Mechanical Engineering Exam  >  Mechanical Engineering Notes  >  Design of Machine Elements  >  Design of Helical Springs for Variable Load - 2

Design of Helical Springs for Variable Load - 2 | Design of Machine Elements - Mechanical Engineering PDF Download

Extension springs

Part of an extension spring with a hook is shown in Fig.7.2.7. The nomenclature for the extension spring is given below.

Body length, LB : d ( N + 1 ) B 

Free length, L : LB + 2 hook diameter. 

B here, N stands for the number of active coils. By putting the hook certain amount of stress concentration comes in the bent zone of the hook and these are substantially weaker zones than the other part of the spring. One should take up steps so that stress concentration in this region is reduced. For the reduction of stress concentration at the hook some of the modifications of spring are shown in Fig 7.2.8.

 

 

Design of Helical Springs for Variable Load - 2 | Design of Machine Elements - Mechanical Engineering

Design of Helical Springs for Variable Load - 2 | Design of Machine Elements - Mechanical Engineering

 

Design of Helical Springs for Variable Load - 2 | Design of Machine Elements - Mechanical Engineering

 

Buckling of compression spring 

Buckling is an instability that is normally shown up when a long bar or a column is applied with compressive type of load. Similar situation arise if a spring is too slender and long then it sways sideways and the failure is known as buckling failure. Buckling takes place for a compressive type of springs. Hence, the steps to be followed in design to avoid buckling is given below.

Free length (L) should be less than 4 times the coil diameter (D) to avoid buckling for most situations. For slender springs central guide rod is necessary.

A guideline for free length (L) of a spring to avoid buckling is as follows,

 

Design of Helical Springs for Variable Load - 2 | Design of Machine Elements - Mechanical Engineering                     (7.2.8)

Design of Helical Springs for Variable Load - 2 | Design of Machine Elements - Mechanical Engineering

Where, Ce is the end condition and its values are given

 

Ce       end condition
 2.0      fixed and free end
 1.0       hinged at both ends
 0.707   hinged and fixed end
 0.5       fixed at both ends

If the spring is placed between two rigid plates, then end condition may be taken as 0.5. If after calculation it is found that the spring is likely to buckle then one has to use a guide rod passing through the center of the spring axis along which the compression action of the spring takes place.

 

Spring surge (critical frequency) 

If a load F act on a spring there is a downward movement of the spring and due to this movement a wave travels along the spring in downward direction and a to and fro motion continues. This phenomenon can also be observed in closed water body where a disturbance moves toward the wall and then again returns back to the starting of the disturbance. This particular situation is called surge of spring. If the frequency of surging becomes equal to the natural frequency of the spring the resonant frequency will occur which may cause failure of the spring. Hence, one has to calculate natural frequency, known as the fundamental frequency of the spring and use a judgment to specify the operational frequency of the spring.

The fundamental frequency can be obtained from the relationship given below.

 

Fundamental frequency  Design of Helical Springs for Variable Load - 2 | Design of Machine Elements - Mechanical Engineering

                          Design of Helical Springs for Variable Load - 2 | Design of Machine Elements - Mechanical Engineering                Both ends within flat plates               (7.2.9)

 

One end free and other end on flat plate.                                                                     (7.2.10)

 Where, K : Spring rate
 WS : Spring

 weight = 2.47 (7.2.11) γd2 DN                                                                                                (7.2.11)

 and d is the wire diameter, D is the coil diameter, N is the number of active coils and γ is the specific weight of spring material.

The operational frequency of the spring should be at least 15-20 times less than its fundamental frequency. This will ensure that the spring surge will not occur and even other higher modes of frequency can also be taken care of.

 

A problem on spring design

A helical spring is acted upon by a varying load of 300 N to 900 N respectively as shown in the figure. The spring deflection will be around 15 mm and outside diameter of the spring should be within 48-50 mm.

Design of Helical Springs for Variable Load - 2 | Design of Machine Elements - Mechanical Engineering

 

Solution 

To design the spring for the given data, the most important parameter is the spring index. The spring index decides the dimension of the spring with respect to chosen wire diameter. Normally the spring index varies over a wide range from 3-12. For higher value of the spring index the curvature effect will be less, but relatively size of the spring and stress in the spring wire will increase. However, the effects will be some what opposite if the value of spring index is lower. Hence, it is better to start the iteration process with the spring index of 6-7.

Let us start the problem with spring index, C=6 and wire diameter, d=7 mm.

The above choice gives us a coil mean diameter, D =42 mm. Thereby, the outside diameter of the coil is 49 mm, which is within the given limit. Computation of stresses:

          The mean load      Design of Helical Springs for Variable Load - 2 | Design of Machine Elements - Mechanical Engineering

Design of Helical Springs for Variable Load - 2 | Design of Machine Elements - Mechanical Engineering

 

Design of Helical Springs for Variable Load - 2 | Design of Machine Elements - Mechanical Engineering

Estimation of material properties:

As no specific use of the spring is mentioned in the problem, let us take Chrome Vanadium as the spring material. This alloy spring steel is used for high stress conditions and at high temperatures, it is also good for fatigue resistance and long endurance for shock and impact loads.

Ultimate strength of the material σut Design of Helical Springs for Variable Load - 2 | Design of Machine Elements - Mechanical Engineering

From the relationship of σult to τy (yield point) and endurance limit,  τe we find that

Design of Helical Springs for Variable Load - 2 | Design of Machine Elements - Mechanical Engineering

Design of Helical Springs for Variable Load - 2 | Design of Machine Elements - Mechanical Engineering

Factor of safety, FS=1.0 implies that the design do not consider any unforeseen effect that may cause extra stresses in the spring. Normally in design of springs it is better to consider a factor of safety which should be in the vicinity of 1.3-1.5.

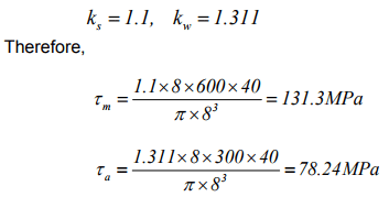
In order to increase the value of FS, in the next iteration, natural choice for the spring index, C is 5 and d = 8 mm. Because C=7 and d = 6 mm will lead to more stress on the wire and the value of FS will not improve. With C=5 and d=8 mm and following the similar procedure as in previous iteration we have,

Design of Helical Springs for Variable Load - 2 | Design of Machine Elements - Mechanical Engineering

Design of Helical Springs for Variable Load - 2 | Design of Machine Elements - Mechanical Engineering

Design of Helical Springs for Variable Load - 2 | Design of Machine Elements - Mechanical Engineering

The factor of safety obtained is acceptable. Therefore the value of spring index is 5 and corresponding wire diameter is 8mm.

Hence, mean spring diameter, D=40 mm.

Outer diameter of spring, Do=40+8=48 mm, This value is within the prescribed limit.

Inner diameter of spring, . D= 32mm

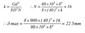
Spring rate Design of Helical Springs for Variable Load - 2 | Design of Machine Elements - Mechanical Engineering

Once the value of stiffness is known, then the value of number of active turns, N of the spring is,

Design of Helical Springs for Variable Load - 2 | Design of Machine Elements - Mechanical Engineering

In the above equation, G = 80000 MPa.

Spring Nomenclature: 

Let us select the type of spring as squared and ground ends. For this type of spring the value of free length is,

Design of Helical Springs for Variable Load - 2 | Design of Machine Elements - Mechanical Engineering

Design of Helical Springs for Variable Load - 2 | Design of Machine Elements - Mechanical Engineering

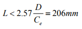
Check for buckling: 

We know that for steel,

Design of Helical Springs for Variable Load - 2 | Design of Machine Elements - Mechanical Engineering

Here, for the given spring seat configuration, Ce = 0.5

The free length of the spring, 170 mm is less than the critical length for buckling, 206mm. Therefore the design is safe.

Check for critical frequency: 

In order to find the critical frequency of the spring, the weight of the spring is to be first computed,

Design of Helical Springs for Variable Load - 2 | Design of Machine Elements - Mechanical Engineering

Therefore,

The fundamental frequency of the spring (for both ends within flat plates),

Design of Helical Springs for Variable Load - 2 | Design of Machine Elements - Mechanical Engineering

Safe frequency for design should be at least 20 times less than the fundamental frequency to take care of more number of harmonics. Therefore, the spring frequency for should be around 6 Hz.

 

 

 

The document Design of Helical Springs for Variable Load - 2 | Design of Machine Elements - Mechanical Engineering is a part of the Mechanical Engineering Course Design of Machine Elements.
All you need of Mechanical Engineering at this link: Mechanical Engineering
51 videos|102 docs|77 tests

FAQs on Design of Helical Springs for Variable Load - 2 - Design of Machine Elements - Mechanical Engineering

1. What is the purpose of designing helical springs for variable load?
Ans. The purpose of designing helical springs for variable load is to provide a mechanism that can support varying loads or forces while maintaining a consistent level of deflection or displacement.
2. What factors should be considered when designing helical springs for variable load?
Ans. When designing helical springs for variable load, several factors need to be considered, including the maximum and minimum loads, the material properties, the desired deflection or displacement, the spring rate, and the maximum stress levels.
3. How can the spring rate of a helical spring for variable load be determined?
Ans. The spring rate of a helical spring for variable load can be determined by dividing the change in force or load by the change in deflection or displacement. This will provide the stiffness or resistance of the spring to external forces.
4. What materials are commonly used in the construction of helical springs for variable load?
Ans. Helical springs for variable load are commonly constructed using materials such as steel alloys, stainless steel, and non-ferrous alloys like bronze or titanium. The material selection depends on factors such as strength, corrosion resistance, and temperature requirements.
5. Are there any limitations or considerations when designing helical springs for variable load?
Ans. Yes, there are some limitations and considerations when designing helical springs for variable load. These include the maximum stress levels the spring can handle, the fatigue life of the spring, the potential for buckling or coil interference, and the need for proper deflection or displacement under varying loads.
Related Searches

Semester Notes

,

ppt

,

Objective type Questions

,

MCQs

,

practice quizzes

,

shortcuts and tricks

,

Design of Helical Springs for Variable Load - 2 | Design of Machine Elements - Mechanical Engineering

,

study material

,

Design of Helical Springs for Variable Load - 2 | Design of Machine Elements - Mechanical Engineering

,

Exam

,

mock tests for examination

,

video lectures

,

Extra Questions

,

pdf

,

Viva Questions

,

Sample Paper

,

past year papers

,

Free

,

Summary

,

Design of Helical Springs for Variable Load - 2 | Design of Machine Elements - Mechanical Engineering

,

Important questions

,

Previous Year Questions with Solutions

;