JEE Exam  >  JEE Notes  >  Mathematics (Maths) Class 12  >  Derivative of Antiderivative (Leibniz Rule)

Derivative of Antiderivative (Leibniz Rule) | Mathematics (Maths) Class 12 - JEE PDF Download

Rule:


If h(x) & g(x) are differentiable function of x then, Derivative of Antiderivative (Leibniz Rule) | Mathematics (Maths) Class 12 - JEE

Solved Examples

Ex.1 Find the derivative of the function g(x) = Derivative of Antiderivative (Leibniz Rule) | Mathematics (Maths) Class 12 - JEE

Sol. Since f(t) = Derivative of Antiderivative (Leibniz Rule) | Mathematics (Maths) Class 12 - JEE   is continuous, therefore g'(x) = Derivative of Antiderivative (Leibniz Rule) | Mathematics (Maths) Class 12 - JEE

Ex.2 If F(t) = Derivative of Antiderivative (Leibniz Rule) | Mathematics (Maths) Class 12 - JEEdx, find F'(1), F'(2), and F'(x).

Sol. The integrand in this example is the continuous function f defined by f(x) = Derivative of Antiderivative (Leibniz Rule) | Mathematics (Maths) Class 12 - JEE

Derivative of Antiderivative (Leibniz Rule) | Mathematics (Maths) Class 12 - JEE

Derivative of Antiderivative (Leibniz Rule) | Mathematics (Maths) Class 12 - JEE


Ex.3 Find Derivative of Antiderivative (Leibniz Rule) | Mathematics (Maths) Class 12 - JEE

Sol. Let u = x4. Then

Derivative of Antiderivative (Leibniz Rule) | Mathematics (Maths) Class 12 - JEE

Derivative of Antiderivative (Leibniz Rule) | Mathematics (Maths) Class 12 - JEE

Ex.4 FInd the derivative of F(x) = Derivative of Antiderivative (Leibniz Rule) | Mathematics (Maths) Class 12 - JEE

Sol.

Derivative of Antiderivative (Leibniz Rule) | Mathematics (Maths) Class 12 - JEE = (cos u) (3x2) = (cos x3) (3x2)

Derivative of Antiderivative (Leibniz Rule) | Mathematics (Maths) Class 12 - JEE

Derivative of Antiderivative (Leibniz Rule) | Mathematics (Maths) Class 12 - JEE

F'(x) = (cos x3) (3x2).

Ex.5 Let f(x) = Derivative of Antiderivative (Leibniz Rule) | Mathematics (Maths) Class 12 - JEE. Find the value of 'a' for which f'(x) = 0 has two distinct real roots.

Sol. Differentiating the given equation, we get f'(x) = (a – 1) (x+ x + 1)2 – (a + 1) (x2 + x + 1) (x2 – x + 1).
Now, f'(x) = 0 ⇒ (a – 1) (x2 + x + 1) – (a + 1) (x2 – x + 1) = 0 ⇒ x2 – ax + 1 = 0.
For distinct real roots D > 0 i.e. a2 – 4 > 0 ⇒  a2 > 4  ⇒  a ∈ (-∝, -2) U (2, ∝)


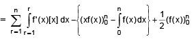
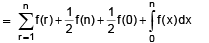
Ex.6 Show that for a differentiable function f(x), 

Derivative of Antiderivative (Leibniz Rule) | Mathematics (Maths) Class 12 - JEE
(where [ * ] denotes the greaetest integer function and n ε N)

Sol.

Derivative of Antiderivative (Leibniz Rule) | Mathematics (Maths) Class 12 - JEE

Derivative of Antiderivative (Leibniz Rule) | Mathematics (Maths) Class 12 - JEE

Derivative of Antiderivative (Leibniz Rule) | Mathematics (Maths) Class 12 - JEE

Derivative of Antiderivative (Leibniz Rule) | Mathematics (Maths) Class 12 - JEE

= – f(1) – f(2) – ........ – f(n – 1) – f(n) Derivative of Antiderivative (Leibniz Rule) | Mathematics (Maths) Class 12 - JEE

Derivative of Antiderivative (Leibniz Rule) | Mathematics (Maths) Class 12 - JEE

Ex.7 Evaluate Derivative of Antiderivative (Leibniz Rule) | Mathematics (Maths) Class 12 - JEE


Sol.

Derivative of Antiderivative (Leibniz Rule) | Mathematics (Maths) Class 12 - JEE

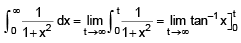
Ex.8 Evaluate Derivative of Antiderivative (Leibniz Rule) | Mathematics (Maths) Class 12 - JEE

Sol.

Derivative of Antiderivative (Leibniz Rule) | Mathematics (Maths) Class 12 - JEE
We must now evaluate the integrals on the right side separately :

Derivative of Antiderivative (Leibniz Rule) | Mathematics (Maths) Class 12 - JEE

Derivative of Antiderivative (Leibniz Rule) | Mathematics (Maths) Class 12 - JEE

Derivative of Antiderivative (Leibniz Rule) | Mathematics (Maths) Class 12 - JEE

Derivative of Antiderivative (Leibniz Rule) | Mathematics (Maths) Class 12 - JEE

Derivative of Antiderivative (Leibniz Rule) | Mathematics (Maths) Class 12 - JEE 

Since both of these integrals are convergent, the given integral is convergent and  Derivative of Antiderivative (Leibniz Rule) | Mathematics (Maths) Class 12 - JEE Since 1/(1 + x2) > 0, the given improper integral can be interpreated as the area of the infinite region that lies under the curve y = 1/(1 + x2) and above the x-axis (see Figure). 

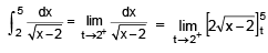
Ex.9 Find Derivative of Antiderivative (Leibniz Rule) | Mathematics (Maths) Class 12 - JEE

Sol.

We note first that the given integral is improper because f(x) = 1/√(x-2) has the vertical asymptote x = 2. Since the infinite discontinuity occurs at the left end point of [2, 5] 

Derivative of Antiderivative (Leibniz Rule) | Mathematics (Maths) Class 12 - JEE

Derivative of Antiderivative (Leibniz Rule) | Mathematics (Maths) Class 12 - JEE

Derivative of Antiderivative (Leibniz Rule) | Mathematics (Maths) Class 12 - JEE

Thus, the given improper integrat is convergent and, since the integrand is positive, we can interpret the value of the integral as the area of the shaded region in Figure.

Ex.10 Evaluate  Derivative of Antiderivative (Leibniz Rule) | Mathematics (Maths) Class 12 - JEE

Sol. We know that the function f(x) = ln x has a vertical asymptote at 0 since Derivative of Antiderivative (Leibniz Rule) | Mathematics (Maths) Class 12 - JEE Thus, the given integral is improper and we have  Derivative of Antiderivative (Leibniz Rule) | Mathematics (Maths) Class 12 - JEE

Now we integrate by parts with u = ln x, dv = dx, du = dx/x, and v = x

Derivative of Antiderivative (Leibniz Rule) | Mathematics (Maths) Class 12 - JEE

Derivative of Antiderivative (Leibniz Rule) | Mathematics (Maths) Class 12 - JEE =1 ln – t ln t – (1 – t)  = – t ln t – 1 + t

To find the limit of the first term we use I'Hopital's Rule :

Derivative of Antiderivative (Leibniz Rule) | Mathematics (Maths) Class 12 - JEE

Therefore   Derivative of Antiderivative (Leibniz Rule) | Mathematics (Maths) Class 12 - JEE  = –0 – 1 + 0 = –1

Figure shows the geometric interpretation of this result. The area of the shaded region above y = ln x and below the x-axis is 1.


Ex.11 Evaluate  Derivative of Antiderivative (Leibniz Rule) | Mathematics (Maths) Class 12 - JEE   (where [ * ] denotes the greatest integer function)

Sol.

Derivative of Antiderivative (Leibniz Rule) | Mathematics (Maths) Class 12 - JEE

Derivative of Antiderivative (Leibniz Rule) | Mathematics (Maths) Class 12 - JEE

Derivative of Antiderivative (Leibniz Rule) | Mathematics (Maths) Class 12 - JEE

Derivative of Antiderivative (Leibniz Rule) | Mathematics (Maths) Class 12 - JEE

for x > ln 2  ⇒  ex > 2 ⇒ e-x < 1/2 ⇒ 2e–x < 1  ∴ 0 ≤ 2e-x < 1 [2e-x] = 0

Derivative of Antiderivative (Leibniz Rule) | Mathematics (Maths) Class 12 - JEE

Derivative of Antiderivative (Leibniz Rule) | Mathematics (Maths) Class 12 - JEE

 

The document Derivative of Antiderivative (Leibniz Rule) | Mathematics (Maths) Class 12 - JEE is a part of the JEE Course Mathematics (Maths) Class 12.
All you need of JEE at this link: JEE
203 videos|307 docs|139 tests

FAQs on Derivative of Antiderivative (Leibniz Rule) - Mathematics (Maths) Class 12 - JEE

1. What is the Leibniz Rule for the derivative of an antiderivative?
Ans. The Leibniz Rule, also known as the Derivative of Antiderivative Rule, states that if F(x) is an antiderivative of f(x), then the derivative of the integral of f(x) with respect to x is equal to f(x). Mathematically, it can be expressed as d/dx ∫f(x) dx = f(x).
2. How is the Leibniz Rule derived?
Ans. The Leibniz Rule can be derived using the Fundamental Theorem of Calculus. According to this theorem, if F(x) is an antiderivative of f(x), then ∫f(x) dx = F(x) + C, where C is the constant of integration. Taking the derivative of both sides with respect to x, we get d/dx ∫f(x) dx = d/dx (F(x) + C). Since the derivative of a constant is zero, the result simplifies to d/dx ∫f(x) dx = d/dx F(x) = f(x).
3. Can the Leibniz Rule be applied to all functions?
Ans. The Leibniz Rule can be applied to functions that satisfy certain conditions. The function f(x) must be continuous on a closed interval [a, b] and have an antiderivative F(x) on that interval. If these conditions are met, then the Leibniz Rule can be used to find the derivative of the integral of f(x) with respect to x.
4. How is the Leibniz Rule used in practice?
Ans. The Leibniz Rule is a useful tool in calculus that allows us to find the derivative of an integral. It is often used in applications such as finding the rate of change of a quantity or determining the slope of a curve. By applying the Leibniz Rule, we can simplify complex expressions and solve problems involving integration and differentiation.
5. Are there any limitations to the Leibniz Rule?
Ans. Yes, there are certain limitations to the Leibniz Rule. It assumes that the function f(x) is continuous and has an antiderivative F(x) on the interval of interest. If these conditions are not met, the Leibniz Rule may not be applicable. Additionally, the Leibniz Rule does not provide a direct method for evaluating indefinite integrals or finding the exact antiderivative of a function. Other techniques such as u-substitution or integration by parts may be required in such cases.
Related Searches

MCQs

,

Sample Paper

,

shortcuts and tricks

,

Summary

,

ppt

,

Semester Notes

,

Extra Questions

,

Previous Year Questions with Solutions

,

Viva Questions

,

Free

,

past year papers

,

study material

,

Derivative of Antiderivative (Leibniz Rule) | Mathematics (Maths) Class 12 - JEE

,

practice quizzes

,

Derivative of Antiderivative (Leibniz Rule) | Mathematics (Maths) Class 12 - JEE

,

Important questions

,

video lectures

,

Objective type Questions

,

pdf

,

mock tests for examination

,

Derivative of Antiderivative (Leibniz Rule) | Mathematics (Maths) Class 12 - JEE

,

Exam

;