Chemistry Exam  >  Chemistry Notes  >  Physical Chemistry  >  Effect Of Addition Of Strong/Weak Acids And Bases - Ionic Equilibrium

Effect Of Addition Of Strong/Weak Acids And Bases - Ionic Equilibrium | Physical Chemistry PDF Download

Effect of addition of strong electrolyte in weak electrolyte:

  • Adding strong electrolyte which is non reacting

  • Adding strong electrolyte which is reacting

  • Adding strong electrolyte which is having common ion

Case I: Adding  non reacting electrolyte [CH3CooH + NaCl]

(0.1 M NaCl, volume V)+(0.1MCH3CooH, Volume V)

Now, concentration of 

Use 0.05 for further calculation not 0.1, because we did mixing which leads to changes in concentration.

Case II: Adding strong electrolyte (reacting) [CH3OOH + AgNO3]

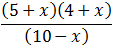
                        CH3COOH     Effect Of Addition Of Strong/Weak Acids And Bases - Ionic Equilibrium | Physical Chemistry       CH3COO–    + H+

Let at eq.              10                                 5                5

New eq.               10-x                              4+x             5+x

                        AgNO3                    →          Ag+ + NO3

                        1                                           -           -

                        –                                           1          1

                        CH3COO + Ag+        →        white ppt.

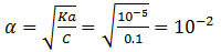
Kα = Effect Of Addition Of Strong/Weak Acids And Bases - Ionic Equilibrium | Physical Chemistry

III.  Adding strong electrolyte having common ion[ CH3COOH + HCl ]

            CH3COOH     Effect Of Addition Of Strong/Weak Acids And Bases - Ionic Equilibrium | Physical Chemistry      CH3COO + H+

            C1                                    –               –

Eq.       C1 – C1α                      C1α      C1α

Strong electrolyte                    HCl →  H+  + Cl

                                                C2          –       –

                                                –            C2    C2

Here added species HCl dissociated to give common ion H+.

Because of excess concentration of H+, equilibrium shift, to backward direction. Thus,

CH3COOH        Effect Of Addition Of Strong/Weak Acids And Bases - Ionic Equilibrium | Physical Chemistry         CH3COO + H+

      Equation                           C1 – C1α1                     C1α1              C1α1

Here    α1< α

Because equilibrium is shifted to backward direction

Effect Of Addition Of Strong/Weak Acids And Bases - Ionic Equilibrium | Physical Chemistry

Effect Of Addition Of Strong/Weak Acids And Bases - Ionic Equilibrium | Physical Chemistry

Considering α1<<< 1

C1α1<<< C2

Hence C1α1 + C2≈C2

So, Kα =Effect Of Addition Of Strong/Weak Acids And Bases - Ionic Equilibrium | Physical Chemistry
Effect Of Addition Of Strong/Weak Acids And Bases - Ionic Equilibrium | Physical Chemistry

Note:

Here C2 is the concentration of common ion Not the concentration of acid added.

Example: Calculate the degree of dissociation and pH of the solution

  1. If 0.1 m aqueous solution of ammonia is present.

  2. If 0.1 m aqueous solution of ammonia is present in presence of 0.05 m Ca(OH)2, Kb = 105

            NH4OH       Effect Of Addition Of Strong/Weak Acids And Bases - Ionic Equilibrium | Physical Chemistry           NH4+ + OH

            C - Cα                        Cα       Cα

            Effect Of Addition Of Strong/Weak Acids And Bases - Ionic Equilibrium | Physical Chemistry

           α <<< 1

            α = 102

The value of a is less than 0.05. hence neglection of a is correct.

[OH] = Ca = 10–1 × 10–2 = 10–3

POH = – log [OH] = –log (10–3)]

POH = 3

pH = 14–3 = 11

pH = 11

b)    NH4OH       Effect Of Addition Of Strong/Weak Acids And Bases - Ionic Equilibrium | Physical Chemistry            NH4+ + OH

     C - Cα1                        Cα1       1

    Cα(OH)2      →              Cα2+ + 2 OH         

    0.05                              -                -

    -                                   0.05         0.1

Kb = Effect Of Addition Of Strong/Weak Acids And Bases - Ionic Equilibrium | Physical Chemistry

            After neglection, 105 = (Cα1 + 0.1) 1

                                    105 = 0.1 × 1

                                    α1 = 104             

            [OH] = Cα1 + C2 = 105 + 101 = 101         (105 is neglected as compared to 101)

            [OH] = 0.1

            [H+] [OH] = 1014

            [H+] = Effect Of Addition Of Strong/Weak Acids And Bases - Ionic Equilibrium | Physical Chemistry

            pH = 13

Addition of weak electrolyte on weak electrolyte

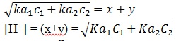
H        Effect Of Addition Of Strong/Weak Acids And Bases - Ionic Equilibrium | Physical Chemistry      H+ + A             Kα1   =Effect Of Addition Of Strong/Weak Acids And Bases - Ionic Equilibrium | Physical Chemistry        [C1 – x ≈ C1]

C1                    –          –                      Kα1C1 = (x+y)(x)

C1 – x              x+y      x              

HB      Effect Of Addition Of Strong/Weak Acids And Bases - Ionic Equilibrium | Physical Chemistry     H++ B                            Kα2  = Effect Of Addition Of Strong/Weak Acids And Bases - Ionic Equilibrium | Physical Chemistry

C2                    –        –

C2 – x              x+y      y                       Kα2 C = (x+y) (x)

Add (1) and (2)

Effect Of Addition Of Strong/Weak Acids And Bases - Ionic Equilibrium | Physical Chemistry

Effect Of Addition Of Strong/Weak Acids And Bases - Ionic Equilibrium | Physical Chemistry

Remember, this Formula is after neglection. We have considered that x and y are neglected as compared to C1

Example: Acetic acid with Kα = 105 is present in an aqueous solution. Calculate the pH of solution if

a)         When only 0.1M acetic acid is present

b)         When only 0.1 Molar acetic acid is present along 0.05 m H2SO4.

c)         When 1L acetic acid (0.1 M) is mixed with 1L, 0.1 M HCl

Solution:

a)     Effect Of Addition Of Strong/Weak Acids And Bases - Ionic Equilibrium | Physical Chemistry

            CH3COOH   Effect Of Addition Of Strong/Weak Acids And Bases - Ionic Equilibrium | Physical Chemistry    CH3COO   + H2

            C - Cα                         Cα               Cα

            [H+] = Cα

            = 101 x 102 = 103

pH = – log [H+] = 3

pH = 3

b)   H2SO4→ 2H+ + SO42

            0.05            –          –

            –               0.1      0.05

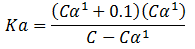
            CH3COOH     Effect Of Addition Of Strong/Weak Acids And Bases - Ionic Equilibrium | Physical Chemistry     CH3COO   + H+

            C - Cα1                        Cα1               Cα1

Effect Of Addition Of Strong/Weak Acids And Bases - Ionic Equilibrium | Physical Chemistry

Ka = 0.1α1

α1 = 104

[H+] = Cα1 + 0.1 = 101 × 104 + 0.1

[H+] = 105 + 101

[H+] = 101 (we have neglected terms that are less than ten times)

pH = 1

c)         Here, first you have to calculate the concentration of species after mixing

            Concentration of CH3COOH = Effect Of Addition Of Strong/Weak Acids And Bases - Ionic Equilibrium | Physical Chemistry  = 0.05 M

            Concentration of HCl = 0.05 M

            CH3COOH    Effect Of Addition Of Strong/Weak Acids And Bases - Ionic Equilibrium | Physical Chemistry      CH3COO + H+

            C - Cα1                        Cα1              Cα1

            HCl     →        H+    +   Cl

            0.05                 –              –

            -                       0.05     0.05
Effect Of Addition Of Strong/Weak Acids And Bases - Ionic Equilibrium | Physical Chemistry

After considering neglection.

Kα = Effect Of Addition Of Strong/Weak Acids And Bases - Ionic Equilibrium | Physical Chemistry= 2 X 10-4

[H+] = 0.05 + Cα1

            [H+] = 0.05

            pH = - log (0.05)

            pH = 1.3


Example: 0.1 M NaOH, 200 ml is mixed with 0.1m, 100 ml Ca(OH)2. Find the pH of the solution. 

Solution: 0.1 M NaOH, 200 ml + 0.1 M, 100 ml Ca(OH)2

For NaOH = n OH = 0.1 × 200 = 20 mmol


Total no. of milimoles of OH = 40 mmol

[OH] = Effect Of Addition Of Strong/Weak Acids And Bases - Ionic Equilibrium | Physical Chemistry

POH = Effect Of Addition Of Strong/Weak Acids And Bases - Ionic Equilibrium | Physical Chemistry 

pH = 13.12

Effect of addition of strong Acid on strong base:

When a strong acid is mixed with strong base,

An acid – base Reaction takes place, until the limiting reagent is finished.

For ex: When 0.1M, 100 ml HCl is mixed with 0.1 M, 50 ml NaOH.

It’s obvious the fastest reaction i.e., the Acid – base reaction takes place firstly.

                        HCl + NaOH→NaCl + H2O

Milimoles        10          5       

                        5          -                 5

(nH+) left = 5 milimoles

Example: 0.1 M, 100 ml HCl is mixed with 0.1M, 100 ml (Ca(OH)2. Find the pH of the solution.

Solution: As the question itself revealing. When an acid and base is mixed, Firstly acid - Base Reaction takes place.

2 HCl + Ca(OH)2→ CaCl2 + H2O


Milimoles of Ca(OH)2 = 0.1 × 100 = 10 mmol

2 HCl + Ca(OH)2→ CaCl2 + H2O

10            10

–               5                 5

Now we have only Ca(OH)2 in the solution. It will completely dissociate to give Ca2+ and 2OH

Ca(OH)2→ Ca2+ + 2OH

5                    -             -

-                   5         10

(OH) = Effect Of Addition Of Strong/Weak Acids And Bases - Ionic Equilibrium | Physical Chemistry = .05

pOH = 1.3

Hence pH = 12.7

The document Effect Of Addition Of Strong/Weak Acids And Bases - Ionic Equilibrium | Physical Chemistry is a part of the Chemistry Course Physical Chemistry.
All you need of Chemistry at this link: Chemistry
84 videos|142 docs|67 tests

FAQs on Effect Of Addition Of Strong/Weak Acids And Bases - Ionic Equilibrium - Physical Chemistry

1. How does the addition of a strong acid to an ionic equilibrium system affect the equilibrium position?
Ans. The addition of a strong acid to an ionic equilibrium system will shift the equilibrium towards the side of the reaction that consumes the acid. This is because the strong acid will donate a large amount of protons, increasing the concentration of H+ ions and reducing the concentration of the other species involved in the equilibrium.
2. What happens when a weak base is added to a system at equilibrium?
Ans. When a weak base is added to a system at equilibrium, it will react with the H+ ions present in the system to form water. This reaction will consume the H+ ions, leading to a decrease in their concentration. As a result, the equilibrium will shift towards the side of the reaction that produces more H+ ions, in order to restore the balance.
3. How does the addition of a weak acid affect the equilibrium position of an ionic equilibrium system?
Ans. The addition of a weak acid to an ionic equilibrium system will cause the equilibrium position to shift towards the side of the reaction that produces more H+ ions. This is because the weak acid will only partially dissociate, resulting in the release of a small amount of H+ ions. The system will try to counteract this decrease in H+ ion concentration by producing more H+ ions, thus shifting the equilibrium towards the side that produces H+ ions.
4. Can the addition of a strong base change the equilibrium position of an ionic equilibrium system?
Ans. Yes, the addition of a strong base can change the equilibrium position of an ionic equilibrium system. A strong base will react with the H+ ions present in the system, leading to their consumption. This will cause the equilibrium to shift towards the side of the reaction that produces more H+ ions, in order to restore the balance.
5. How does the concentration of acids and bases affect the equilibrium position in an ionic equilibrium system?
Ans. The concentration of acids and bases in an ionic equilibrium system can significantly affect the equilibrium position. An increase in the concentration of acids will shift the equilibrium towards the side that consumes the acid, while an increase in the concentration of bases will shift the equilibrium towards the side that produces more H+ ions. On the other hand, a decrease in the concentration of acids or bases will have the opposite effect, causing the equilibrium to shift in the opposite direction.
Related Searches

study material

,

video lectures

,

Exam

,

Previous Year Questions with Solutions

,

Extra Questions

,

pdf

,

ppt

,

Effect Of Addition Of Strong/Weak Acids And Bases - Ionic Equilibrium | Physical Chemistry

,

Important questions

,

Objective type Questions

,

Summary

,

past year papers

,

mock tests for examination

,

practice quizzes

,

Viva Questions

,

MCQs

,

Effect Of Addition Of Strong/Weak Acids And Bases - Ionic Equilibrium | Physical Chemistry

,

Effect Of Addition Of Strong/Weak Acids And Bases - Ionic Equilibrium | Physical Chemistry

,

Sample Paper

,

Free

,

shortcuts and tricks

,

Semester Notes

;