Civil Engineering (CE) Exam  >  Civil Engineering (CE) Notes  >  Displacement, Velocity and Acceleration

Displacement, Velocity and Acceleration - Civil Engineering (CE) PDF Download

Displacement, velocity and acceleration
The vector field, u, defined as

u = x − X,                                              (3.27)

represents the displacement field, that is the displacement of the material particles initially at X or currently at x depending on whether Lagrangian or Eulerian description is used. Thus,
Displacement, Velocity and Acceleration - Civil Engineering (CE)

Figure 3.2 schematically shows the displacement vector. As shown in the figure, displacement vector is a straight line segment joining the location of a material particle in the current and reference configuration. While, in the schematic we have used the same coordinate system to describe all the three directed line segments namely, the position vector of a particle in the reference configuration, current configuration and the displacement vector; this is not necessary. In fact, if one uses cylindrical polar coordinate basis, the position vector of the material particle in the current and reference configuration, in general would be different.

Displacement, Velocity and Acceleration - Civil Engineering (CE)
Figure 3.2: Schematic of deformation of a cube (X position vector of a typical material particle in the reference configuration, x position vector of the same material particle whose position vector in the reference configuration is X in the current configuration, u displacement vector of this material particle).

The first and second total time derivatives of the motion field is called the velocity and acceleration respectively. Thus
Displacement, Velocity and Acceleration - Civil Engineering (CE)

We note that both the velocity and acceleration can be expressed as a Lagrangian field or Eulerian field. From the definition of the displacement (3.27) it can be seen that the velocity and acceleration can be equivalently written as,

Displacement, Velocity and Acceleration - Civil Engineering (CE)  


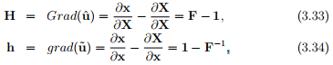
Gradient of displacement 
As we have seen before, the displacement field can be expressed as a Lagrangian field or Eulerian field. Thus, we can have a Lagrangian displacement gradient, H and a Eulerian displacement gradient, h defined as

Displacement, Velocity and Acceleration - Civil Engineering (CE)

Recognize that these gradients are not the same. To see this, we compute the displacement gradient in terms of the deformation gradient as

Displacement, Velocity and Acceleration - Civil Engineering (CE)


Example 
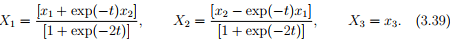
A certain motion of a continuum body in the material description is given in the form:

x1 = X− exp(−t)X2, x2 = exp(−t)X1 + X2, x3 = X3,            (3.35)

for t > 0. Find the displacement, velocity and acceleration components in terms of the material and spatial coordinates and time. Also find the deformation and displacement. Assume that the same Cartesian coordinate basis and origin is used to describe the body both in the current and the reference configuration.
It follows from (3.27) that

û = − exp(−t)X2E1 + exp(−t)X1E2.                                  (3.36)

Similarly, from (3.30) we obtain

Displacement, Velocity and Acceleration - Civil Engineering (CE)

Inverting the motion field (3.35) we obtain

Displacement, Velocity and Acceleration - Civil Engineering (CE)

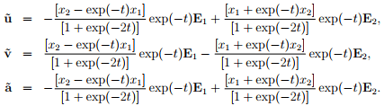
Substituting (3.39) in (3.36), (3.37) and (3.38) we obtain the Eulerian form of the displacement, velocity and acceleration fields as Displacement, Velocity and Acceleration - Civil Engineering (CE)

Here we have made use of the fact that the same Cartesian basis vectors are used to define both the current and the reference configuration. Next, we compute the deformation gradient to be

Displacement, Velocity and Acceleration - Civil Engineering (CE)

and the Lagrangian and Eulerian displacement gradient as

Displacement, Velocity and Acceleration - Civil Engineering (CE)

Notice that at t = 0, F ≠ 1, but F tends to 1 as time, t tends to . This just indicates that the configuration chosen as reference is not the one at time t = 0, but at some other time and this is permissible.

The document Displacement, Velocity and Acceleration - Civil Engineering (CE) is a part of Civil Engineering (CE) category.
All you need of Civil Engineering (CE) at this link: Civil Engineering (CE)

FAQs on Displacement, Velocity and Acceleration - Civil Engineering (CE)

1. What is displacement?
Displacement refers to the change in position of an object from its initial point to its final point. It is a vector quantity, meaning it has both magnitude and direction. Displacement can be positive, negative, or zero depending on the direction of the object's movement.
2. How is velocity different from speed?
Velocity is a vector quantity that describes the rate of change of displacement with respect to time. It includes both the magnitude (speed) and direction of an object's motion. On the other hand, speed is a scalar quantity that only indicates the magnitude of an object's motion without considering its direction.
3. What is the relationship between displacement and velocity?
Displacement and velocity are closely related. Velocity is defined as the rate of change of displacement with respect to time. In other words, velocity is the displacement divided by the time interval taken to cover that displacement. Mathematically, velocity = displacement/time.
4. How does acceleration relate to velocity?
Acceleration is the rate of change of velocity with respect to time. It indicates how quickly an object's velocity is changing. If the acceleration is positive, it means the object is speeding up. If the acceleration is negative, it means the object is slowing down. Acceleration can also change the direction of an object's velocity.
5. Can an object have zero displacement but non-zero velocity?
Yes, an object can have zero displacement but non-zero velocity. This can occur when the object moves in a circular path and returns to its starting point. In this case, the object's displacement is zero because it ends up at the same position where it started. However, since velocity is a vector quantity that includes both magnitude and direction, the object's velocity can be non-zero if it is moving at a constant speed in the circular path.
Download as PDF

Top Courses for Civil Engineering (CE)

Related Searches

Displacement

,

shortcuts and tricks

,

Velocity and Acceleration - Civil Engineering (CE)

,

Displacement

,

Important questions

,

Sample Paper

,

Free

,

video lectures

,

Extra Questions

,

mock tests for examination

,

Summary

,

ppt

,

MCQs

,

study material

,

pdf

,

practice quizzes

,

Viva Questions

,

past year papers

,

Exam

,

Displacement

,

Velocity and Acceleration - Civil Engineering (CE)

,

Semester Notes

,

Previous Year Questions with Solutions

,

Objective type Questions

,

Velocity and Acceleration - Civil Engineering (CE)

;