Chemical Engineering Exam  >  Chemical Engineering Notes  >  Chemical Technology  >  Dyestuff Industry (Part - 2)

Dyestuff Industry (Part - 2) | Chemical Technology - Chemical Engineering PDF Download

Gamma Acid 

Gamma acid belongs to the class of hydroxyl naphthalene mono sulphonic acid is a key intermediate used as diazo and coupling component for the manufacture of commercial dyes belonging to the class of direct, acid, acid-modrant and reactive dyes 

Dyestuff Industry (Part - 2) | Chemical Technology - Chemical Engineering

Manufacturing Process:

G-salt is subjected to Bucherer reaction with liquor ammonia in presence of sodium bisulphite in aqueous solution under pressure in an autoclave to obtain the amido G-salt. Which then subjected to alkali fusion with excesses of caustic soda flakes then neutralized with 40% sulphuric acid to isolate the Gamma acid. 

Chemical Reactions 

Dyestuff Industry (Part - 2) | Chemical Technology - Chemical Engineering

Dyestuff Industry (Part - 2) | Chemical Technology - Chemical Engineering

Tobias Acid 

Tobias acid is an important dye intermediate belonging to the class of amino naphthalene mono sulphonic acid. It’s used in the manufacture of a number of reactive, direct, acid and acidmordant dyes. 

Dyestuff Industry (Part - 2) | Chemical Technology - Chemical Engineering

Manufacturing Process:

Oxy-Tobias acid undergoes amidation by Bucherer reaction in the presence of ammonia, ammonium sulphite and ammonium sulphate, After amidation to bias acid formed in dissolved state as its ammonium salt, then subjected to acidification with sulphuric acid for isolate the Tobias acid. 

Chemical Reactions 

Dyestuff Industry (Part - 2) | Chemical Technology - Chemical Engineering

Metanillic Acid (6-Chloro metanillic acid) 

6-Chloro metanillic acid is a key diazo-component used as an intermediate in the manufacture of a variety of direct and acid dyes which are used to dye cotton and wool. 

Dyestuff Industry (Part - 2) | Chemical Technology - Chemical Engineering

Manufacturing Process: 

Ortho nitro chlorobenzene (ONCB) is sulphonated with oleum to afford ONCB parasulphonic acid (ONCB PSA) , then reduced with iron and concentrated hydrocholoric acid at 95-100Oc in 5 to 6 h. The filtrate is acidified to afford the 6-Chloro metanillic acid which is centrifuged and dried 

Chemical Reactions

Dyestuff Industry (Part - 2) | Chemical Technology - Chemical Engineering

Dyestuff Industry (Part - 2) | Chemical Technology - Chemical Engineering

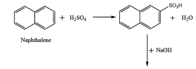
β-NAPHTHOL

β-Naphthol is an important dye intermediate used as a coupling component for manufacture of widely used azo dyes. 

 

Dyestuff Industry (Part - 2) | Chemical Technology - Chemical Engineering

Manufacturing Process:

Naphthalene is sulphonated with concentrated sulphuric acid gives naphthalene -1-sulphonic acid. The diluted mass is neutralized with aqueous solution of sodium sulphite containing sodium sulphate 

Chemical Reaction

 

Dyestuff Industry (Part - 2) | Chemical Technology - Chemical Engineering

Dyestuff Industry (Part - 2) | Chemical Technology - Chemical Engineering

Anthraquinone -1- Sulphonic Acid Sodium Salt 

9, 10-Anthraquinone and all its derivatives are important building block for a variety of dyestuffs, in particular for disperse, solvent and acid dyes.

Manufacturing Process: 

Phthalate anhydride is treated with benzene in excess of the AlCl3 as a catalyst gives orthobenzoyl benzoic acid (BOB) in form of Al complex. BOB future subjected to cyclization and sulphonation using in the presence of HgO as a catalyst to obtain anthraquinone-1-sulphonic acid.

 

Dyestuff Industry (Part - 2) | Chemical Technology - Chemical Engineering

Chemical Reactions 

 

Dyestuff Industry (Part - 2) | Chemical Technology - Chemical Engineering

Anthraquinone -1- Sulphonic Acid Amminium Salt

 

Dyestuff Industry (Part - 2) | Chemical Technology - Chemical Engineering

Manufacturing Process:

Mercury is heated into 20% oleum at 80oC for 3 h then anthraquinone (AQ) is heated at 130oC for 3 h to complete sulphonation of AQ after filtration the filtrate neutrilize with ammonia and after cooling 30oC precipitate out anthraquinone -1- sulphonic acid ammonium salt

Chemical Reactions . 

 

Dyestuff Industry (Part - 2) | Chemical Technology - Chemical Engineering

                                            Dyestuff Industry (Part - 2) | Chemical Technology - Chemical Engineering

Resorcinol 

Resorcinol is a key dyestuff intermediate widely used as a coupling component for a variety of azo dyes belonging to various classes such as direct, acid, reactive and disperse dyes. It is also an important monomer for the production of polymers especially polyesters. Derivatives of resorcinol have also found use as sun screen agents and UV stabilizers. 

Dyestuff Industry (Part - 2) | Chemical Technology - Chemical Engineering

Manufacturing Process: 

Benzene is sulphonated using liquid sulphur trioxide in presence of sulphuric acid and sodium sulphate. The benzene disulphonic acid (BDSA) is converted to its disodium salt using soda ash, which then treated sulphuric acid then resorcinol is extracted with butyl acetate.

Chemical Reaction 

Dyestuff Industry (Part - 2) | Chemical Technology - Chemical Engineering

Dark Blue Bo:

Dark blue (BO) is a vat dye containing two or more keto groups which has great affinity for cellulosic fibre.

 

Dyestuff Industry (Part - 2) | Chemical Technology - Chemical Engineering

Violanthrone

Manufacturing Process

Naphthalene and sodium acetate with molten mixture of NaOH and KOH are added in 1.25h at 185oC then crude benzanthrone heated over 4 h at 235oC. The dye which separates out is filtered off through filter press and wash well with hot water.

Dyestuff Industry (Part - 2) | Chemical Technology - Chemical Engineering

 

The document Dyestuff Industry (Part - 2) | Chemical Technology - Chemical Engineering is a part of the Chemical Engineering Course Chemical Technology.
All you need of Chemical Engineering at this link: Chemical Engineering
69 videos|121 docs

FAQs on Dyestuff Industry (Part - 2) - Chemical Technology - Chemical Engineering

1. What are the different types of dyestuffs used in the dyestuff industry?
Ans. The dyestuff industry utilizes various types of dyestuffs, including reactive dyes, acid dyes, direct dyes, disperse dyes, and vat dyes. Reactive dyes are widely used due to their ability to form covalent bonds with the fabric, resulting in excellent color fastness. Acid dyes are suitable for dyeing protein fibers like wool and silk. Direct dyes are used for dyeing cellulosic fibers, while disperse dyes are primarily employed for synthetic fibers. Vat dyes are known for their excellent lightfastness and are primarily used for dyeing cotton.
2. How is the dyeing process carried out in the dyestuff industry?
Ans. The dyeing process in the dyestuff industry involves several steps. Initially, the fabric is prepared through processes like desizing, scouring, and bleaching to remove impurities and improve dye absorption. The fabric is then immersed in a dyebath containing the desired dyestuff and subjected to appropriate conditions such as temperature, pH, and time. The dyestuff molecules penetrate the fabric and form bonds, resulting in coloration. After dyeing, the fabric is rinsed to remove excess dye and undergoes finishing processes like drying and fixation to enhance color fastness.
3. What are the environmental concerns associated with the dyestuff industry?
Ans. The dyestuff industry is known to have certain environmental concerns. One major issue is the generation of wastewater containing residual dyes and chemicals. These pollutants can have adverse effects on aquatic life and water quality. Additionally, the energy-intensive nature of dyeing processes contributes to greenhouse gas emissions and resource depletion. The industry has been making efforts to develop eco-friendly dyes, improve wastewater treatment methods, and adopt sustainable practices to mitigate these environmental concerns.
4. How does the dyestuff industry ensure the safety of its workers?
Ans. The dyestuff industry prioritizes the safety of its workers through various measures. Workers are provided with personal protective equipment (PPE) such as gloves, masks, and goggles to minimize exposure to dyes and chemicals. Safety training programs educate workers on proper handling and storage of hazardous substances. The industry also complies with regulations regarding workplace safety and regularly conducts risk assessments to identify and mitigate potential hazards. Moreover, emergency response plans are in place to address any accidents or chemical spills promptly.
5. What are the major challenges faced by the dyestuff industry?
Ans. The dyestuff industry encounters several challenges. One significant challenge is meeting the increasing demand for sustainable and eco-friendly dyes while maintaining color quality and performance. Developing dyes that are both economically viable and environmentally friendly is a complex task. Another challenge is the strict regulations on the use of certain chemicals in dyes due to their potential health and environmental risks. The industry also faces competition from low-cost dyes produced in countries with less stringent regulations. Additionally, ensuring consistent dyeing results across different fabric types and shades can be challenging due to variations in fiber properties and dye affinity.
Related Searches

pdf

,

past year papers

,

Sample Paper

,

MCQs

,

Dyestuff Industry (Part - 2) | Chemical Technology - Chemical Engineering

,

mock tests for examination

,

study material

,

Dyestuff Industry (Part - 2) | Chemical Technology - Chemical Engineering

,

shortcuts and tricks

,

Important questions

,

Summary

,

Viva Questions

,

practice quizzes

,

Previous Year Questions with Solutions

,

Extra Questions

,

Exam

,

Semester Notes

,

Free

,

video lectures

,

Dyestuff Industry (Part - 2) | Chemical Technology - Chemical Engineering

,

ppt

,

Objective type Questions

;