Eddy Current & Hysteresis Loss | Basic Electrical Technology - Electrical Engineering (EE) PDF Download

Introduction 

While discussing magnetic circuit in the previous lesson (no. 21) we assumed the exciting current to be constant d.c. We also came to know how to calculate flux (φ) or flux density (B) in the core for a constant exciting current. When the exciting current is a function of time, it is expected that flux (φ) or flux density (B) will be functions of time too, since φ produced depends on i. In addition if the current is also alternating in nature then both the magnitude of the flux and its direction will change in time. The magnetic material is now therefore subjected to a time varying field instead of steady constant field with d.c excitation. Let:  

                   The exciting current i(t) = Imax sin ωt

Assuming linearity, flux density B(t) = μ 0 μ r H(t) 

                                         Eddy Current & Hysteresis Loss | Basic Electrical Technology - Electrical Engineering (EE)

Voltage induced in a stationary coil placed in a time varying field  

If normal to the area of a coil, a time varying field φ(t) exists as in figure 22.1, then an emf is induced in the coil. This emf will appear across the free ends 1 & 2 of the coil. Whenever we talk about some voltage or emf, two things are important, namely the magnitude of the voltage and its polarity. Faraday’s law tells us about the both. Mathematically it is written as e(t)  Eddy Current & Hysteresis Loss | Basic Electrical Technology - Electrical Engineering (EE)

Eddy Current & Hysteresis Loss | Basic Electrical Technology - Electrical Engineering (EE)

Figure 22.1:

Let us try to understand the implication of this equation a bit deeply. φ(t) is to be taken normal to the surface of the coil. But a surface has two normals; one in the upward direction and the other in downward direction for the coil shown in the figure. Which one to take? The choice is entirely ours. In this case we have chosen the normal along the upward direction. This direction is obtained if you start your journey from the terminal-2 and reach the terminal-1 in the anticlockwise direction along the contour of the coil. Once the direction of the normal is chosen what we have to do is to express φ(t) along the same direction. Then calculate  Eddy Current & Hysteresis Loss | Basic Electrical Technology - Electrical Engineering (EE) and put a – ve sign before it. The result obtained will give you e12 i.e., potential of terminal-1 wrt terminal-2. In other words, the whole coil can be considered to be a source of emf wrt terminals 1 & 2 with polarity as indicated. If at any time flux is increasing with time in the upward direction,  Eddy Current & Hysteresis Loss | Basic Electrical Technology - Electrical Engineering (EE) is + ve and e12 will come out to be – ve as well at that time. On the other hand, at any time flux is decreasing with time in the upward direction,Eddy Current & Hysteresis Loss | Basic Electrical Technology - Electrical Engineering (EE)is – ve and e12 will come out to be + ve as well at that time.Mathematically let: 

                                Flux density B(t) = Bmax sin ωt

                                  Area of the coil = A 

               Flux crossing the area φ (t) = B(t) A

                                                           = Bmax A sin ωt

                                                           = φ max sin ωt

Eddy Current & Hysteresis Loss | Basic Electrical Technology - Electrical Engineering (EE)

If the switch S is closed, this voltage will drive a circulating current ic in the coil the direction of which will be such so as to oppose the cause for which it is due. Correct instantaneous polarity of the induced voltage and the direction of the current in the coil are shown in figure 22.2, for different time intervals with the switch S closed. In the interval  Eddy Current & Hysteresis Loss | Basic Electrical Technology - Electrical Engineering (EE)

Eddy Current & Hysteresis Loss | Basic Electrical Technology - Electrical Engineering (EE)Eddy Current & Hysteresis Loss | Basic Electrical Technology - Electrical Engineering (EE)

Figure 22.2:  Direction of induced current.

Eddy current

Look at the Figure 22.3 where a rectangular core of magnetic material is shown along with the exciting coil wrapped around it. Without any loss of generality, one may consider this to be a part of a magnetic circuit. If the coil is excited from a sinusoidal source, exciting current flowing will be sinusoidal too. Now put your attention to any of the cross section of the core and imagine any arbitrary rectangular closed path abcd. An emf will be induced in the path abcd following Faraday’s law. Here of course we don’t require a switch S to close the path because the path is closed by itself by the conducting magnetic material (say iron). Therefore a circulating current ieddy will result. The direction of ieddy is shown at the instant when B(t) is increasing with time. It is important to note here that to calculate induced voltage in the path, the value of flux to be taken is the flux enclosed by the path i.e., φ max =Bmax × area of the loop abcd. The magnitude of the eddy current will be limited by the path resistance, Rpath neglecting reactance effect. Eddy current will therefore cause power loss in Rpath and heating of the core. To calculate the total eddy current loss in the material we have to add all the power losses of different eddy paths covering the whole cross section.

Use of thin plates or laminations for core  

We must see that the power loss due to eddy current is minimized so that heating of the core is reduced and efficiency of the machine or the apparatus is increased. It is obvious if the cross sectional area of the eddy path is reduced then eddy voltage induced too will be reduced (Eeddy ∞ area), hence eddy loss will be less. This can be achieved by using several thin electrically insulated plates (called laminations) stacked together to form the core instead a solid block of iron. The idea is depicted in the Figure 22.4 where the plates have been shown for clarity, rather separated from each other. While assembling the core the laminations are kept closely pact. Conclusion is that solid block of iron should not be 

Eddy Current & Hysteresis Loss | Basic Electrical Technology - Electrical Engineering (EE)

used to construct the core when exciting current will be ac. However, if exciting current is dc, the core need not be laminated

Eddy Current & Hysteresis Loss | Basic Electrical Technology - Electrical Engineering (EE)

Figure 22.4:  Laminated core to reduce eddy loss. 

Derivation of an expression for eddy current loss in a thin plate  . 

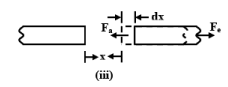
From physical consideration we have seen that thin plates each of thickness τ, are to be used to reduce eddy loss. With this in mind we shall try to derive an approximate expression for eddy loss in the following section for a thin plate and try to identify the factors on which it will depend. Section of a thin plate τ << L and h is shown in the plane of the screen in Figure 22.5. 

 Eddy Current & Hysteresis Loss | Basic Electrical Technology - Electrical Engineering (EE)                                                Eddy Current & Hysteresis Loss | Basic Electrical Technology - Electrical Engineering (EE)

Figure 22.5:   Elemental eddy current   path.                  Figure 22.6:   Section of the elemental eddy current path. 

Eddy current loss is essentially I2R loss occurring inside the core. The current is caused by the induced voltage in any conceivable closed path due to the time varying field as shown in the diagram 22.5.  

Let us consider a thin magnetic plate of length L, height h and thickness τ such that τ is very small compared to both L and h.  Also let us assume a sinusoidally time varying field b = Bmax sinωt exists perpendicular to the rectangular area formed by τ and h as shown in figure 22.5.

Let us consider a small elemental rectangular closed path ABCDA of thickness dx and at a distance x from the origin. The loop may be considered to be a single coil through which time varying flux is crossing. So there will be induced voltage in it, in similar manner as voltage is induced in a coil of single turn shown in the previous section. Now,  

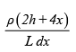
                                                                Area of the loop ABCD = 2hx

                                                                 Flux crossing the loop = Bmax 2hx sin ωt

                                            RMS voltage induced in the loop, E =  Eddy Current & Hysteresis Loss | Basic Electrical Technology - Electrical Engineering (EE)

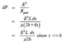
Resistance of the path through which eddy current flows, RpathEddy Current & Hysteresis Loss | Basic Electrical Technology - Electrical Engineering (EE)

To derive an expression for the eddy current loss in the plate, we shall first calculator the power loss in the elemental strip and then integrate suitably to for total loss. Power loss in the loop dP is given by: 

                                                Eddy Current & Hysteresis Loss | Basic Electrical Technology - Electrical Engineering (EE)

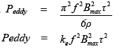
Total eddy current loss, Peddy 

                                                       Eddy Current & Hysteresis Loss | Basic Electrical Technology - Electrical Engineering (EE)

                   Volume of the thin plate = hLτ

Eddy loss per unit volume, boldmath 

                                          Eddy Current & Hysteresis Loss | Basic Electrical Technology - Electrical Engineering (EE)

Thus we find eddy current loss per unit volume of the material directly depends upon the square of the frequency, flux density and thickness of the plate. Also it is inversely proportional to the resistivity of the material. The core of the material is constructed using thin plates called laminations. Each plate is given a varnish coating for providing necessary insulation between the plates. Cold Rolled Grain Oriented, in short CRGO sheets are used to make transformer core. 

Hysteresis Loss  

Unidirectional time varying exciting current  

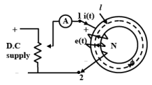
Consider a magnetic circuit with constant (d.c) excitation current I0. Flux established will have fixed value with a fixed direction. Suppose this final current I0 has been attained from zero current slowly by energizing the coil from a potential divider arrangement as depicted in Figure 22.7. Let us also assume that initially the core was not magnetized. The exciting current therefore becomes a function of time till it reached the desired current I and we stopped further increasing it. The flux too naturally will be function of time and cause induced voltage e12 in the coil with a polarity to oppose the increase of inflow of current as shown. The coil becomes a source of emf with terminal-1, +ve and terminal-2, -ve. Recall that a source in which current enters through its +ve terminal absorbs power or energy while it delivers power or energy when current comes out of the +ve terminal. Therefore during the interval when i(t) is increasing the coil absorbs energy. Is it possible to know how much energy does the coil absorb when current is increased from 0 to I0? This is possible if we have the B-H curve of the material with us. 

Eddy Current & Hysteresis Loss | Basic Electrical Technology - Electrical Engineering (EE)Eddy Current & Hysteresis Loss | Basic Electrical Technology - Electrical Engineering (EE)

Figure 22.7:                                              Figure 22.8: 

Energy stored, energy returned & energy density  

Let:  

                i =  current at time t

             H  =    field intensity corresponding to i at time t

             B  =    flux density corresponding to i at time t  

Let an infinitely small time dt elapses so that new values become: 

        i + di = Current at time t + dt

   H + dH  = Field intensity corresponding to i + di at time t + dt

     B + dB = Flux density corresponding to i + di at time t + dt

Voltage induced in the coil  Eddy Current & Hysteresis Loss | Basic Electrical Technology - Electrical Engineering (EE)

         Eddy Current & Hysteresis Loss | Basic Electrical Technology - Electrical Engineering (EE)

Eddy Current & Hysteresis Loss | Basic Electrical Technology - Electrical Engineering (EE)

Graphically therefore, the closed area OKPB0BO is a measure of the energy stored by the field in the core when current is increased from 0 to I0. What happens if now current is gradually reduced back to 0 from I0? The operating point on B-H curve does not trace back the same path when current was increasing from 0 to I0. In fact, B-H curve (PHT) remains above during decreasing current with respect the B-H curve (OGP) during increasing current as shown in figure 22.9. This lack of retracing the same path of the curve is called hysteresis. The portion OGP should be used for increasing current while the portion (PHT) should be used for decreasing current. When the current is brought back to zero external applied field H becomes zero and the material is left magnetized with a residual field OT. Now the question is when the exciting current is decreasing, does the coil absorb or return the energy back to supply. In this case dd/Bt being –ve, the induced voltage reverses its polarity although direction of i remains same. In other words, current leaves from the +ve terminal of the induced voltage thereby returning power back to the supply. Proceeding in the same fashion as adopted for increasing current, it can be shown that the area PMTRP represents amount of energy returned per unit volume. Obviously energy absorbed during rising current from 0 to I0 is more than the energy returned during lowering of current from I0 to 0. The balance of the energy then must have been lost as heat in the core. 

Eddy Current & Hysteresis Loss | Basic Electrical Technology - Electrical Engineering (EE)

Hysteresis loop with alternating exciting current 

In the light of the above discussion, let us see how the operating point is traced out if the exciting current is i = Imax sin ωt. The nature of the current variation in a complete cycle can be enumerated as follows: 

Eddy Current & Hysteresis Loss | Basic Electrical Technology - Electrical Engineering (EE)

 Let the core had no residual field when the coil is excited by i = Imax sin ωt. In the interval 0< ωt < π/2 , B will rise along the path OGP. Operating point at P corresponds to +Imax or +Hmax. For the interval π/2 < ωt< π operating moves along the path PRT. At point T, current is zero. However, due to sinusoidal current, i starts increasing in the –ve direction as shown in the Figure 22.10 and operating point moves along TSEQ. It may be noted that a –ve H of value OS is necessary to bring the residual field to zero at S. OS is called the coercivity of the material. At the end of the interval π <ωt< 3π/2 , current reaches –Imax or field –Hmax. In the next internal, 3π/2 < ωt< 2π , current changes from –Imax to zero and operating point moves from M to N along the path MN. After this a new cycle of current variation begins and the operating point now never enters into the path OGP. The movement of the operating point can be described by two paths namely: (i) QFMNKP for increasing current from –Imax to +Imax and (ii) from +Imax to –Imax along PRTSEQ. 

Eddy Current & Hysteresis Loss | Basic Electrical Technology - Electrical Engineering (EE)

Figure 22.10:  B-H loop with sinusoidal current. 

Hysteresis loss & loop area

In other words the operating point trace the perimeter of the closed area QFMNKPRTSEQ. This area is called the B-H loop of the material. We will now show that the area enclosed by the loop is the hysteresis loss per unit volume per cycle variation of the current. In the interval 0 ≤ ωt ≤ π/2 , i is +ve and di/dt is also +ve, moving the operating point from M to P along the path MNKP. Energy absorbed during this interval is given by the shaded area MNKPLTM shown in Figure 22.11 (i). In the interval π/2 ≤ ωt≤ π, i is +ve but di/dt is –ve, moving the operating point from P to T along the path PRT. Energy returned during this interval is given by the shaded area PLTRP shown in Figure 22.11 (ii). Thus during the +ve half cycle of current variation net amount of energy absorbed is given by the shaded area MNKPRTM which is nothing but half the area of the loop.

In the interval π ≤ωt≤ 3π/2 , i is –ve and di/dt is also –ve, moving the operating point from T to Q along the path TSEQ. Energy absorbed during this interval is given by the shaded area QJMTSEQ shown in Figure 22.11 (iii)

Eddy Current & Hysteresis Loss | Basic Electrical Technology - Electrical Engineering (EE)

Eddy Current & Hysteresis Loss | Basic Electrical Technology - Electrical Engineering (EE)

Figure 22.11:  B-H loop with sinusoidal current. 

In the interval 3π/2 ≤ ωt≤ 2π, i is –ve but di/dt is + ve, moving the operating point from Q to M along the path QEM. Energy returned during this interval is given by the shaded area QJMFQ shown in Figure 22.11 (iv). Thus during the –ve half cycle of current variation net amount of energy absorbed is given by the shaded area QFMTSEQ which is nothing but the other half the loop area.

Therefore total area enclosed by the B-H loop is the measure of the hysteresis loss per unit volume per unit cycle. To reduce hysteresis loss one has to use a core material for which area enclosed will be as small as possible.

Steinmetz’s empirical formula for hysteresis loss

Based on results obtained by experiments with different ferromagnetic materials with sinusoidal currents, Charles Steimetz proposed the empirical formula for calculating hysteresis loss analytically.

Hysteresis loss per unit volume, Ph =kh f Bmnax

Where, the coefficient kh depends on the material and n, known as Steinmetz exponent, may vary from 1.5 to 2.5.  For iron it may be taken as 1.6.

Seperation of core loss 

The sum of hyteresis and eddy current losses is called core loss as both the losses occur within the core (magnetic material).  For a given magnetic circuit with a core of ferromagnetic material, volume and thickness of the plates are constant and the total core loss can be expressed as follows.  

 Core loss = Hysteresis loss + Eddy current loss

Eddy Current & Hysteresis Loss | Basic Electrical Technology - Electrical Engineering (EE)

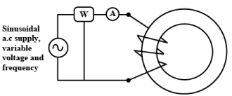
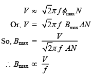
It is rather easier to measure the core loss with the help of a wattmeter (W) by energizing the N turn coil from a sinusoidal voltage of known frequency as shown in figure 22.12. 

Eddy Current & Hysteresis Loss | Basic Electrical Technology - Electrical Engineering (EE)

Figure 22.12:  Core loss measurement.   

Let A be the cross sectional area of the core and let winding resistance of the coil be negligibly small (which is usually the case), then equating the applied rms voltage to the induced rms voltage of the coil we get:

Eddy Current & Hysteresis Loss | Basic Electrical Technology - Electrical Engineering (EE)

The above result i.e.,  Eddy Current & Hysteresis Loss | Basic Electrical Technology - Electrical Engineering (EE)  is important because it tells us that to keep Bmax constant at rated value at lower frequency of operation, applied voltage should be proportionately decreased.  In fact, from the knowledge of N (number of turns of the coil) and A (cross sectional area of the core), V (supply voltage) and f (supply frequency) one can estimate the maximum value of the flux density from the relation  Eddy Current & Hysteresis Loss | Basic Electrical Technology - Electrical Engineering (EE) This point has been further discussed in the future lesson on transformers. 

Now coming back to the problem of separation of core loss into its components: we note that there are three unknowns, namely Kh, Ke and n (Steinmetz’s exponent) to be determined in the equation  Eddy Current & Hysteresis Loss | Basic Electrical Technology - Electrical Engineering (EE) .  LHS of this equation is nothing but the wattmeter reading of the experimental set up shown in Figure 22.12. Therefore, by noting down the wattmeter readings corresponding to three different applied voltages and frequencies, we can have three independent algebraic equations to solve for Kh, Ke and n.  However, to simplify the steps in solving of the equations two readings may be taken at same flux density (keeping V/fratio constant) and the third one at different flux density.  To understand this, solve the following problem and verify the answers given.  For a magnetic circuit, following results are obtained. 

FrequencyBmaxCore loss 
50 Hz1.2 T115 W 
30 Hz1.2 T60.36 W
30 Hz1.4 T87.24 W

 Estimate the constants, Kh, Ke and n and separate the core loss into hysteresis and eddy losses at the above frequencies and flux densities. The answer of the problem is:

FrequencyBmaxCore lossHyst lossEddy loss 
50 Hz1.2 T115 W79 W36 W
30 Hz1.2 T60.36 W47.4 W12.96 W
30 Hz1.4 T87.24 W69.6 W17.64 W 

Estimate the constants, Kh, Ke and n and separate the core loss into hysteresis and eddy losses at the above frequencies and flux densities. The answer of the problem is: 

Inductor

One can make an inductor L, by having several turns N, wound over a core as shown in figure 22.13. In an ideal inductor, as we all know, no power loss takes place. Therefore, we must use a very good magnetic material having negligible B-H loop area. Also we must see that the operating point lies in the linear zone of the B-H characteristic in order to get a constant value of the inductance. This means μr may be assumed to be constant. To make eddy current loss vanishingly small, let us assume the lamination thickness is extremely small and the core material has a very high resistivity ρ. Under these assumptions let us derive an expression for the inductance L, in order to have a feeling on the factors it will depend upon. Let us recall that inductance of a coil is defined as the flux linkage with the coil when 1 A flows through it. 

Eddy Current & Hysteresis Loss | Basic Electrical Technology - Electrical Engineering (EE)

Figure 22.13:  An inductor. 

Let φ be the flux produced when i A flows through the coil. Then by definition:  

Eddy Current & Hysteresis Loss | Basic Electrical Technology - Electrical Engineering (EE)

Eddy Current & Hysteresis Loss | Basic Electrical Technology - Electrical Engineering (EE)

The above equation relates inductance with the dimensions of the magnetic circuit, number of turns and permeability of the core in the similar way as we relate resistance of a wire, with the dimensions of the wire and the resistivity (recall, R = ρ /Al ). It is important to note that L is directly proportional to the square of the number of turns, directly proportional to the sectional area of the core, directly proportional to the permeability of the core and inversely proportional to the mean length of the flux path. In absence of any core loss and linearity of B-H characteristic, Energy stored during increasing current from 0 to I is exactly equal to the energy returned during decreasing current from I to 0. From our earlier studies we know for increasing current: 

Eddy Current & Hysteresis Loss | Basic Electrical Technology - Electrical Engineering (EE)

                                                                    = N i A d B

                                                                    = A l H d B

Eddy Current & Hysteresis Loss | Basic Electrical Technology - Electrical Engineering (EE)

By expressing B in terms of current, I in the above equation one can get a more familiar expression for energy stored in an inductor as follows:

Eddy Current & Hysteresis Loss | Basic Electrical Technology - Electrical Engineering (EE)

Force between two opposite faces of the core across an air gap 

In a magnetic circuit involving air gap, magnetic force will exist between the parallel faces across the air gap of length x. The situation is shown for a magnetic circuit in figure 22.14 (i). Direction of the lines of forces will be in the clockwise direction and the left face will become a north pole and the right face will become a south pole. Naturally there will be force of attraction Fa between the faces. Except for the fact that this force will develop stress in the core, no physical movement is possible as the structure is rigid. 

Let the flux density in the air gap be = B 

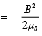
energy stored per unit volume in the gap  Eddy Current & Hysteresis Loss | Basic Electrical Technology - Electrical Engineering (EE)

                                                gap volume = A x 

Total energy stored         

                                                                 Eddy Current & Hysteresis Loss | Basic Electrical Technology - Electrical Engineering (EE)

Eddy Current & Hysteresis Loss | Basic Electrical Technology - Electrical Engineering (EE)

Eddy Current & Hysteresis Loss | Basic Electrical Technology - Electrical Engineering (EE)

Figure 22.14:  Force between parallel faces. 

Easiest way to derive expression for Fa is to apply law of conservation of energy by using the concept of virtual work. To do this, let us imagine that right face belongs to a freely moving structure with initial gap x as in figure 22.14 (ii). At this gap x, we have find Fa. Obviously if we want to displace the moving structure by an elemental distance dx to the right, we have apply a force Fe toward right. As dx is very small tending to 0, we can assume B to remain unchanged. The magnitude of this external force Fe has to be same as the prevailing force of attraction Fa between the faces. Where does the energy expended by the external agency go? It will go to increase the energy stored in the gap as its volume increase by A dx. Figure 22.14 (iii) shows an expanded view of the gap portion for clarity. Let us put it in mathematical steps as follows: 

Eddy Current & Hysteresis Loss | Basic Electrical Technology - Electrical Engineering (EE)

                          let the external force applied be = Fe

                                 let the force of attraction be = Fa

                                       as explained above, Fe = Fa

                            work done by external agency = Fe dx = Fa dx 

                      increase in the volume of the gap = A (x + dx) – Ax = A dx 

                               increase in stored energy = Eddy Current & Hysteresis Loss | Basic Electrical Technology - Electrical Engineering (EE)

                   but work done by external agency = increase in stored energy 

                                                        Eddy Current & Hysteresis Loss | Basic Electrical Technology - Electrical Engineering (EE)

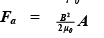
 or, desired force of attraction                 Eddy Current & Hysteresis Loss | Basic Electrical Technology - Electrical Engineering (EE)

The document Eddy Current & Hysteresis Loss | Basic Electrical Technology - Electrical Engineering (EE) is a part of the Electrical Engineering (EE) Course Basic Electrical Technology.
All you need of Electrical Engineering (EE) at this link: Electrical Engineering (EE)
74 docs|62 tests

FAQs on Eddy Current & Hysteresis Loss - Basic Electrical Technology - Electrical Engineering (EE)

1. What are eddy currents and how do they contribute to energy losses in electrical systems?
Ans. Eddy currents are circulating currents that are induced in conductive materials when exposed to a changing magnetic field. These currents generate heat and result in energy losses known as eddy current losses. In electrical systems, eddy currents can occur in transformer cores, motor cores, and other magnetic components, leading to reduced efficiency and wasted energy.
2. What is hysteresis loss and how does it affect the performance of electrical devices?
Ans. Hysteresis loss refers to the energy dissipated as heat when a magnetic material undergoes repeated magnetization and demagnetization cycles. This loss occurs due to the lagging of the magnetization process behind the applied magnetic field, resulting in energy being expended as the material continuously reverses its magnetization. Hysteresis loss can reduce the efficiency of electrical devices like transformers and electric motors.
3. How can eddy current and hysteresis losses be minimized in electrical systems?
Ans. Eddy current losses can be minimized by using laminated magnetic cores, which consist of thin layers of conductive materials separated by insulating layers. The laminations help to break up the current paths and reduce the magnitude of the eddy currents. Similarly, hysteresis losses can be reduced by selecting magnetic materials with low coercivity and low hysteresis loop area, such as certain types of soft magnetic alloys.
4. What are the consequences of high eddy current and hysteresis losses in electrical systems?
Ans. High eddy current and hysteresis losses can lead to decreased efficiency and increased heating in electrical systems. This can result in reduced performance, increased energy consumption, and potentially damage to the system due to excessive heat. Therefore, minimizing these losses is crucial to improve the overall efficiency and reliability of the electrical devices.
5. Are there any practical applications where eddy current and hysteresis losses are intentionally utilized?
Ans. Yes, there are certain applications where eddy current and hysteresis losses are intentionally utilized. Induction heating is one such application where the heating effect of eddy currents is used for various purposes like metal hardening, cooking, and heating processes. Additionally, hysteresis loss is employed in certain damping devices, such as eddy current brakes, to convert mechanical energy into heat energy and provide controlled braking action.
Related Searches

Important questions

,

shortcuts and tricks

,

practice quizzes

,

Free

,

pdf

,

Eddy Current & Hysteresis Loss | Basic Electrical Technology - Electrical Engineering (EE)

,

video lectures

,

Sample Paper

,

Eddy Current & Hysteresis Loss | Basic Electrical Technology - Electrical Engineering (EE)

,

Viva Questions

,

Summary

,

study material

,

MCQs

,

mock tests for examination

,

Objective type Questions

,

ppt

,

Previous Year Questions with Solutions

,

Extra Questions

,

Semester Notes

,

Eddy Current & Hysteresis Loss | Basic Electrical Technology - Electrical Engineering (EE)

,

past year papers

,

Exam

;