant of the deformation gradient tensor?
Ans. The determinant of the deformation gradient tensor represents the volume change of a material. If the determinant is positive, the material has undergone expansion, while a negative determinant indicates compression. The magnitude of the determinant indicates the amount of volume change.
5. How is the deformation gradient used in material modeling?
Ans. The deformation gradient is a fundamental quantity in material modeling. It is used to calculate various mechanical properties, such as strain, stress, and elasticity. It forms the basis for studying the behavior of materials under different loading conditions and is crucial for understanding and predicting their response to external forces.
Download as PDF

Top Courses for Civil Engineering (CE)

Related Searches

Summary

,

Viva Questions

,

Important questions

,

Exam

,

Extra Questions

,

ppt

,

mock tests for examination

,

Free

,

Deformation Gradient - Civil Engineering (CE)

,

Objective type Questions

,

shortcuts and tricks

,

Sample Paper

,

video lectures

,

MCQs

,

practice quizzes

,

pdf

,

Deformation Gradient - Civil Engineering (CE)

,

study material

,

Semester Notes

,

past year papers

,

Previous Year Questions with Solutions

,

Deformation Gradient - Civil Engineering (CE)

;