Digital Signal Processors | Embedded Systems (Web) - Computer Science Engineering (CSE) PDF Download

Instructional Objectives 

After going through this lesson the student would learn 

  • Architecture of a Real time Signal Processing Platform 
  • Different Errors introduced during A-D and D-A converter stage 
  • Digital Signal Processor Architecture 
  • Difference in the complexity of programs between a General Purpose Processor and Digital Signal Processor 

Pre-Requisite 

Digital Electronics, Microprocessors 

Introduction 

Evolution of Digital Signal Processors 

Comparative Performance with General Purpose Processor 

Introduction

Digital Signal Processing deals with algorithms for handling large chunk of data. This branch identified itself as a separate subject in 70s when engineers thought about processing the signals arising from nature in the discrete form. Development of Sampling Theory followed and the design of Analog-to-Digital converters gave an impetus in this direction. The contemporary applications of digital signal processing was mainly in speech followed by Communication, Seismology, Biomedical etc. Later on the field of Image processing emerged as another important area in signal processing. 

The following broadly defines different processor classes 

  • General Purpose - high performance 
    • Pentiums, Alpha's, SPARC 
    • Used for general purpose software 
    • Heavy weight OS - UNIX, NT 
    • Workstations, PC's 
  • Embedded processors and processor cores 
    • ARM, 486SX, Hitachi SH7000, NEC V800 
    • Single program 
    • Lightweight, real-time OS 
    • DSP support 
    • Cellular phones, consumer electronics (e. g. CD players) 
  • Microcontrollers 
    • Extremely cost sensitive 
    • Small word size - 8 bit common 
    • Highest volume processors by far 
    • Automobiles, toasters, thermostats, ... 

A Digital Signal Processor is required to do the following Digital Signal Processing tasks in real time 

  • Signal Modeling 
    • Difference Equation 
    • Convolution 
    • Transfer Function 
    • Frequency Response 
  • Signal Processing 
    • Data Manipulation 
    • Algorithms Filtering 
    • Estimation 

What is Digital Signal Processing?

Application of mathematical operations to digitally represented signals 

  • Signals represented digitally as sequences of samples 
  • Digital signals obtained from physical signals via transducers (e.g., microphones) and analog-to- digital converters (ADC) 
  • Digital signals converted back to physical signals via digital-to-analog converters (DAC) 
  • Digital Signal Processor (DSP): electronic system that processes digital signals 

Digital Signal Processors | Embedded Systems (Web) - Computer Science Engineering (CSE)

Fig. 7.1 The basic Signal Processing Platform 

The above figure represents a Real Time digital signal processing system. The measurand can be temperature, pressure or speech signal which is picked up by a sensor (may be a thermocouple, microphone, a load cell etc). The conditioner is required to filter, demodulate and amplify the signal. The analog processor is generally a low-pass filter used for anti-aliasing effect. The ADC block converts the analog signals into digital form. The DSP block represents the signal processor. The DAC is for Digital to Analog Converter which converts the digital signals into analog form. The analog low-pass filter eliminates noise introduced by the interpolation in the DAC. 

Digital Signal Processors | Embedded Systems (Web) - Computer Science Engineering (CSE)
Digital Signal Processors | Embedded Systems (Web) - Computer Science Engineering (CSE)

The performance of the signal processing system depends to the large extent on the ADC. The ADC is specified by the number of bits which defines the resolution. The conversion time decides the sampling time. The errors in the ADC are due to the finite number of bits and finite conversion time. Some times the noise may be introduced by the switching circuits. 

Similarly the DAC is represented by the number of bits and the settling time at the output. A DSP tasks requires 

  • Repetitive numeric computations 
  • Attention to numeric fidelity 
  • High memory bandwidth, mostly via array accesses 
  • Real-time processing 

And the DSP Design should minimize 

  • Cost 
  • Power 
  • Memory use 
  • Development time  

Take an Example of FIR filtering both by a General Purpose Processor as well as DSP 

Digital Signal Processors | Embedded Systems (Web) - Computer Science Engineering (CSE)

Digital Signal Processors | Embedded Systems (Web) - Computer Science Engineering (CSE)

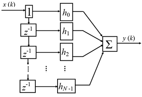
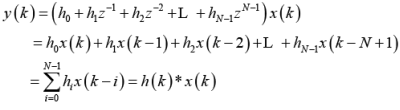
An FIR (Finite Impulse Response filter) is represented as shown in the following figure. The output of the filter is a linear combination of the present and past values of the input. It has several advantages such as: 

  • Linear Phase 
  • Stability 
  • Improved Computational Time

Digital Signal Processors | Embedded Systems (Web) - Computer Science Engineering (CSE)

Fig. 7.3 Tapped Delay Line representation of an FIR filter 

FIR filter on (simple) General Purpose Processor 

loop: 

lw x0, (r0)
 lw y0, (r1)
 mul a, x0,y0
 add b,a,b
 inc r0
 inc r1
 dec ctr 
 tst ctr
 jnz loop
 sw b,(r2)
 inc r2 

This program assumes that the finite window of input signal is stored at the memory location starting from the address specified by r1 and the equal number filter coefficients are stored at the memory location starting from the address specified by r0. The result will be stored at the memory location starting from the address specified by r2. The program assumes the content of the register b as 0 before the start of the loop. 

lw x0, (r0)
 lw y0, (r1) 

These two instructions load x0 and y0 registers with values from the memory location specified by the registers r0 and r1 with values x0 and y0 

mul a, x0,y0 

This instruction multiplies x0 with y0 and stores the result in a.  

add b,a,b 

This instruction adds a with b (which contains already accumulated result from the previous operation) and stores the result in b. 

inc r0
 inc r1
 dec ctr
 tst ctr
 jnz loop 

The above portion of the program increment the registers to point to the next memory location, decrement the counters, to see if the filter order has been reached and tests for 0. It jumps to the start of the loop. 

sw b,(r2)
 inc r2 

This stores the final result and increments the register r2 to point to the next location. 

Let us see the program for an early DSP TMS32010 developed by Texas

Instruments in 80s.  It has got the following features 

  • 16-bit fixed-point 
  • Harvard architecture separate instruction and data memories 
  • Accumulator 
     
  • Specialized instruction set Load and Accumulate 
  • 390 ns Multiple-Accumulate(MAC)

TI TMS32010 (Ist DSP) 1982  

Digital Signal Processors | Embedded Systems (Web) - Computer Science Engineering (CSE)

The program for the FIR filter (for a 3rd order) is given as follows 

Digital Signal Processors | Embedded Systems (Web) - Computer Science Engineering (CSE)

• Two instructions per tap, but requires unrolling
 ; for comment lines 
 LT X4  Loading from direct address X4
 MPY H4 Multiply and accumulate  
 LTD X3 Loading and shifting in the data points in the memory
 The advantages of the DSP over the General Purpose Processor can be written as Multiplication and Accumulation takes place at a time. Therefore this architecture supports filtering kind of tasks. The loading and subsequent shifting is also takes place at a time. 

II. Questions 

1. Discuss the different errors introduced in a typical real time signal processing systems. 

Answers 

Various errors are in 

ADC 

i. Sampling error
ii. Quantization
iii. Coding 

Algorithm 

iv. in accurate modeling
v. Finite word length
vi. Round of errors
vii. Delay due to finite execution time of the processor 

DAC  

viii. Decoding
ix. Transients in sampling time 

The document Digital Signal Processors | Embedded Systems (Web) - Computer Science Engineering (CSE) is a part of the Computer Science Engineering (CSE) Course Embedded Systems (Web).
All you need of Computer Science Engineering (CSE) at this link: Computer Science Engineering (CSE)
47 videos|77 docs|65 tests

FAQs on Digital Signal Processors - Embedded Systems (Web) - Computer Science Engineering (CSE)

1. What is a digital signal processor (DSP)?
Ans. A digital signal processor (DSP) is a specialized microprocessor designed to efficiently perform complex mathematical operations on digital signals. It is optimized for processing and manipulating digital signals, such as audio, video, and sensor data, in real-time applications.
2. How does a digital signal processor differ from a general-purpose microprocessor?
Ans. Unlike a general-purpose microprocessor, a digital signal processor is specifically designed to handle digital signal processing tasks more efficiently. It typically has specialized hardware components, such as multiply-accumulate units, optimized instruction sets, and parallel processing capabilities, which make it better suited for real-time signal processing applications.
3. What are the common applications of digital signal processors?
Ans. Digital signal processors find applications in various domains, including telecommunications, audio and video processing, image and speech recognition, radar and sonar systems, medical imaging, automotive electronics, and industrial control systems. They are used to perform tasks like noise reduction, filtering, compression, equalization, modulation, and demodulation.
4. How do digital signal processors achieve real-time processing of signals?
Ans. Digital signal processors achieve real-time processing of signals by executing instructions in parallel and using specialized hardware components. They have multiple processing units that can perform operations simultaneously, allowing them to process incoming data in real-time without significant delays. Additionally, their optimized instruction sets and efficient memory access contribute to faster signal processing.
5. What are the advantages of using digital signal processors over software-based signal processing?
Ans. Using digital signal processors offers several advantages over software-based signal processing. DSPs can perform computations in real-time, making them suitable for time-critical applications. They have dedicated hardware for signal processing tasks, which results in faster and more efficient processing. DSPs also consume less power compared to general-purpose processors when performing the same signal processing tasks. Additionally, they can be programmed to perform specific signal processing functions, providing flexibility and customization options.
Related Searches

Exam

,

Summary

,

past year papers

,

shortcuts and tricks

,

MCQs

,

video lectures

,

pdf

,

Objective type Questions

,

Digital Signal Processors | Embedded Systems (Web) - Computer Science Engineering (CSE)

,

Important questions

,

Digital Signal Processors | Embedded Systems (Web) - Computer Science Engineering (CSE)

,

Digital Signal Processors | Embedded Systems (Web) - Computer Science Engineering (CSE)

,

Free

,

Semester Notes

,

Sample Paper

,

Previous Year Questions with Solutions

,

Viva Questions

,

Extra Questions

,

mock tests for examination

,

study material

,

ppt

,

practice quizzes

;