Computer Science Engineering (CSE) Exam  >  Computer Science Engineering (CSE) Notes  >  Delta Modulation, Chapter Notes, PPT, ADC, Semester, Engineering

Delta Modulation, Chapter Notes, PPT, ADC, Semester, Engineering - Computer Science Engineering (CSE) PDF Download

INTRODUCTION

 The slides cover the following topics:

1. Delta Modulation

2. DM Block Diagram

3. Resulting Waveform

4. Simple Implementation of a DM system

5.  Limitations

 

Delta Modulation-------------- Next Slide-------------------Dr. Miguel Alonso Jr.

 

Delta Modulation

 

Delta Modulation-------------- Next Slide-------------------Dr. Miguel Alonso Jr.

 

Outline

 

• Delta Modulation
 
• Continuously variable slope delta modulation
 
• Demodulation

 

Delta Modulation-------------- Next Slide-------------------Dr. Miguel Alonso Jr.

 

Delta Modulation

 

• Next form of pulse modulation

 

• Transmits information only to indicate whether the analog signal that is being encoded goes up or goes down

 
• The Encoder Outputs are highs or lows that “instruct” whether to go up or down, respectively
 
• DM takes advantage of the fact that voice signals do not change abruptly

 

Delta Modulation-------------- Next Slide-------------------Dr. Miguel Alonso Jr.

 

The analog signal is quantized by a one-bit ADC (a comparator implemented as a comparator)
The comparator output is converted back to an analog signal with a 1-bit DAC, and subtracted from the input after passing through an integrator
The shape of the analog signal is transmitted as follows: a "1" indicates that a positive excursion has occurred since the last sample, and a "0" indicates that a negative excursion has occurred since the last sample.

 

Delta Modulation-------------- Next Slide-------------------Dr. Miguel Alonso Jr.

 

DM Block Diagram

 

Delta Modulation, Chapter Notes, PPT, ADC, Semester, Engineering - Computer Science Engineering (CSE)

 

Delta Modulation-------------- Next Slide-------------------Dr. Miguel Alonso Jr.

 

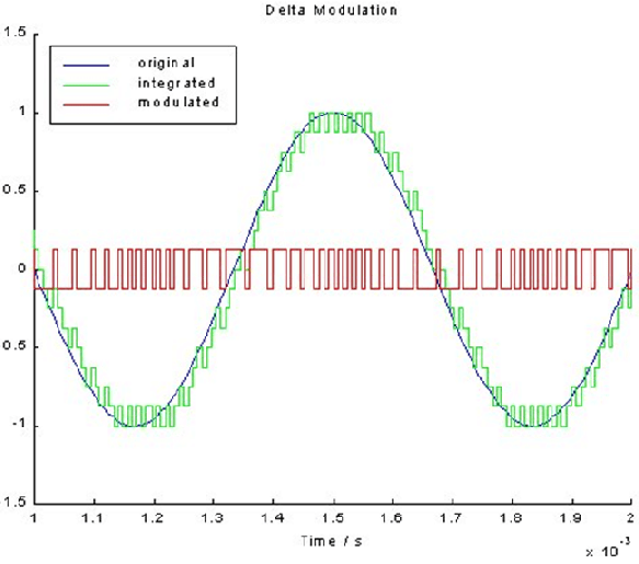
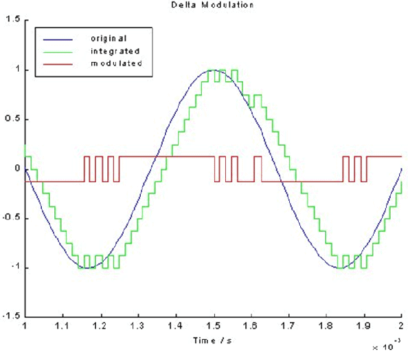
Resulting Waveforms

 

Delta Modulation, Chapter Notes, PPT, ADC, Semester, Engineering - Computer Science Engineering (CSE)

 

Delta Modulation-------------- Next Slide-------------------Dr. Miguel Alonso Jr.

 

Simple Implementation of a DM system

 

Delta Modulation, Chapter Notes, PPT, ADC, Semester, Engineering - Computer Science Engineering (CSE)

 

Delta Modulation-------------- Next Slide-------------------Dr. Miguel Alonso Jr.

 

Limitations of the system

 

• Slope overload
 
• When the analog signal has a high rate of change, the DM can “fall behind” and a distorted output occurs

Delta Modulation, Chapter Notes, PPT, ADC, Semester, Engineering - Computer Science Engineering (CSE)

 

Delta Modulation-------------- Next Slide-------------------Dr. Miguel Alonso Jr.

 

Delta Modulation, Chapter Notes, PPT, ADC, Semester, Engineering - Computer Science Engineering (CSE)

 

Delta Modulation-------------- Next Slide-------------------Dr. Miguel Alonso Jr.

 

Tradeoffs

 

• Simplicity versus Quality
 
• In order to obtain the high quality DM requires very high sampling rates, typically 20× the highest frequency of interest, as opposed to Nyquist rate of 2×
 

Delta Modulation-------------- Next Slide-------------------Dr. Miguel Alonso Jr.

 

Delta Modulation, Chapter Notes, PPT, ADC, Semester, Engineering - Computer Science Engineering (CSE)

 

Delta Modulation-------------- Next Slide-------------------Dr. Miguel Alonso Jr.

 

Delta Modulation, Chapter Notes, PPT, ADC, Semester, Engineering - Computer Science Engineering (CSE)

 

 

The document Delta Modulation, Chapter Notes, PPT, ADC, Semester, Engineering - Computer Science Engineering (CSE) is a part of Computer Science Engineering (CSE) category.
All you need of Computer Science Engineering (CSE) at this link: Computer Science Engineering (CSE)

FAQs on Delta Modulation, Chapter Notes, PPT, ADC, Semester, Engineering - Computer Science Engineering (CSE)

1. What is Delta Modulation?
Ans. Delta Modulation is a type of analog-to-digital conversion technique that samples the input signal at a constant rate and uses the difference between the current sample and the previous quantized sample to encode the signal. It is commonly used in telecommunications and audio applications.
2. How does Delta Modulation work?
Ans. Delta Modulation works by comparing the input signal with the quantized version of the previous sample. If the input signal is higher than the previous sample, a positive pulse is transmitted, indicating an increase in amplitude. If the input signal is lower, a negative pulse is transmitted, indicating a decrease in amplitude. This process is repeated at a constant sampling rate to reconstruct the original signal.
3. What are the advantages of Delta Modulation?
Ans. Delta Modulation offers several advantages, including simplicity of implementation, low cost, and efficient transmission of signals with a limited bandwidth. It also provides good resolution for slowly varying signals and is less sensitive to quantization noise compared to other analog-to-digital conversion techniques.
4. What are the limitations of Delta Modulation?
Ans. Delta Modulation has some limitations, such as high sensitivity to noise and distortion, especially for rapidly changing signals. It also suffers from slope overload distortion, where the quantization error increases when the input signal changes rapidly. Additionally, Delta Modulation requires a higher bit rate compared to other techniques to achieve the same signal quality.
5. How is Delta Modulation related to Computer Science Engineering (CSE)?
Ans. Delta Modulation is relevant to Computer Science Engineering (CSE) as it involves the design and implementation of algorithms and systems for analog-to-digital conversion. CSE professionals may work with Delta Modulation techniques to develop efficient and reliable methods for encoding and decoding analog signals in various applications, such as telecommunications, audio processing, and data compression.
Download as PDF

Top Courses for Computer Science Engineering (CSE)

Related Searches

Exam

,

Engineering - Computer Science Engineering (CSE)

,

Delta Modulation

,

pdf

,

Semester Notes

,

Semester

,

Semester

,

ADC

,

Delta Modulation

,

mock tests for examination

,

Free

,

ppt

,

Extra Questions

,

ADC

,

Previous Year Questions with Solutions

,

Important questions

,

PPT

,

Engineering - Computer Science Engineering (CSE)

,

Sample Paper

,

MCQs

,

PPT

,

Viva Questions

,

Chapter Notes

,

study material

,

Chapter Notes

,

Engineering - Computer Science Engineering (CSE)

,

Summary

,

PPT

,

Objective type Questions

,

practice quizzes

,

ADC

,

past year papers

,

shortcuts and tricks

,

Semester

,

video lectures

,

Chapter Notes

,

Delta Modulation

;