Civil Engineering (CE) Exam  >  Civil Engineering (CE) Notes  >  Eigenvalues, Eigenvectors of Tensors

Eigenvalues, Eigenvectors of Tensors - Civil Engineering (CE) PDF Download

Eigenvalues, eigenvectors of tensors
The scalar λi characterize eigenvalues (or principal values) of A if there exist corresponding nonzero normalized eigenvectors Eigenvalues, Eigenvectors of Tensors - Civil Engineering (CE) (or principal directions or principal axes) of A, so that

Eigenvalues, Eigenvectors of Tensors - Civil Engineering (CE)

To identify the eigenvectors of a tensor, we use subsequently a hat on the vector quantity concerned, for example, Eigenvalues, Eigenvectors of Tensors - Civil Engineering (CE) .
Thus, a set of homogeneous algebraic equations for the unknown eigenvalues λi , i = 1,2,3, and the unknown eigenvectors Eigenvalues, Eigenvectors of Tensors - Civil Engineering (CE) , i = 1,2,3, is
(A − λi1)Eigenvalues, Eigenvectors of Tensors - Civil Engineering (CE) = o, (i = 1,2,3; no summation).                                            (2.137)

For the above system to have a solution Eigenvalues, Eigenvectors of Tensors - Civil Engineering (CE) ≠ o the determinant of the system must vanish. Thus,

det(A − λi1) = 0                                                                                        (2.138)

where

Eigenvalues, Eigenvectors of Tensors - Civil Engineering (CE)

This requires that we solve a cubic equation in λ, usually written as

Eigenvalues, Eigenvectors of Tensors - Civil Engineering (CE)

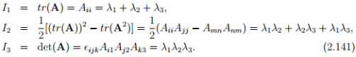
called the characteristic polynomial (or equation) for A, the solutions of which are the eigenvalues λi , i = 1,2,3. Here, Ii , i = 1,2,3, are the so-called principal scalar invariants of A and are given by

Eigenvalues, Eigenvectors of Tensors - Civil Engineering (CE)

If A is invertible then we can compute I2 using the expression I2 = tr(A−1 ) det(A). A repeated application of tensor A to equation (2.136) yields Eigenvalues, Eigenvectors of Tensors - Civil Engineering (CE)Eigenvalues, Eigenvectors of Tensors - Civil Engineering (CE) i = 1,2,3, for any positive integer α. (If A is invertible then α can be any integer; not necessarily positive.) Using this relation and (2.140) multiplied by Eigenvalues, Eigenvectors of Tensors - Civil Engineering (CE), we obtain the well-known Cayley-Hamilton equation:

Eigenvalues, Eigenvectors of Tensors - Civil Engineering (CE)

It states that every second order tensor A satisfies its own characteristic equation. As a consequence of Cayley-Hamilton equation, we can express Aα in terms of A2 , A, and principal invariants for positive integer, α > 2. (If A is invertible, the above holds for any integer value of α positive or negative provided α ≠ {0, 1, 2}.)

For a symmetric tensor S the characteristic equation (2.140) always has three real solutions and the set of eigenvectors form a orthonormal basis {nˆi} (the proof of this statement is omitted). Hence, for a positive definite symmetric tensor A, all eigenvalues λi are (real and) positive since, using (2.136), we have λi =Eigenvalues, Eigenvectors of Tensors - Civil Engineering (CE) � Eigenvalues, Eigenvectors of Tensors - Civil Engineering (CE) > 0, i = 1,2,3.

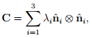
Any symmetric tensor S may be represented by its eigenvalues λ, i = 1,2,3, and the corresponding eigenvectors of S forming an orthonormal basis {Eigenvalues, Eigenvectors of Tensors - Civil Engineering (CE)}. Thus, S can be expressed as

Eigenvalues, Eigenvectors of Tensors - Civil Engineering (CE)                           (2.143)

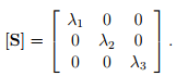
called the spectral representation (or spectral decomposition) of S. Thus, when orthonormal eigenvectors are used as the Cartesian basis to represent S then
Eigenvalues, Eigenvectors of Tensors - Civil Engineering (CE)                        (2.144)

The above holds when all the three eigenvalues are distinct. On the other hand, if there exists a pair of equal roots, i.e., λ1 = λ2 ≠  λ3, with an unique eigenvector Eigenvalues, Eigenvectors of Tensors - Civil Engineering (CE) associated with λ3, we deduce that

Eigenvalues, Eigenvectors of Tensors - Civil Engineering (CE)

where Eigenvalues, Eigenvectors of Tensors - Civil Engineering (CE)  and Eigenvalues, Eigenvectors of Tensors - Civil Engineering (CE) denote projection tensors introduced in (2.109) and (2.110) respectively. Finally, if all the three eigenvalues are equal, i.e., λ1 = λ= λ3 = λ, then

S = λ1,                                                                              (2.146)

where every direction is a principal direction and every set of mutually orthogonal basis denotes principal axes.
It is important to recognize that eigenvalues characterize the physical nature of the tensor and that they do not depend on the coordinates chosen.
Square root theorem Let C be symmetric and positive definite tensor. Then there is a unique positive definite, symmetric tensor U such that

U2 = C.                            (2.147)

We write Eigenvalues, Eigenvectors of Tensors - Civil Engineering (CE) for U. If spectral representation of C is:

Eigenvalues, Eigenvectors of Tensors - Civil Engineering (CE)                         (2.148)


then the spectral representation for U is:

Eigenvalues, Eigenvectors of Tensors - Civil Engineering (CE)                                           (2.149)

where we have assumed that the eigenvalues of C, λare distinct. On the other hand if λ1 = λ2 = λ3 = λ then

Eigenvalues, Eigenvectors of Tensors - Civil Engineering (CE) (2.150)

If λ1 = λ2 = λ ≠ λ3, with an unique eigenvector Eigenvalues, Eigenvectors of Tensors - Civil Engineering (CE) associated with λ3 then

Eigenvalues, Eigenvectors of Tensors - Civil Engineering (CE)

The document Eigenvalues, Eigenvectors of Tensors - Civil Engineering (CE) is a part of Civil Engineering (CE) category.
All you need of Civil Engineering (CE) at this link: Civil Engineering (CE)

FAQs on Eigenvalues, Eigenvectors of Tensors - Civil Engineering (CE)

1. What are eigenvalues and eigenvectors of tensors?
Ans. Eigenvalues and eigenvectors of tensors are mathematical concepts used to analyze the behavior of a tensor in a given coordinate system. Eigenvalues represent the scalar values that define the tensor's behavior along specific directions, while eigenvectors represent the corresponding directions or axes along which the tensor's behavior is defined.
2. How do eigenvalues and eigenvectors help in understanding tensors?
Ans. Eigenvalues and eigenvectors provide valuable insights into the properties and behavior of tensors. They help in identifying the principal directions along which the tensor's behavior is dominant and quantifying the magnitude of the tensor's effect in these directions. Eigenvalues also play a crucial role in determining the tensor's symmetry and shape.
3. How can eigenvalues and eigenvectors be computed for tensors?
Ans. To compute eigenvalues and eigenvectors of tensors, one can use numerical algorithms such as the power iteration method, Jacobi method, or the QR algorithm. These methods involve iterative calculations to approximate the eigenvalues and eigenvectors. Specialized software packages, such as MATLAB or Python libraries like NumPy, often provide built-in functions to compute eigenvalues and eigenvectors of tensors.
4. What are the applications of eigenvalues and eigenvectors in tensor analysis?
Ans. Eigenvalues and eigenvectors find various applications in tensor analysis. They are used in fields such as physics, engineering, and data analysis to understand the behavior of complex systems. For example, in structural engineering, eigenvalues and eigenvectors of stress tensors help identify critical failure modes. In data analysis, they can be used for dimensionality reduction or feature extraction.
5. Can a tensor have multiple sets of eigenvalues and eigenvectors?
Ans. Yes, a tensor can have multiple sets of eigenvalues and eigenvectors. This occurs in cases where the tensor has degenerate eigenvalues or when the tensor exhibits different behavior along different directions. In such cases, the tensor's eigenvalues and eigenvectors can provide insight into the distinct modes of behavior and their associated directions.
Download as PDF

Top Courses for Civil Engineering (CE)

Related Searches

mock tests for examination

,

practice quizzes

,

study material

,

Semester Notes

,

ppt

,

Sample Paper

,

Extra Questions

,

Viva Questions

,

pdf

,

Eigenvalues

,

MCQs

,

Eigenvectors of Tensors - Civil Engineering (CE)

,

shortcuts and tricks

,

Eigenvectors of Tensors - Civil Engineering (CE)

,

Eigenvectors of Tensors - Civil Engineering (CE)

,

Eigenvalues

,

Exam

,

Summary

,

Previous Year Questions with Solutions

,

Free

,

Objective type Questions

,

Eigenvalues

,

Important questions

,

past year papers

,

video lectures

;