Class 3 Exam  >  Class 3 Notes  >  Mathematics for Class 3  >  Chapter Notes: Division

Division Class 3 Notes Maths

Introduction

Have you ever shared a packet of chocolates with your friends? Imagine Yash's mother gave him 10 toffees. He decided to share the toffees equally with his four friends—Mohan, Anil, Jiten and Lakshya. How many toffees will each of them get?
Division Class 3 Notes MathsLet us find out:
Yash gives 1 toffee to each friend including himself.
Division Class 3 Notes MathsYash is left with five toffees to be distributed.
Division Class 3 Notes MathsYash gives one more toffee to each friend. Now, each of them has:
Division Class 3 Notes MathsNow, Yash is left with no toffees to be distributed.
You can see that each of them gets 2 toffees.
So, if we divide (share equally) 10 toffees among 5 people, each of them gets 2 toffees.
We can write this as a division fact, as shown below.
Division Class 3 Notes Maths

Parts of a Division Equation

A division equation has three parts: the dividend, the divisor and the quotient. 

Division Class 3 Notes Maths

  • The dividend is the number that is being divided, and it is usually larger.
  • The divisor is the number that divides the dividend into equal parts, and it is typically smaller.
  • The quotient is the answer we get after performing the division.

Division as Forming Equal Groups

Let us take 15 balls and divide them into groups of 5 balls each.
Division Class 3 Notes MathsHow many groups have you made?Division Class 3 Notes Maths
How many balls in each group?Division Class 3 Notes Maths
We write the above division fact as:
Division Class 3 Notes MathsDivision Class 3 Notes Maths
The terms that we use in a division fact are:
Division Class 3 Notes Maths

Division as Repeated Subtraction

Anand has 8 pieces of chocolate pastries. There are some guests coming for dinner at his house. He gives 2 pastries to each guest. How many guests are there at his house?
Division Class 3 Notes MathsChocolate pastries remaining after giving 2 pieces to the first guest, 8 – 2 = 6.
Division Class 3 Notes MathsChocolate pastries remaining after giving 2 pieces to the second guest, 6 – 2 = 4.
Division Class 3 Notes MathsChocolate pastries remaining after giving 2 pieces to the third guest, 4 – 2 = 2.
Division Class 3 Notes MathsChocolate pastries remaining after giving 2 pieces to his fourth guest, 2 – 2 = 0.
We can show how Anand distributed pastries to his guests as:
Division Class 3 Notes MathsThus, we can see that 2 is subtracted from 8 four times. So, the number of guests to whom 2 pastries each are given is 4. This can be represented by a division fact as 8 ÷ 2 = 4.
Division Class 3 Notes Maths
So, as multiplication is repeated addition, division is repeated subtraction.

Question for Chapter Notes: Division
Try yourself:How many toffees does each person get when Yash shares 10 toffees with himself and his four friends?
View Solution

Division on a Number Line

Look at the following.
Division Class 3 Notes MathsYou skip count backwards by 3 until you reach 0. How many times do you have to skip count from 15 to 0? You make 5 skip counts.
So,
Division Class 3 Notes Maths

Relation between Multiplication and Division

Let us take an example to understand how multiplication and division are related.
Kavita has 6 stickers on a sheet of paper. She has arranged them as follows.
Division Class 3 Notes MathsDivision Class 3 Notes MathsThus, it can be concluded that

Division is opposite or inverse of multiplication.

Relation between division and multiplication fact can be shown on the number line as under: 
Multiplication is like forward jumps on the number line.
Division Class 3 Notes Maths

Four forward jumps of 5 take you from 0 to 20.

Division is like backward jumps on the number line.
Division Class 3 Notes Maths

Four backward jumps of 5 take you from 20 to 0.

Example 1: Find 14 ÷ 2.

From the multiplication table of 2, you know that 2 × 7 = 14.
Think:
Division Class 3 Notes Maths
Therefore, 14 ÷ 2 = 7.

Properties of Division

1. Dividing by 1Division Class 3 Notes Maths

See the given picture.

How many ones in 3?

Clearly, 3 ÷ 1 = 3.

Thus,

Any number divided by 1 gives the same number.

2. Dividing by the Number Itself

Division Class 3 Notes MathsHow many starfish are in each group?

Clearly, there is 1 star fish in each group.

So, 5 ÷ 5 = 1.

Any number divided by itself is equal to 1.

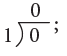
3. Dividing Zero by a Number

Study the following examples.
0 ÷ 1 = 0 or Division Class 3 Notes Maths
0 ÷ 5 = 0 or Division Class 3 Notes Maths

When you divide 0 by a number, the quotient is always 0.

4. Dividing a Number by Zero

Study the following examples.
5 ÷ 0 = ? or Division Class 3 Notes Maths7 ÷ 0 = ? orDivision Class 3 Notes Maths

When you have zero as a divisor, the quotient is not defined.

Question for Chapter Notes: Division
Try yourself:
How many skip counts are needed to go from 15 to 0 by counting backwards by 3?
View Solution

Division using Multiplication Tables

You can use the multiplication table to divide.
To divide 42 ÷ 6, think that, 6 sevens are 42. Therefore,
42 ÷ 6 = 7 or Division Class 3 Notes Maths
72 ÷ 8 = 9 orDivision Class 3 Notes Maths
Think: 8 nines are 72.
Division Class 3 Notes Maths

Basic Division Facts

Division Class 3 Notes MathsDivision Class 3 Notes Maths

Division with Remainder

A number does not always divide another number exactly. At times, there is a left over. The left over is called a remainder, written as or R in short form.
Division Class 3 Notes MathsAs the remainder is 1. So, one tomato is left over.
A shorter way is to subtract 3 fives in one step instead of subtracting it in three steps, as done here.
Division Class 3 Notes Maths

Example 2: Divide:
(a) 75 ÷ 8.
(b) 64 ÷ 8.

Division Class 3 Notes Maths
Thus, 75 ÷ 8 = 9r3.
Division Class 3 Notes Maths
Thus, 64 ÷ 8 = 8.

Checking Division

Division Class 3 Notes Maths

Rule: Multiply the quotient by the divisor and add the remainder to this product. The result should be the same as the dividend.
Divisor × Quotient + Remainder = Dividend

Example 3: Divide the following. Check your division.
(a) 35 ÷ 4
(b) 76 ÷ 8

Division Class 3 Notes Maths
Check:
4 × 8 + 3 = 35 = Dividend
Division Class 3 Notes Maths
Check:
8 × 9 + 4 = 76 = Dividend

Division by a 1-Digit Number (Without Remainder)

Consider 48 ÷ 4.
Method:

Step 1: Arrange the numbers, as shown.
Division Class 3 Notes Maths
Step 2: Divide 4 tens by 4, 4 ÷ 4 = 1.
Write 1 in the tens place in the quotient and write 4 × 1 = 4 below 4 in the dividend.
Now, subtract 4 – 4 = 0.
Step 3: Bring down 8 ones and divide it by 4.
We get as 8 ÷ 4 = 2.
Write 2 in the ones place of the quotient and 4 × 2 = 8, below 8 in the dividend.
Now, subtract 8 – 8 = 0.
Thus, 48 ÷ 4 = 12.
Short Form:
Division Class 3 Notes Maths

Example 4: Divide 36 by 3.

Division Class 3 Notes Maths
Thus, 36 ÷ 3 = 12.
Short Form:
Division Class 3 Notes Maths
Think:
Step 1: Divide the tens. 3 tens ÷ 3 = 1 ten.
Write 1 in the quotient at tens place.
Step 2: Divide the ones. 6 ones ÷ 3 = 2 ones.
Write 2 in the quotient at ones place.

Example 5: Divide 488 by 2.

Division Class 3 Notes Maths
Thus, 488 ÷ 2 =244.
Short Method:
Division Class 3 Notes Maths
1.First, divide 4 hundreds by 2.
2. Next, divide 8 tens by 2.
3.Lastly, divide 8 ones by 2.
There is no remainder.

Example 6: Divide 9633 by 3.

Division Class 3 Notes Maths
Thus, 9633 ÷ 3 = 3211.
You may divide mentally and write as under.
Short Method:
Division Class 3 Notes Maths
1. First, divide 9 thousands by 3.
2. Next, divide 6 hundreds by 3.
3. Next, divide 3 tens by 3.
4. Lastly, divide 3 ones by 3.
There is no remainder.

Edurev Tips: Once you have practiced enough, then you should be able to divide using short form.

Question for Chapter Notes: Division
Try yourself:What is the result of 75 ÷ 8?
View Solution

Division by Regrouping (Without Remainder)

Example 7: Divide 92 by 4.

Division Class 3 Notes Maths
Thus, 92 ÷ 4 = 23.
Method:
Step 1: Divide 9 tens by 4.
Write 2 in the quotient at tens place and write 4 × 2 = 8, below 9.
Now, subtract 9 – 8 = 1.
Step 2:Bring down 2. Now 12 will be new dividend.
Divide 12 by 4. 4 goes into 12, 3 times.
Write 3 in the ones column above 2 and 4 × 3 = 12 below 12.
Now subtract 12 – 12 = 0.
Short Method:
Division Class 3 Notes Maths

Example 8: Divide 2975 by 5.

Division Class 3 Notes Maths
Thus, 2975 ÷ 5 = 595.
Short Method:
Division Class 3 Notes Maths
2 < 5, so we consider 29, the number formed by the first two digits 2 and 9 of the dividend and divide it by 5. Using the multiplication table of 5, we see that 5 goes into 29, 5 times and yields 4 as a remainder. Write the quotient 5 above 9 of 29. Then, complete the division as shown by bringing down 7 and lastly bringing down the digit 5 of the dividend.

Example 9: Divide 9390 by 6.

Division Class 3 Notes Maths
Thus, 9390 ÷ 6 = 1565.
Short Method:
Division Class 3 Notes Maths
Step 1: First, divide 9 thousands by 6. You find that 6 goes into 9 one time. Write 1 in the thousands column  of the quotient. Now subtract: 9 Th – 6 Th = 3 Th.
Step 2: Bring down 3 from hundreds making it 33 hundreds. 6 goes into 33 five times and yields remainder 3.  Write 5 in the hundreds column of the quotient. Subtract: 33 H – 30 H = 3 H.
Step 3: Now, bring down 9 from tens place making it 39. 6 goes into 39 six times leaving remainder 3. Write 6 in the tens column of the quotient. Subtract: 39 T – 36 T = 3 T.
Step 4: Lastly, bring down 0 from ones place making it 30. 6 goes into 30 five times. Write 5 in the ones column of the quotient. Subtract:30 O – 30 O = 0 O.

Division by 10 and 100

Study the following.
Division Class 3 Notes Maths
What do you notice?

Rule: To divide a number ending in zeros by 10, remove one zero from the right.

Division Class 3 Notes Maths
What do you notice?

Rule: To divide a number ending in zeros by 100, remove two zeros from the right.

Division by Regrouping (With Remainder)

Example 10: John is having a birthday party. He invited nine friends and his mother baked 75 cookies for the party. How many cookies did each friend get? How many cookies were left?

To find the number of cookies each friend gets, we divide 75 by 9. The remainder gives the number of left over cookies.
Division Class 3 Notes Maths
Thus, each friend gets 8 cookies and 3 cookies are left over.

Example 11: Divide 538 by 8.

Division Class 3 Notes Maths
Thus, 538 ÷ 8 = 67r2.

Example 12: Divide 763 by 8 and check the result.

Division Class 3 Notes Maths
Here, Divisor = 8, Quotient = 95, Remainder = 3, Dividend = 763
Check: Divisor × Quotient + Remainder
= 8 × 95 + 3 = 763
= Dividend
Thus, 763 ÷ 8 = 95r3.

Edurev Tips: (Divisor × Quotient) + Remainder = Dividend

Problems Based on Real Life Situations


Ques 1. 
Division Class 3 Notes MathsSuppose there are 12 children such that 4 children are in each row.
So how many rows are there in total?
Write:12 ÷ 4 = 3
Think: How many 4s in 12?
The division fact, 12 ÷ 4 = 3 answers this question.
Thus, 3 rows of 4 children each.

Ques 2.
Division Class 3 Notes Maths1576 biscuit packets are to be distributed equally in 8 shops.
How many biscuit packets will each shop receive?
To know the answer, we find 1576 ÷ 8 as shown on the right.
We have a quotient as 197.
So, each shop will receive 197 biscuit packets.
Working:
Division Class 3 Notes Maths

Question for Chapter Notes: Division
Try yourself:What is the quotient when 92 is divided by 4?
View Solution

The document Division Class 3 Notes Maths is a part of the Class 3 Course Mathematics for Class 3.
All you need of Class 3 at this link: Class 3
18 videos|120 docs|25 tests

FAQs on Division Class 3 Notes Maths

1. What are the basic parts of a division equation?
Ans. A division equation usually consists of three main parts: the dividend, the divisor, and the quotient. The dividend is the number being divided, the divisor is the number you are dividing by, and the quotient is the result of the division.
2. How is division related to multiplication?
Ans. Division is the inverse operation of multiplication. This means that if you multiply a number by a certain value and then divide the result by that same value, you will return to the original number. For example, if 6 (the dividend) is divided by 2 (the divisor), the quotient is 3, which is the same as saying 2 multiplied by 3 equals 6.
3. What are some properties of division?
Ans. Some key properties of division include: 1) Division by 1 leaves the number unchanged (e.g., 7 ÷ 1 = 7), 2) Division by the number itself results in 1 (e.g., 9 ÷ 9 = 1), and 3) Division by 0 is undefined. It's important to note that division does not have the commutative property like addition or multiplication.
4. How can I use multiplication tables to help with division?
Ans. Multiplication tables can help with division by allowing you to see which numbers can be multiplied together to reach the dividend. For instance, if you want to solve 12 ÷ 3, you can look for a multiplication fact that shows which number multiplied by 3 equals 12 (in this case, it’s 4, since 3 x 4 = 12).
5. What does it mean to divide with a remainder?
Ans. Dividing with a remainder occurs when the dividend is not perfectly divisible by the divisor. For example, in 14 ÷ 5, 5 goes into 14 two times (which makes 10), but there are 4 left over. Thus, the quotient is 2 and the remainder is 4, often written as 14 ÷ 5 = 2 R4.
Related Searches

Summary

,

Exam

,

Semester Notes

,

Division Class 3 Notes Maths

,

Division Class 3 Notes Maths

,

mock tests for examination

,

Division Class 3 Notes Maths

,

Viva Questions

,

shortcuts and tricks

,

study material

,

video lectures

,

Objective type Questions

,

practice quizzes

,

Important questions

,

Extra Questions

,

Free

,

MCQs

,

past year papers

,

Sample Paper

,

ppt

,

pdf

,

Previous Year Questions with Solutions

;