Chemical Engineering Exam  >  Chemical Engineering Notes  >  Chemical Technology  >  Dmt and Terephthalic Acid; Polyester; Pet Resin; Pbt Resin (Part - 2)

Dmt and Terephthalic Acid; Polyester; Pet Resin; Pbt Resin (Part - 2) | Chemical Technology - Chemical Engineering PDF Download

Mobil Process

In Mobil process, p-xylene is oxidized in presence of cobalt based catalyst without using any promoter. The reaction takes place in acetic acid medium at around 130 oC. Methyl ethyl ketone is used as activator. After cooling, washing and centrifuging, crude TPA is sent to purification section. Detail of manufacturing process of TPA is shown in Figure M-VIII 6.4.

Here the purification of crude TPA takes place in two steps. The crude TPA is slurred with acetic acid and charged to leaching stage. During leaching impurities like p-carboxybenzaldehyde and cobalt catalyst are removed from the crude TPA. Crude TPA (about 99.5percent pure) is further purified by sublimation. Crude TPA from leaching operation is dispersed in steam; hydrogen and catalyst are added to the dispersed TPA, which is then passed through heated furnace. The purified TPA vapors after separating impurities are condensed.  

Dmt and Terephthalic Acid; Polyester; Pet Resin; Pbt Resin (Part - 2) | Chemical Technology - Chemical EngineeringDmt and Terephthalic Acid; Polyester; Pet Resin; Pbt Resin (Part - 2) | Chemical Technology - Chemical EngineeringDmt and Terephthalic Acid; Polyester; Pet Resin; Pbt Resin (Part - 2) | Chemical Technology - Chemical EngineeringDmt and Terephthalic Acid; Polyester; Pet Resin; Pbt Resin (Part - 2) | Chemical Technology - Chemical Engineering

Figure M-VIII 6.4:  Manufacturing Process of TPA 

    Polyethylene Terephthalte (Polyester) 

There are two routes for making Polyester DMT route or PTA route. However, with availability of the pure terephthalic acid and because of its advantages over dimethyl terephthalate, now polyester through esterification route is more commonly used.

 Raw Material: Terephthalic acid (TPA), ethylene glycol, dimethyl terephthalate

Dmt and Terephthalic Acid; Polyester; Pet Resin; Pbt Resin (Part - 2) | Chemical Technology - Chemical EngineeringDmt and Terephthalic Acid; Polyester; Pet Resin; Pbt Resin (Part - 2) | Chemical Technology - Chemical Engineering

Terylene

                           Dmt and Terephthalic Acid; Polyester; Pet Resin; Pbt Resin (Part - 2) | Chemical Technology - Chemical Engineering

Ethylene glycol 

Process Unit 

Typical Polyester plant consist of following unit

  • P-xylene
  • DMT unit/PTA unit
  • Ethylene glycol
  • Polyester manufacture
  • Transesterification(incase of DMT)/ Esterification (incase of PTA)
  • Polymerisation
  • Spinning
  • Cutting and bailing

 Polyethylene Terephthalate (PET) from DMT

PET from DMT is made by transesterification route by reaction of dimethyl terephthalate with ethylene glycol followed by poly-condensation. Polyester through trans esterification route was more common earlier due to non-availability of purified terephthalic acid. During transesterification, methanol obtained as by product. Figure M-VIII 6.5 describes the manufacturing process of polyester from DMT.

Dmt and Terephthalic Acid; Polyester; Pet Resin; Pbt Resin (Part - 2) | Chemical Technology - Chemical EngineeringDmt and Terephthalic Acid; Polyester; Pet Resin; Pbt Resin (Part - 2) | Chemical Technology - Chemical EngineeringDmt and Terephthalic Acid; Polyester; Pet Resin; Pbt Resin (Part - 2) | Chemical Technology - Chemical Engineering

Figure M-VIII 6.5: Polyester from Dimethyl Terephthalate (DMT)

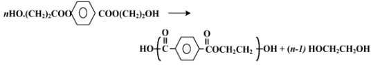
Polyethylene Terephthalate (PET) from PTA

PET from purified terephthalic acid (PTA)is made by esterification route by reaction of purified terephthalic acid (PTA) with ethylene glycol followed by polycondensation. Figure M-VIII 6.6 describes the manufacturing process of polyester from PTA 

Dmt and Terephthalic Acid; Polyester; Pet Resin; Pbt Resin (Part - 2) | Chemical Technology - Chemical EngineeringDmt and Terephthalic Acid; Polyester; Pet Resin; Pbt Resin (Part - 2) | Chemical Technology - Chemical Engineering

Poly Condensation: Temperature 270-280oC, short polycondensation time, high vacuum for proper degree of polycondensation. Thermal decomposition increases with high melt temperature and higher degree of polycondensation. Thermal instability of polyester melt influence the fibre. Decomposition lowers the viscosity of polyester melt.

Catalyst: Antimony trioxide

Flasher, prepolymeriser, finisher

Vacuum at last stage: 2 mm Hg, 285oC.

Spinning: Spinning of polyester is done by melt spinning. Molten polymer passed through spinnerate. The extruded filaments from the spinnerates are quenched and cooled by air. The quenched filaments are passed to winding unit through finish applicator. The spun yarn is passed to draw twisting and draw texturing unit 

                                 Dmt and Terephthalic Acid; Polyester; Pet Resin; Pbt Resin (Part - 2) | Chemical Technology - Chemical Engineering

Dmt and Terephthalic Acid; Polyester; Pet Resin; Pbt Resin (Part - 2) | Chemical Technology - Chemical Engineering

Figure M-VIII 6.6: Polyester from Purified Terephthalic Acid 

Polyethylene Terephthalate (Pet) and Polybutene Terephthalate (Pbt) Resin
Polyethylene terephthalate (PET) and Polybutene terephthalate (PBT) are two important saturated thermoplastics. PET apart from its major use as synthetic fiber finds application in photographic film, videotape, computer and magnetic tapes, beverage bottles, etc  Demand for polyethylene terephthalate (PET) packaging resin continues to grow strong and attracting new entrants into market. PET packaging industry growth rates are driven by continued strong demand for bottle water, the expansion of niche carbonated soft drink markets and new packaging applications for PET.

As the use of PET packaging matures in established outlets like carbonated soft drinks and bottled water, the world PET resin market is expected to be around 17 million tonnes by 2010. PET packaging resin has come of age and is now a globally traded commodity with inter regional world trade amounting to around 15percent of global consumption [Chemical News and Intelligence, www.conionline.com].  

The IntegRexTM PET process is the world’s first integrated PET process specially designed for packaging resin. Compared to conventional PTA and PET processes, IntegRexTM technology stands out for fewer process steps, is similar, more reliable and more cost efficient. Polybutylene terephthalate which was introduced in 1962 and was made available around 1971 is made by condensing terephthalic acid or dimethyl ester with 1,4-butanediol. Polybutene terephthalate is polymerised in two stages. In first stage bis-hydroxy butyl terephthalate (BisHBT) is formed through trans-esterification of DMT with 1,4-butanediol. In second stage BisHBT is polycondensed into PBT with elimination of 1,4-butanediol. The reaction involved is:  

Dmt and Terephthalic Acid; Polyester; Pet Resin; Pbt Resin (Part - 2) | Chemical Technology - Chemical EngineeringDmt and Terephthalic Acid; Polyester; Pet Resin; Pbt Resin (Part - 2) | Chemical Technology - Chemical Engineering

PBT finds use as engineering material due its dimensional stability, particularly in water and its resistance to hydrocarbon oils without showing stress cracking, high mechanical strength and excellent electrical properties, lower water absorption. Blends of PET and PBT are used in glass fibers reinforced grade. PBT find application in pipe, pump hosing, impeller bearing brushing, gear wheels, and electrical parts such as connector and fuse cases, automotive parts and toothbrush bristles. Because of thermoplastic nature both PET and PBT may be injection or extrusion molded.

The document Dmt and Terephthalic Acid; Polyester; Pet Resin; Pbt Resin (Part - 2) | Chemical Technology - Chemical Engineering is a part of the Chemical Engineering Course Chemical Technology.
All you need of Chemical Engineering at this link: Chemical Engineering
69 videos|121 docs

FAQs on Dmt and Terephthalic Acid; Polyester; Pet Resin; Pbt Resin (Part - 2) - Chemical Technology - Chemical Engineering

1. What is the chemical structure of DMT (Dimethyl Terephthalate)?
Ans. The chemical structure of DMT is C10H10O4. It consists of two methyl groups (CH3) attached to a terephthalic acid (C6H4(COOH)2) molecule.
2. How is Terephthalic Acid synthesized?
Ans. Terephthalic Acid is synthesized through the oxidation of para-xylene, which is obtained from crude oil or natural gas. The oxidation process involves the use of air or oxygen and a catalyst such as cobalt or manganese. The resulting product is then purified to obtain pure terephthalic acid.
3. What is the difference between PET resin and PBT resin?
Ans. PET (Polyethylene Terephthalate) resin and PBT (Polybutylene Terephthalate) resin are both types of polyester, but they have different properties. PET resin has excellent clarity, high tensile strength, and good chemical resistance, making it suitable for packaging materials and beverage bottles. On the other hand, PBT resin has higher heat resistance, better electrical properties, and superior dimensional stability, making it suitable for electrical components and automotive parts.
4. How is polyester made from DMT and Terephthalic Acid?
Ans. Polyester is made by a process called polycondensation, where DMT and Terephthalic Acid are reacted together in the presence of a catalyst and heat. This reaction forms a polymer chain with repeating units of the terephthalate group. The resulting polyester can then be processed into various forms such as fibers, films, or resins.
5. What is PET resin commonly used for?
Ans. PET resin is commonly used for producing plastic bottles for beverages, food containers, and packaging materials. It is also used in the textile industry for making polyester fibers, which are used in clothing, upholstery, and carpets. Additionally, PET resin is utilized in the manufacturing of films for various applications such as solar panels, electronics, and medical devices.
Related Searches

Dmt and Terephthalic Acid; Polyester; Pet Resin; Pbt Resin (Part - 2) | Chemical Technology - Chemical Engineering

,

shortcuts and tricks

,

Viva Questions

,

Sample Paper

,

Previous Year Questions with Solutions

,

past year papers

,

Dmt and Terephthalic Acid; Polyester; Pet Resin; Pbt Resin (Part - 2) | Chemical Technology - Chemical Engineering

,

Summary

,

Objective type Questions

,

Semester Notes

,

Exam

,

study material

,

Free

,

mock tests for examination

,

ppt

,

MCQs

,

practice quizzes

,

Dmt and Terephthalic Acid; Polyester; Pet Resin; Pbt Resin (Part - 2) | Chemical Technology - Chemical Engineering

,

Extra Questions

,

Important questions

,

video lectures

,

pdf

;