JEE Exam  >  JEE Notes  >  Mathematics (Maths) for JEE Main & Advanced  >  Solved Examples for JEE: Inverse Trigonometric Functions

Solved Examples for JEE: Inverse Trigonometric Functions | Mathematics (Maths) for JEE Main & Advanced PDF Download

Equations Involving Inverse Trigonometric Functions 

Ex.1 Solve Solved Examples for JEE: Inverse Trigonometric Functions | Mathematics (Maths) for JEE Main & Advanced

Sol. 

Solved Examples for JEE: Inverse Trigonometric Functions | Mathematics (Maths) for JEE Main & Advanced

Given:

 Solved Examples for JEE: Inverse Trigonometric Functions | Mathematics (Maths) for JEE Main & Advanced ...(1)

or cos–1 x√3 = π/2 – cos–1 x

or cos cos1 x√3 = cos (π/2 – cos–1x)

or x√3 = sin cos–1x    or

Solved Examples for JEE: Inverse Trigonometric Functions | Mathematics (Maths) for JEE Main & Advanced

or x√3 =  Solved Examples for JEE: Inverse Trigonometric Functions | Mathematics (Maths) for JEE Main & Advanced

Squaring we get:

3x2 = 1 – x2  or 4x2 = 1 = x = ± 1/2

Verification : When x = 1/2

L.H.S. of equation = cos1 ( 3 /2) + cos–1 (1/2) = π/6 + π/3 +π/2 = R.H.S. of equation

When x = –1/2

L.H.S. of equation =  cos–1 (– 3 /2) + cos–1 (–1/2) = π – cos–1 ( 3 /2) + π – cos–1 (1/2)

= π – π/6 + π – π/3 = 3p/2 ≠ R.H.S. of equation

∴ x = 1/2 is the only solution

Ex.2 Solve for x : (tan-1 x)2 + (cot-1 x)2Solved Examples for JEE: Inverse Trigonometric Functions | Mathematics (Maths) for JEE Main & Advanced

Sol. 

Solved Examples for JEE: Inverse Trigonometric Functions | Mathematics (Maths) for JEE Main & Advanced

Solved Examples for JEE: Inverse Trigonometric Functions | Mathematics (Maths) for JEE Main & Advanced

 tan–1 x = - π/4, 3 π/4  =  tan–1 x = – π/4;  x = –1

  Solved Examples for JEE: Inverse Trigonometric Functions | Mathematics (Maths) for JEE Main & Advanced

 

Ex.3 Determine the integral values of ' k ' for which the system , (arc tan x)2 + (arc cos y)2π2 k and tan -1 x + cos -1 y = π /2 posses solution and find all the solutions. 

Sol.

Solved Examples for JEE: Inverse Trigonometric Functions | Mathematics (Maths) for JEE Main & Advanced

Solved Examples for JEE: Inverse Trigonometric Functions | Mathematics (Maths) for JEE Main & Advanced

Solved Examples for JEE: Inverse Trigonometric Functions | Mathematics (Maths) for JEE Main & Advanced

Solved Examples for JEE: Inverse Trigonometric Functions | Mathematics (Maths) for JEE Main & Advanced

Solved Examples for JEE: Inverse Trigonometric Functions | Mathematics (Maths) for JEE Main & Advanced

Solved Examples for JEE: Inverse Trigonometric Functions | Mathematics (Maths) for JEE Main & Advanced

Solved Examples for JEE: Inverse Trigonometric Functions | Mathematics (Maths) for JEE Main & Advanced  = 1 - 2 + 8 k ≥ 0 = k ≥ 1/2 ..(2)

From  (1)  and  (2)    k = 1 

Solved Examples for JEE: Inverse Trigonometric Functions | Mathematics (Maths) for JEE Main & Advanced

Solved Examples for JEE: Inverse Trigonometric Functions | Mathematics (Maths) for JEE Main & Advanced

Solved Examples for JEE: Inverse Trigonometric Functions | Mathematics (Maths) for JEE Main & Advanced

Solved Examples for JEE: Inverse Trigonometric Functions | Mathematics (Maths) for JEE Main & Advanced

Solved Examples for JEE: Inverse Trigonometric Functions | Mathematics (Maths) for JEE Main & Advanced

Inequations involving inverse trigonometric functions 

Ex.1 Find the interval in which cos-1 x > sin-1 x.

Sol. 

We have, cos–1 x > sin–1 {for cos–1 x to be real; x E [–1, 1]}

2 cos–1 x > π/2  = cos–1 x > π/4   or  cos (cos–1 x) < cos π/4

Solved Examples for JEE: Inverse Trigonometric Functions | Mathematics (Maths) for JEE Main & Advanced

Solved Examples for JEE: Inverse Trigonometric Functions | Mathematics (Maths) for JEE Main & Advanced

Ex.2 Find the solution set of the inequation sin-1(sin 5) > x2 - 4x

Sol. 

sin–1(sin 5) > x2 – 4x ⇒ sin–1[sin(5 – 2π)] > x– 4x

⇒ x2 – 4x < 5 – 2π ⇒ x– 4x + (2π – 5) < 0

Solved Examples for JEE: Inverse Trigonometric Functions | Mathematics (Maths) for JEE Main & Advanced

Solved Examples for JEE: Inverse Trigonometric Functions | Mathematics (Maths) for JEE Main & Advanced

Summation of Series 

Ex.1 Sum the series 

Solved Examples for JEE: Inverse Trigonometric Functions | Mathematics (Maths) for JEE Main & Advanced

Sol. 

Solved Examples for JEE: Inverse Trigonometric Functions | Mathematics (Maths) for JEE Main & Advanced

Solved Examples for JEE: Inverse Trigonometric Functions | Mathematics (Maths) for JEE Main & Advanced

Solved Examples for JEE: Inverse Trigonometric Functions | Mathematics (Maths) for JEE Main & Advanced

Solved Examples for JEE: Inverse Trigonometric Functions | Mathematics (Maths) for JEE Main & Advanced

= tan -1 (n + 1) (n + 2) - tan -1 n (n + 1)

Put n  =  1 , 2 , 3 , ........ , n and add, we get Sn  = tan -1 (n + 1) (n + 2)  -  tan -1 2

Ex.2 Sum the series to ' n ' terms ,Solved Examples for JEE: Inverse Trigonometric Functions | Mathematics (Maths) for JEE Main & Advanced + ...... to ' n ' terms. Also show that , S  = tan -1 3 .

Sol. 

Solved Examples for JEE: Inverse Trigonometric Functions | Mathematics (Maths) for JEE Main & Advanced

Solved Examples for JEE: Inverse Trigonometric Functions | Mathematics (Maths) for JEE Main & Advanced

= tan -1 (n + 2)  –  tan -1 (n)

Hence, Sn = tan -1 (n + 2)  +  tan -1 (n + 1) - (tan -1 1  +  tan -1 2)

Solved Examples for JEE: Inverse Trigonometric Functions | Mathematics (Maths) for JEE Main & Advanced

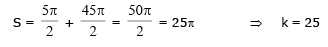
Ex.3 If the sum Solved Examples for JEE: Inverse Trigonometric Functions | Mathematics (Maths) for JEE Main & Advanced, find the value of k.

Sol.

Solved Examples for JEE: Inverse Trigonometric Functions | Mathematics (Maths) for JEE Main & Advanced

Solved Examples for JEE: Inverse Trigonometric Functions | Mathematics (Maths) for JEE Main & Advanced .....

Solved Examples for JEE: Inverse Trigonometric Functions | Mathematics (Maths) for JEE Main & Advanced 

The document Solved Examples for JEE: Inverse Trigonometric Functions | Mathematics (Maths) for JEE Main & Advanced is a part of the JEE Course Mathematics (Maths) for JEE Main & Advanced.
All you need of JEE at this link: JEE
172 videos|503 docs|154 tests

FAQs on Solved Examples for JEE: Inverse Trigonometric Functions - Mathematics (Maths) for JEE Main & Advanced

1. What are inverse trigonometric functions?
Ans. Inverse trigonometric functions are the inverse operations of the trigonometric functions. They are used to find the angle or angles that would yield a specific trigonometric value. For example, if we have the value of sine as 0.5, we can use the inverse sine function (also known as arcsin) to find the angle whose sine is 0.5.
2. How do inverse trigonometric functions help in solving JEE problems?
Ans. Inverse trigonometric functions play a crucial role in solving JEE problems involving trigonometry. They allow us to find the angles or values of trigonometric functions when given their values. By using inverse trigonometric functions, we can solve equations, find missing angles or sides in triangles, and solve various trigonometric identities.
3. What are the common inverse trigonometric functions used in JEE?
Ans. The most common inverse trigonometric functions used in JEE are arcsin (inverse sine), arccos (inverse cosine), and arctan (inverse tangent). These functions are denoted as sin^(-1), cos^(-1), and tan^(-1) respectively. They are widely used to solve trigonometric equations and find angles in various JEE problems.
4. How do I simplify expressions involving inverse trigonometric functions?
Ans. To simplify expressions involving inverse trigonometric functions, you can use the properties of these functions. For example, you can use the fact that sin(arcsin(x)) = x and arcsin(sin(x)) = x. By applying these properties and simplifying the expressions step by step, you can simplify complex trigonometric expressions involving inverse trigonometric functions.
5. How can I use inverse trigonometric functions to solve triangles in JEE problems?
Ans. Inverse trigonometric functions are valuable for solving triangles in JEE problems. By using the inverse sine, inverse cosine, and inverse tangent functions, you can find missing angles or sides in a triangle when given certain trigonometric values. These functions allow you to determine the angles or sides that correspond to specific trigonometric ratios, enabling you to solve triangle-related problems effectively.
Related Searches

Sample Paper

,

mock tests for examination

,

Summary

,

Extra Questions

,

pdf

,

Free

,

past year papers

,

Solved Examples for JEE: Inverse Trigonometric Functions | Mathematics (Maths) for JEE Main & Advanced

,

MCQs

,

Solved Examples for JEE: Inverse Trigonometric Functions | Mathematics (Maths) for JEE Main & Advanced

,

video lectures

,

Semester Notes

,

Previous Year Questions with Solutions

,

practice quizzes

,

shortcuts and tricks

,

Viva Questions

,

Exam

,

Important questions

,

study material

,

Objective type Questions

,

Solved Examples for JEE: Inverse Trigonometric Functions | Mathematics (Maths) for JEE Main & Advanced

,

ppt

;