Mechanical Engineering Exam  >  Mechanical Engineering Notes  >  Design of Machine Elements  >  Design of Adhesive Joints

Design of Adhesive Joints | Design of Machine Elements - Mechanical Engineering PDF Download

Adhesive joints and their advantages 

If the load is not very large adhesive joints become very useful in joining metallic or non–metallic dissimilar materials. No special device is needed. But the disadvantage of this joint is that the joint gets weakened by moisture or heat and some adhesive needs meticulous surface preparation. In an adhesive joint, adhesive are applied between two plates known as adherend. The strength of the bond between the adhesive and adherend arise become of various reasons given below.


• The adhesive materials may penetrate into the adherend material and locks the two bodies.
• Long polymeric chain from the adhesive diffuse into the adherend body to form a strong bond.
• Electrostatic force may cause bonding of two surfaces.

The advantages of the adhesive joints are given below:
• The mechanism of adhesion helps to reduce stress concentration found in bolted, riveted and welded joints.
• Shock and impact characteristics of the joints are improved
• Dissimilar materials, such as metals, plastics, wood, ceramics can be joined.
• Adhesive joints allow sufficient mechanical compliance in parts subjected to thermal distortion.
• Adhesives can be contoured and formed in various fabrication processes.

 

Types of Adhesive Joints :

Common types of adhesive joints are shown in figure 10.5.1(a) – 1(d) 

(a) Single lap (unsupported) joint.

 

Design of Adhesive Joints | Design of Machine Elements - Mechanical Engineering

(b) Balanced double lap adhesive joint

Design of Adhesive Joints | Design of Machine Elements - Mechanical Engineering

(c) Unbalanced double lap joint

Design of Adhesive Joints | Design of Machine Elements - Mechanical Engineering

(d) Scarf Joint

Design of Adhesive Joints | Design of Machine Elements - Mechanical Engineering
Figure 10.5.1. Different types of adhesive joints

 

Stresses within adhesive :

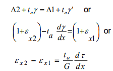
Experimental evidence clearly indicates that the stress and strain in adhesive layer are nonlinear in nature. Consider a single lap joint pulled by a force such that the joint does not bend. If the force is too large the joint bends and the adherend gets separated from adhesive by a mechanism known as peeling. However, when bending does not take place, the adhesive deforms by shear (see figure 10.5.2). Consider a small section of adhesive after deformation. The following relation is at once obvious from the geometry (figure 10.5.3)

 

Design of Adhesive Joints | Design of Machine Elements - Mechanical Engineering

 

Figure 10.5.3: Deformation of an element of length Δx. (In the figure:

 

Design of Adhesive Joints | Design of Machine Elements - Mechanical Engineering

 

Figure 10.5.3: Deformation of an element of length Δx. (In the figure:

Design of Adhesive Joints | Design of Machine Elements - Mechanical Engineering

Design of Adhesive Joints | Design of Machine Elements - Mechanical Engineering

 

Where

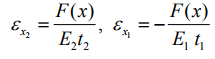
εx1 = longitudinal strain of the top fiber
εx2 = longitudinal strain of bottom fiber.
τ = shear stress
G = Rigidity Modulus of adhesive Design of Adhesive Joints | Design of Machine Elements - Mechanical Engineering
ta = thickness of adhesive

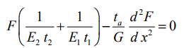
Assuming no slip (perfect bonding) between the adhered and adhesive εxt “s are then the longitudinal strains of the i-th plate i.e.

Design of Adhesive Joints | Design of Machine Elements - Mechanical Engineering

Where, A = bti            ti = thickness of the i-th plate
                                     b = width assumed as unity

In general F is a function of x, distance from the angle of the plate. Considering a small section of upper plate the following relation is obtained from equilibrium condition.

Design of Adhesive Joints | Design of Machine Elements - Mechanical Engineering

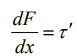
Since τ′ =τ (continuity of stress), one gets ultimately

Design of Adhesive Joints | Design of Machine Elements - Mechanical Engineering

or    Design of Adhesive Joints | Design of Machine Elements - Mechanical Engineering

 

where  Design of Adhesive Joints | Design of Machine Elements - Mechanical Engineering

solution τ =  A Cosh kx  + B Sinh kx . Noting that the shear stress is symmetric about the mid-section, τ = A Cosh kx , which attains minimum value at x= 0,

Further  Design of Adhesive Joints | Design of Machine Elements - Mechanical Engineering

 

If the force F is increased the stresses within adhesive go to plastic region and the joint fails as soon as entire adhesive becomes plastic. The analysis done above is very crude. The adhesive joint may fail by peeling. The design procedure for this case is very complicated and not yet finalized. In the following a simple design procedure for a very common type of adhesive joint, namely, scarf joint is outlined.

Design of a scarf joint: As explained earlier an adhesive joint fails by shear, though a complicated peeling phenomenon may sometimes appear. The design of a scarf joint is very simple. The joint is based on shear failure theory assuming the shear to have uniform value along the adhesive-adherend interface. The effect of non-uniformity in the stress distribution is taken care by introducing a stress concentration factor. The shear stress experienced within the adhesive is very easily found out for a joint subjected to axial load (see figure 10.5.4a) and bending moment (Figure 10.5.4b) as shown below.

Design of Adhesive Joints | Design of Machine Elements - Mechanical Engineering

A simple analysis shows that the shear stress in the adhesive is

Design of Adhesive Joints | Design of Machine Elements - Mechanical Engineering

where A = area of cross section of the bars θ = angle of inclination of the adhesive with horizontal.

The joint is safe when allow Design of Adhesive Joints | Design of Machine Elements - Mechanical Engineering where K is the stress concentration factor,

usually 1.5 – 2. If the joint is subjected to bending moment M the maximum shear stress developed within adhesive is given by

Design of Adhesive Joints | Design of Machine Elements - Mechanical Engineering

where h = depth of the adherend bar. Again, for a safe design this shear stress should not exceed a limiting value  Design of Adhesive Joints | Design of Machine Elements - Mechanical Engineering

 

Adhesive materials 

In order to increase the joint efficiency the rheological properties of adhesive material should be quite similar to that of the adherends. When the adherends are dissimilar the elastic modulus of the adhesive should be equal to arithmetic average of the elastic moduli of the adherends. Common types of adhesives are epoxies, polyester resins, nitric rubber phenolics. Epoxies are extensively used for mechanical purposes because of their high internal strength in cohesion, low shrinkage stresses, low temperature cure and creep, insensitivity to moisture etc. Often fillers like aluminum oxides, boron fibers are used to improve mechanical strength. Polyester resins are widely used in commercial fields for various structural applications involving plastics operating at moderate temperature.

The document Design of Adhesive Joints | Design of Machine Elements - Mechanical Engineering is a part of the Mechanical Engineering Course Design of Machine Elements.
All you need of Mechanical Engineering at this link: Mechanical Engineering
51 videos|102 docs|77 tests

FAQs on Design of Adhesive Joints - Design of Machine Elements - Mechanical Engineering

1. What are the advantages of using adhesive joints in mechanical engineering?
Ans. Adhesive joints offer several advantages in mechanical engineering. They provide high strength and durability, distribute stress evenly across the joint, and can join dissimilar materials. Adhesive joints also have good fatigue resistance, corrosion resistance, and can be used to bond irregularly shaped or complex structures.
2. How do adhesive joints work in mechanical engineering?
Ans. Adhesive joints work by using a bonding agent, such as epoxy or acrylic adhesive, to join two or more surfaces together. The adhesive is applied to the surfaces, and then the parts are pressed together to create a strong bond. The adhesive forms a molecular-level connection with the surfaces, creating an intimate contact and distributing the load across the joint.
3. What factors should be considered when designing adhesive joints in mechanical engineering?
Ans. Several factors should be considered when designing adhesive joints. These include selecting the appropriate adhesive based on the materials being bonded, considering the joint configuration and loading conditions, ensuring proper surface preparation, and accounting for environmental factors such as temperature, humidity, and chemical exposure.
4. How can the strength of adhesive joints be optimized in mechanical engineering?
Ans. The strength of adhesive joints can be optimized by following certain guidelines. These include ensuring proper surface preparation, such as cleaning and roughening the surfaces to improve adhesion, using the correct adhesive for the materials being bonded, applying the adhesive in the recommended thickness, and curing the adhesive under the appropriate temperature and pressure conditions.
5. What are some common challenges or limitations of adhesive joints in mechanical engineering?
Ans. While adhesive joints offer many advantages, they also have some challenges and limitations. These include the need for proper surface preparation, which can be time-consuming, and the potential for adhesive failure under extreme loading conditions. Adhesive joints may also require longer curing or drying times compared to other joining methods. Additionally, the performance of adhesive joints can be affected by environmental factors such as temperature, humidity, and exposure to chemicals.
Related Searches

Design of Adhesive Joints | Design of Machine Elements - Mechanical Engineering

,

Free

,

MCQs

,

Design of Adhesive Joints | Design of Machine Elements - Mechanical Engineering

,

past year papers

,

Sample Paper

,

video lectures

,

Important questions

,

Extra Questions

,

pdf

,

mock tests for examination

,

Design of Adhesive Joints | Design of Machine Elements - Mechanical Engineering

,

ppt

,

Summary

,

Viva Questions

,

Objective type Questions

,

Exam

,

Semester Notes

,

study material

,

practice quizzes

,

shortcuts and tricks

,

Previous Year Questions with Solutions

;