Mechanical Engineering Exam  >  Mechanical Engineering Notes  >  Design of Machine Elements  >  Design of Band & Disc Brakes

Design of Band & Disc Brakes | Design of Machine Elements - Mechanical Engineering PDF Download

Band brakes:

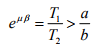
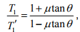
The operating principle of this type of brake is the following. A flexible band of leather or rope or steel with friction lining is wound round a drum. Frictional torque is generated when tension is applied to the band. It is known (see any text book on engineering mechanics) that the tensions in the two ends of the band are unequal because of friction and bear the following relationship:

Design of Band & Disc Brakes | Design of Machine Elements - Mechanical Engineering

where T1= tension in the taut side,
T2 = tension in the slack side,
μ = coefficient of kinetic friction and
β = angle of wrap.

If the band is wound around a drum of radius R, then the braking torque is

Design of Band & Disc Brakes | Design of Machine Elements - Mechanical Engineering

Depending upon the connection of the band to the lever arm, the member responsible for application of the tensions, the band brakes are of two types,

(a) Simple band brake: 

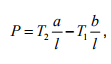
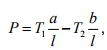
In simple band brake one end of the band is attached to the fulcrum of the lever arm (see figures 12.2.1(a) and 1(b) ). The required force to be applied to the lever is

Design of Band & Disc Brakes | Design of Machine Elements - Mechanical Engineering for clockwise rotation of the brake drum and

  Design of Band & Disc Brakes | Design of Machine Elements - Mechanical Engineering  for anticlockwise rotation of the brake drum,

where l = length of the lever arm and
b = perpendicular distance from the fulcrum to the point of attachment of other end of the band.

Design of Band & Disc Brakes | Design of Machine Elements - Mechanical Engineering

Design of Band & Disc Brakes | Design of Machine Elements - Mechanical Engineering

Figure 12.2.1: Band brakes

 

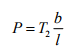
(b) Differential band brake:

In this type of band brake, two ends of the band are attached to two points on the lever arm other than fulcrum (see figures 12.2.2(a) and 12.2.2(b)). Drawing the free body diagram of the lever arm and taking moment about the fulcrum it is found that

  Design of Band & Disc Brakes | Design of Machine Elements - Mechanical Engineering for clockwise rotation of the brake drum and

Design of Band & Disc Brakes | Design of Machine Elements - Mechanical Engineering foranti clockwise rotation of the brake drum and

Hence, P is negative if

 

Design of Band & Disc Brakes | Design of Machine Elements - Mechanical Engineeringfor clockwise rotation of the brake drum

Design of Band & Disc Brakes | Design of Machine Elements - Mechanical Engineering for counterclockwise rotation of the brake drum. In

these cases the force is to be applied on the lever arm in opposite direction to maintain equilibrium. The brakes are then self locking.

The important design variables of a band brake are the thickness and width of the band. Since the band is likely to fail in tension, the following relationship is to be satisfied for safe operation.

T1 = wtsT

where w = width of the band,
t = thickness of the band and
sT= allowable tensile stress of the band material. The steel bands of the following dimensions are normally used

Design of Band & Disc Brakes | Design of Machine Elements - Mechanical Engineering

Design of Band & Disc Brakes | Design of Machine Elements - Mechanical Engineering

Fig 12.2.2(b): Differential Band brake with CCW rotation

 

Band and block brakes: 

 

Sometimes instead of applying continuous friction lining along the band, blocks of wood or other frictional materials are inserted between the band and the drum. In this case the tensions within the band at both sides of a block bear the relation

Design of Band & Disc Brakes | Design of Machine Elements - Mechanical Engineering

whereT1 = tension at the taut side of any block
T ′1 = tension at the slack side of the same block
 2θ = angle subtended by each block at center.
If n number of blocks are used then the ratio between the tensions at taut side to slack side becomes

Design of Band & Disc Brakes | Design of Machine Elements - Mechanical Engineering

The braking torque is Tbr =  (T1- T2 )  R

 

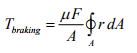
Disc brake:

In this type of brake two friction pads are pressed axially against a rotating disc to dissipate kinetic energy. The working principle is very similar to friction clutch. When the pads are new the pressure distribution at pad-disc interface is uniform, i.e.

p = constant .

 

If F is the total axial force applied then p =  F/A, where A is the area of the pad. The frictional torque is given by

 

  Design of Band & Disc Brakes | Design of Machine Elements - Mechanical Engineering

where μ = coefficient of kinetic friction and r is the radial distance of an infinitesimal element of pad. After some time the pad gradually wears away. The wear becomes uniforms after sufficiently long time, when

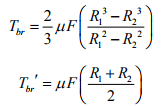
pr = constant = (say)

where  Design of Band & Disc Brakes | Design of Machine Elements - Mechanical Engineering The braking torque is

Design of Band & Disc Brakes | Design of Machine Elements - Mechanical Engineering

It is clear that the total braking torque depends on the geometry of the pad. If the annular pad is used then

Design of Band & Disc Brakes | Design of Machine Elements - Mechanical Engineering

where R1 and R2 are the inner and outer radius of the pad.

 

Friction materials and their properties. 

The most important member in a mechanical brake is the friction material. A good friction material is required to possess the following properties:

• High and reproducible coefficient of friction.
• Imperviousness to environmental conditions.
• Ability to withstand high temperature (thermal stability)
• High wear resistance.
• Flexibility and conformability to any surface.

Some common friction materials are woven cotton lining, woven asbestos lining, molded asbestos lining, molded asbestos pad, Sintered metal pads etc.

The document Design of Band & Disc Brakes | Design of Machine Elements - Mechanical Engineering is a part of the Mechanical Engineering Course Design of Machine Elements.
All you need of Mechanical Engineering at this link: Mechanical Engineering
49 videos|107 docs|77 tests

FAQs on Design of Band & Disc Brakes - Design of Machine Elements - Mechanical Engineering

1. What are band and disc brakes?
Ans. Band and disc brakes are types of braking systems used in mechanical engineering. Band brakes consist of a flexible band or strip of material that is wrapped around a drum. When the band is tightened, it creates friction against the drum, slowing down or stopping the rotation. Disc brakes, on the other hand, use a disc or rotor attached to the wheel. When the brake pedal is pressed, brake pads squeeze against the disc, creating friction and stopping the rotation.
2. What are the advantages of band brakes over disc brakes?
Ans. Band brakes have certain advantages over disc brakes. Firstly, they are simpler in design and construction, making them easier to manufacture and maintain. Band brakes are also less expensive compared to disc brakes. Additionally, band brakes can handle higher loads and are more effective in applications that require a higher torque capacity. However, band brakes may not provide the same level of stopping power or heat dissipation as disc brakes.
3. What are the advantages of disc brakes over band brakes?
Ans. Disc brakes offer several advantages over band brakes. Firstly, they provide better stopping power and are more responsive, especially at high speeds. Disc brakes also have superior heat dissipation capabilities, allowing them to withstand repeated braking without overheating. Another advantage of disc brakes is their compact size, which makes them suitable for applications with limited space. However, disc brakes can be more complex and expensive to manufacture and maintain compared to band brakes.
4. Which type of brake is commonly used in automobiles?
Ans. Disc brakes are the most commonly used braking system in automobiles. They offer better performance, heat dissipation, and responsiveness compared to band brakes. Disc brakes can effectively stop a moving vehicle and handle the high loads encountered in automotive applications. Additionally, disc brakes are more compact and can be easily integrated into the wheel assembly of a vehicle. However, band brakes may still be used in certain applications such as parking brakes.
5. What are the factors to consider when choosing between band and disc brakes?
Ans. When choosing between band and disc brakes, several factors should be considered. Firstly, the desired level of stopping power and responsiveness is crucial. If high-performance braking is required, disc brakes are a better choice. The available space for the brake system should also be considered, as disc brakes are more compact. The cost of manufacturing, installation, and maintenance should also be taken into account. Additionally, the torque capacity and load requirements of the application should influence the decision, as band brakes are better suited for higher torque applications.
Related Searches

Sample Paper

,

Design of Band & Disc Brakes | Design of Machine Elements - Mechanical Engineering

,

pdf

,

Important questions

,

shortcuts and tricks

,

ppt

,

Exam

,

past year papers

,

mock tests for examination

,

Semester Notes

,

Objective type Questions

,

video lectures

,

Extra Questions

,

Viva Questions

,

study material

,

Previous Year Questions with Solutions

,

practice quizzes

,

Design of Band & Disc Brakes | Design of Machine Elements - Mechanical Engineering

,

MCQs

,

Summary

,

Design of Band & Disc Brakes | Design of Machine Elements - Mechanical Engineering

,

Free

;