Physics Exam  >  Physics Notes  >  Solid State Physics, Devices & Electronics  >  Einstein & Debye Theory of Specific Heat: Assignment

Einstein & Debye Theory of Specific Heat: Assignment | Solid State Physics, Devices & Electronics PDF Download

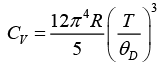
Q.1. Debye temperature (θD) for a Na metal is 150 K . Find its molar-specific heat at 10 K.

Debye T3 - law is
Einstein & Debye Theory of Specific Heat: Assignment | Solid State Physics, Devices & Electronics
Einstein & Debye Theory of Specific Heat: Assignment | Solid State Physics, Devices & Electronics


Q.2. At very low temperatures, the specific heat of a rock salt varies with the temperature as CV = A(T/θD)where A = 464 cal mol-1K-1 and θD = 281K. How much heat is required to raise the temperature of n = 2 moles of rock salt from 10 to 50 K?

Heat required is
Einstein & Debye Theory of Specific Heat: Assignment | Solid State Physics, Devices & Electronics


Q.3. At low temperatures, the Debye temperature (θD) for a NaCl and a KCl , which  have the same crystal structure, are 330 K and 220 K respectively. The lattice specific heat of KCl at 5K is 3.8 x 10-2 J/mol-K. Estimate the lattice specific heat of NaCl at 10 K.

Einstein & Debye Theory of Specific Heat: Assignment | Solid State Physics, Devices & Electronics 
Einstein & Debye Theory of Specific Heat: Assignment | Solid State Physics, Devices & Electronics


Q.4. Potassium has the bcc structure with lattice constant 5.3Å. Calculate the Debye temperature on the assumption that the transverse and longitudinal elastic waves in potassium have the same velocity c = 1.5 km/s. 

Einstein & Debye Theory of Specific Heat: Assignment | Solid State Physics, Devices & Electronics

Taking cl = c= c, we have Einstein & Debye Theory of Specific Heat: Assignment | Solid State Physics, Devices & Electronics
Einstein & Debye Theory of Specific Heat: Assignment | Solid State Physics, Devices & Electronics
Now V/N = a3/2 for bcc
Einstein & Debye Theory of Specific Heat: Assignment | Solid State Physics, Devices & Electronics
Now Einstein & Debye Theory of Specific Heat: Assignment | Solid State Physics, Devices & Electronics or
Einstein & Debye Theory of Specific Heat: Assignment | Solid State Physics, Devices & Electronics


Q.5. At a very low temperatures, the specific heat of a rock salt varies with the temperature according to the Debye T3 law, Einstein & Debye Theory of Specific Heat: Assignment | Solid State Physics, Devices & Electronics where θD for rock salt is 281 K . How much heat is required to raise the temperature of the 2 k-mol of the rock salt from 10 to 50 K? 

Given θD = 281K, m = 2k-mol, T1 = 10K, T= 50K, Q = ?
Debye T3, law is given as
Einstein & Debye Theory of Specific Heat: Assignment | Solid State Physics, Devices & Electronics 
Since the specific heat varies as T3, the calculation must be made by considering the different range of temperatures. Let the ranges of temperatures in 0K be 10 - 20, 20 - 30, 30 - 40 and 40 - 50
The rise of the temperature in each case is 10K. Then mean temperatures are: 15, 25, 35 and 45K. Therefore, the quantity of heat required to raise the temperature of the 2 k-mol of the salt through 10K is given by
Einstein & Debye Theory of Specific Heat: Assignment | Solid State Physics, Devices & Electronics
Einstein & Debye Theory of Specific Heat: Assignment | Solid State Physics, Devices & Electronics


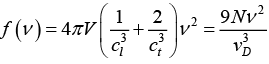
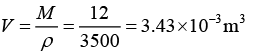
Q.6. Diamond (atomic weight of the carbon = 12 amu) has young’s modulus of 1012 Nm-2 and a density of 3500 Kg/m3. Compute the Debye temperature for the diamond.

Given; Atomic Weight of C = 12 amu, Y = 1012 Nm-2, ρ = 3500kg/m3,  θD = ?
The volume Einstein & Debye Theory of Specific Heat: Assignment | Solid State Physics, Devices & Electronics
The mean velocity of sound in the medium is given by Einstein & Debye Theory of Specific Heat: Assignment | Solid State Physics, Devices & Electronics
Now making use of Debye frequency equation in terms of mean velocity and also taking into Account the expression hvD = kθD, the Debye temperature can be written as Einstein & Debye Theory of Specific Heat: Assignment | Solid State Physics, Devices & Electronics
Substituting different values, we get Einstein & Debye Theory of Specific Heat: Assignment | Solid State Physics, Devices & Electronics
Einstein & Debye Theory of Specific Heat: Assignment | Solid State Physics, Devices & Electronics


Q.7. A copper wire of diameter 1.0 mm and length 2.0 m carries a direct current of 5.0 A. Calculate to the drift velocity of the electrons in the copper, if n = 8.47 x 1028 m-3

Einstein & Debye Theory of Specific Heat: Assignment | Solid State Physics, Devices & Electronics
Einstein & Debye Theory of Specific Heat: Assignment | Solid State Physics, Devices & Electronics
Einstein & Debye Theory of Specific Heat: Assignment | Solid State Physics, Devices & Electronics


Q.8. Estimate the typical conductivity of a metal at 295 K assuming that the mean free path is about 10Å and that the number of valence electrons is about 1029 m-3. 

Here Einstein & Debye Theory of Specific Heat: Assignment | Solid State Physics, Devices & Electronics Einstein & Debye Theory of Specific Heat: Assignment | Solid State Physics, Devices & Electronics
Einstein & Debye Theory of Specific Heat: Assignment | Solid State Physics, Devices & Electronics
Einstein & Debye Theory of Specific Heat: Assignment | Solid State Physics, Devices & Electronics


Q.9. Prove that compressibility of the free electron gas is given by β = 3/2nEF

Einstein & Debye Theory of Specific Heat: Assignment | Solid State Physics, Devices & Electronics
For free electron gas; Etotal = Ek = kinetic emergy only = 3/5(EF)
Einstein & Debye Theory of Specific Heat: Assignment | Solid State Physics, Devices & Electronics
Einstein & Debye Theory of Specific Heat: Assignment | Solid State Physics, Devices & Electronics Einstein & Debye Theory of Specific Heat: Assignment | Solid State Physics, Devices & Electronics
Einstein & Debye Theory of Specific Heat: Assignment | Solid State Physics, Devices & Electronics


Q.10. Find the number of energy states available for the electrons in a cubical box of 0.01 m side lying below an energy of 4 eV. 

The number of energy states below 4eV is
Einstein & Debye Theory of Specific Heat: Assignment | Solid State Physics, Devices & Electronics
Einstein & Debye Theory of Specific Heat: Assignment | Solid State Physics, Devices & Electronics


Q.11. If the Fermi energy of the electron is 2.1eV , find the Fermi velocity and the Fermi temperature.

Einstein & Debye Theory of Specific Heat: Assignment | Solid State Physics, Devices & Electronics
Einstein & Debye Theory of Specific Heat: Assignment | Solid State Physics, Devices & Electronics


Q.12. Show that the wavelength associated with an electron having energy EF is given by 

Einstein & Debye Theory of Specific Heat: Assignment | Solid State Physics, Devices & Electronics. If this wavelength is 4.6Å, find the Fermi temperature. 

We have kF = (3π2N/V)1/3
Einstein & Debye Theory of Specific Heat: Assignment | Solid State Physics, Devices & Electronics
Einstein & Debye Theory of Specific Heat: Assignment | Solid State Physics, Devices & Electronics

Einstein & Debye Theory of Specific Heat: Assignment | Solid State Physics, Devices & Electronics

∴ TF = 8.25 x 104 K


Q.13. What is the Fermi energy for the free electron gas in a silver, if the density of conduction electron is 5.8 x 1028m-3. What is the Fermi velocity? 

Einstein & Debye Theory of Specific Heat: Assignment | Solid State Physics, Devices & Electronics
2n = 3 x (9.86) 5.8 x 1028 = 156.2 x 1028 = 1562 x 1027 = 11.6 x 109 = 134.56 x 1018
Einstein & Debye Theory of Specific Heat: Assignment | Solid State Physics, Devices & Electronics


Q.14. Calculate the electronic specific heat of Cu(EF = 7.05 eV) at 600 K. 

Einstein & Debye Theory of Specific Heat: Assignment | Solid State Physics, Devices & Electronics
C= 2.995J (kmol )-1 K-1


Q.15. Find the Fermi energy and Fermi velocity of conduction electrons in a Na metal (a = 4.3Å).

Einstein & Debye Theory of Specific Heat: Assignment | Solid State Physics, Devices & Electronics Here Na is bcc . Hence n = a3/2
Einstein & Debye Theory of Specific Heat: Assignment | Solid State Physics, Devices & Electronics
2 = 6 x 3.14 x 3.14 = 59.1 ⇒ (6π2)1/ 3 = 3.9 ⇒ (6π2)2/3= 15.2
Einstein & Debye Theory of Specific Heat: Assignment | Solid State Physics, Devices & Electronics
Einstein & Debye Theory of Specific Heat: Assignment | Solid State Physics, Devices & Electronics
Now (1/2)mv2F = EF
Einstein & Debye Theory of Specific Heat: Assignment | Solid State Physics, Devices & Electronics
Einstein & Debye Theory of Specific Heat: Assignment | Solid State Physics, Devices & Electronics


Q.16. The valence band of a simple cubic metal has the form E = Ak+ B where A = 10-38 Jm2 Calculate m*/m. 

E = Ak+ B Einstein & Debye Theory of Specific Heat: Assignment | Solid State Physics, Devices & Electronics
Einstein & Debye Theory of Specific Heat: Assignment | Solid State Physics, Devices & Electronics 


Einstein & Debye Theory of Specific Heat: Assignment | Solid State Physics, Devices & Electronics


Q.17. Using the tight binding model, the energy wave vector dispersion relation for one-dimensional crystal of a lattice constant a is E(k) = E0 - α - 2βcos ka.
(a) What is the energy of the top of the band? Bottom of the band? Find the energy gap (Eg).
(b) Find m* near bottom of the band.
(c) Obtain an expression of m* as a function of k.
(d) Find the value of k, at which the velocity of an electron is maximum. What is the maximum velocity (vmax)? 

(a) Etop = E0 - α + 2β, ∵ ka = π
Ebottom = E0 - α + 2β, ∵ ka =0
Eg = Etop - Ebottom = 4β
(b) Near the bottom, k → 0 and coska = 1 - (1/2)ka2
∴ E(k → 0) = E0 - α - 2β(1 - (1/2)k2a2)
Einstein & Debye Theory of Specific Heat: Assignment | Solid State Physics, Devices & Electronics Einstein & Debye Theory of Specific Heat: Assignment | Solid State Physics, Devices & Electronics
(c) From equation (i), Einstein & Debye Theory of Specific Heat: Assignment | Solid State Physics, Devices & Electronics
Einstein & Debye Theory of Specific Heat: Assignment | Solid State Physics, Devices & Electronics
(d) Einstein & Debye Theory of Specific Heat: Assignment | Solid State Physics, Devices & Electronics
v = vmax sin ka = 1 or ka = nπ/2 ⇒ k = nπ/2a
Einstein & Debye Theory of Specific Heat: Assignment | Solid State Physics, Devices & Electronics 

The document Einstein & Debye Theory of Specific Heat: Assignment | Solid State Physics, Devices & Electronics is a part of the Physics Course Solid State Physics, Devices & Electronics.
All you need of Physics at this link: Physics
91 videos|21 docs|25 tests

FAQs on Einstein & Debye Theory of Specific Heat: Assignment - Solid State Physics, Devices & Electronics

1. What is the Einstein theory of specific heat?
Ans. The Einstein theory of specific heat is a theoretical model proposed by Albert Einstein to explain the temperature dependence of the specific heat capacity of solids. According to this theory, each atom in a solid behaves as an independent quantum harmonic oscillator, and the energy levels of these oscillators are quantized. The specific heat of a solid can be calculated by summing over the contributions of all the oscillators.
2. What is the Debye theory of specific heat?
Ans. The Debye theory of specific heat is another theoretical model proposed by Peter Debye to explain the temperature dependence of the specific heat capacity of solids, specifically for low temperatures. According to this theory, the vibrations in a solid lattice can be treated as phonons, which are quantized units of lattice vibrations. The Debye theory takes into account the three-dimensional nature of the solid and provides a more accurate description of the specific heat at low temperatures.
3. How do the Einstein and Debye theories of specific heat differ?
Ans. The Einstein theory of specific heat assumes that each atom in a solid behaves as an independent quantum harmonic oscillator, while the Debye theory takes into account the collective behavior of all the atoms in the solid lattice. The Einstein theory is applicable at high temperatures, where the energy levels of the oscillators are well separated, while the Debye theory is more accurate at low temperatures, where the energy levels are densely packed and overlap. Additionally, the Einstein theory does not consider the three-dimensional nature of the solid, while the Debye theory does.
4. What are the limitations of the Einstein and Debye theories of specific heat?
Ans. The Einstein theory of specific heat fails to accurately describe the specific heat at low temperatures. It also does not take into account the anharmonicity of the solid, which becomes significant at high temperatures. The Debye theory, although more accurate at low temperatures, also has limitations. It assumes that the speed of sound in the solid is constant, neglecting any variations. It also neglects the effects of impurities, defects, and lattice imperfections, which can significantly affect the specific heat behavior.
5. How do the Einstein and Debye theories of specific heat contribute to our understanding of solids?
Ans. The Einstein and Debye theories of specific heat provide valuable insights into the temperature dependence of the specific heat capacity of solids. While the Einstein theory helps explain the behavior at high temperatures, the Debye theory provides a more accurate description at low temperatures. Both theories contribute to our understanding of the quantized nature of energy levels in solids and the collective behavior of atoms in a lattice. They form the basis for further advancements in the field of solid-state physics and help explain various thermal properties of solids.
Related Searches

Objective type Questions

,

pdf

,

Free

,

practice quizzes

,

Viva Questions

,

Sample Paper

,

Summary

,

Exam

,

MCQs

,

Einstein & Debye Theory of Specific Heat: Assignment | Solid State Physics

,

Devices & Electronics

,

video lectures

,

study material

,

Previous Year Questions with Solutions

,

Extra Questions

,

ppt

,

Einstein & Debye Theory of Specific Heat: Assignment | Solid State Physics

,

Semester Notes

,

past year papers

,

Important questions

,

Einstein & Debye Theory of Specific Heat: Assignment | Solid State Physics

,

mock tests for examination

,

shortcuts and tricks

,

Devices & Electronics

,

Devices & Electronics

;