Chemistry Exam  >  Chemistry Notes  >  Physical Chemistry  >  Equilibrium Constant for Heterogeneous Equilibria - Chemical Equilibrium

Equilibrium Constant for Heterogeneous Equilibria - Chemical Equilibrium | Physical Chemistry PDF Download

Equilibrium Constant for Heterogeneous Equilibria 
The equilibrium which involves reactants and products in different physical states. The law of mass action can also be applied on heterogenous equilibria as it was applied for homogenous equilibria (involving reactants and products in same physical states).
(i) Thermal Dissociation of Solid Ammonium Chloride: 
The thermal dissociation of NH4Cl(s) takes place in a closed container according to the equation

NH4Cl(s) ⇌ NH3(g) + HCl(g)

Let us consider 1 mole of NH4Cl(s) is kept in a closed container of vo lume ‘V’ litre at temperature TK and if x mole of NH4Cl dissociates at equilibrium then

Equilibrium Constant for Heterogeneous Equilibria - Chemical Equilibrium | Physical Chemistry Equilibrium Constant for Heterogeneous Equilibria - Chemical Equilibrium | Physical Chemistry

Applying law of mass action, Equilibrium Constant for Heterogeneous Equilibria - Chemical Equilibrium | Physical Chemistry

As NH4Cl is a pure solid, so there is no appreciable change in its concentration. Thus, 

Equilibrium Constant for Heterogeneous Equilibria - Chemical Equilibrium | Physical Chemistry

And Equilibrium Constant for Heterogeneous Equilibria - Chemical Equilibrium | Physical Chemistry

(ii) Thermal Dissociation of Ag2CO3:

Ag2CO3(s) dissociates thermally according to the equation.

Ag2CO3(s) ⇌ Ag2O(s) + CO2(g)

Applying law of mass action, at constant temperature, we get,

Equilibrium Constant for Heterogeneous Equilibria - Chemical Equilibrium | Physical Chemistry

Now, let us consider that 1 mole of Ag2CO3(s) is heated in a closed container of volume V and x mol of Ag2CO3(s) dissociates at equilibrium, then

Equilibrium Constant for Heterogeneous Equilibria - Chemical Equilibrium | Physical Chemistry Equilibrium Constant for Heterogeneous Equilibria - Chemical Equilibrium | Physical Chemistry

Now, as Ag2CO3 and Ag2O are solids, so their concentration can be assumed to be constants
Thus
Equilibrium Constant for Heterogeneous Equilibria - Chemical Equilibrium | Physical Chemistry

7. Significance of magnitude of equilibrium constant: 
· A very large value of Kc or Kp signifies that the forward reactions has gone to completion or very nearly so.
· A very small value of Kc or Kp signifies that the forward reaction has not occur to any significant extent.
· If the numerical value of Kc or Kp is neit her very large or very small, a reaction is mo st likely to reach a state of equillibrium in which both reactants and products are present.

8. Predictions of direction of the reaction: 

Equilibrium Constant for Heterogeneous Equilibria - Chemical Equilibrium | Physical Chemistry

Equilibrium Constant for Heterogeneous Equilibria - Chemical Equilibrium | Physical Chemistry

QC is called React ion Quotient: 
QC is the ratio of concentration of products and reactants each raised to their schoitiometric coefficient as in balanced chemical equation. Hence, three cases arises:

Q< KC  Forward direction
QC > KC  Backward direction
QC = KC  Equilibrium  

Note: While dealing with KP and α, take init ial moles of reactant as 1 because ult imately they will be cancelled out.

9. Extent of Reaction:
Magnitude of equilibrium constant tells us the extent of reaction. It resembles the extent by which the reactant has been reacted or product has been formed at equilibrium.

Case I: If equilibrium constant (say KC) is very-very small.

Equilibrium Constant for Heterogeneous Equilibria - Chemical Equilibrium | Physical Chemistry

(Concentration of product is very low and concentration of reactant is very high) 

It clearly explains that numerator is very small and denominator is very-very high.

Hence, by this we can infer that reaction has a very low approach in forward direction and reactions has just started.

Case II: If equilibrium constant (i.e. KC) is very-very high. 

Equilibrium Constant for Heterogeneous Equilibria - Chemical Equilibrium | Physical Chemistry

(Concentration of product is very high and concentration of reactant is very low).

Hence, it explains that reaction has almost completed.

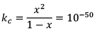
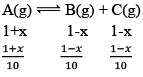
Illustration: A(g) ⇌B(g) + C(g) 

Initial moles of reactant is 1 mole and volume of the container is 1L. Calculate the moles of B(g) at Equilibrium Kc = 10–50 

Solution: Since the value of KC is very low.

Equilibrium Constant for Heterogeneous Equilibria - Chemical Equilibrium | Physical Chemistry

Equilibrium Constant for Heterogeneous Equilibria - Chemical Equilibrium | Physical ChemistryEquilibrium Constant for Heterogeneous Equilibria - Chemical Equilibrium | Physical Chemistry

Equilibrium Constant for Heterogeneous Equilibria - Chemical Equilibrium | Physical Chemistry

Since,  x <<<<1
Hence, KC = x2 = 10–50

x = 10–25

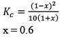
Illustration: If initially 1 mole of all the species present one taken in 10 L closed vessel, find equilibrium concentration of each species. 

A(g) ⇌ B(g) +C(g) kc = 10–2

Solution: A(g) ⇌ B(g) + C(g)

At any time concentration Equilibrium Constant for Heterogeneous Equilibria - Chemical Equilibrium | Physical Chemistry

Equilibrium Constant for Heterogeneous Equilibria - Chemical Equilibrium | Physical Chemistry

Since QC > KC, so reaction will move in backward direct ion to attain equilibrium.

Equilibrium Constant for Heterogeneous Equilibria - Chemical Equilibrium | Physical Chemistry Equilibrium Constant for Heterogeneous Equilibria - Chemical Equilibrium | Physical Chemistry

Equilibrium Constant for Heterogeneous Equilibria - Chemical Equilibrium | Physical Chemistry

Equilibrium concentration Equilibrium Constant for Heterogeneous Equilibria - Chemical Equilibrium | Physical Chemistry

Equilibrium concentration of A(g) = 0.16
Equilibrium concentration of B(g) = 0.04
Equilibrium concentration of C(g) = 0.04

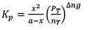
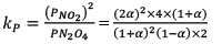
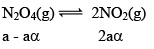
Illustration: Calculate KP for the reaction

N2O4(g) ⇌ 2 NO2(g)

When NO2 is 30% dissociated and total pressure at equilibrium is 2 bar. 

Solution:

Given, α = 0.3

Equilibrium Constant for Heterogeneous Equilibria - Chemical Equilibrium | Physical Chemistry

We are dealing with KP and α. Hence init ial mole of N2O4 = 1

Equilibrium Constant for Heterogeneous Equilibria - Chemical Equilibrium | Physical Chemistry Equilibrium Constant for Heterogeneous Equilibria - Chemical Equilibrium | Physical Chemistry Equilibrium Constant for Heterogeneous Equilibria - Chemical Equilibrium | Physical Chemistry

Partial Pressure Equilibrium Constant for Heterogeneous Equilibria - Chemical Equilibrium | Physical Chemistry

Equilibrium Constant for Heterogeneous Equilibria - Chemical Equilibrium | Physical Chemistry

Put α = 0.3
KP = 0.79

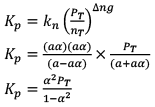
10. Dealing with degree of dissociation (α)

In terms of moles

Equilibrium Constant for Heterogeneous Equilibria - Chemical Equilibrium | Physical Chemistry Equilibrium Constant for Heterogeneous Equilibria - Chemical Equilibrium | Physical Chemistry Equilibrium Constant for Heterogeneous Equilibria - Chemical Equilibrium | Physical Chemistry

Equilibrium Constant for Heterogeneous Equilibria - Chemical Equilibrium | Physical Chemistry

In terms of α

Equilibrium Constant for Heterogeneous Equilibria - Chemical Equilibrium | Physical ChemistryEquilibrium Constant for Heterogeneous Equilibria - Chemical Equilibrium | Physical ChemistryEquilibrium Constant for Heterogeneous Equilibria - Chemical Equilibrium | Physical Chemistry

Equilibrium Constant for Heterogeneous Equilibria - Chemical Equilibrium | Physical Chemistry

The document Equilibrium Constant for Heterogeneous Equilibria - Chemical Equilibrium | Physical Chemistry is a part of the Chemistry Course Physical Chemistry.
All you need of Chemistry at this link: Chemistry
84 videos|142 docs|67 tests

FAQs on Equilibrium Constant for Heterogeneous Equilibria - Chemical Equilibrium - Physical Chemistry

1. What does the equilibrium constant represent in a heterogeneous equilibrium?
Ans. The equilibrium constant in a heterogeneous equilibrium represents the ratio of the concentrations of the products to the concentrations of the reactants, each raised to the power of their respective stoichiometric coefficients, excluding any pure solids or liquids.
2. How is the equilibrium constant affected by the presence of a catalyst in a heterogeneous equilibrium?
Ans. The presence of a catalyst in a heterogeneous equilibrium does not affect the equilibrium constant. A catalyst speeds up the forward and reverse reactions equally, allowing the system to reach equilibrium faster, but it does not change the position of the equilibrium or the concentration of the reactants and products at equilibrium.
3. Can the equilibrium constant be expressed in terms of pressures instead of concentrations for a heterogeneous equilibrium involving gases?
Ans. Yes, the equilibrium constant can be expressed in terms of partial pressures instead of concentrations for a heterogeneous equilibrium involving gases. This is known as the gas-phase equilibrium constant. The partial pressures of the gases are used instead of their concentrations, and the equilibrium expression is written using the ideal gas law.
4. What happens to the equilibrium constant if the temperature is increased in a heterogeneous equilibrium?
Ans. If the temperature of a heterogeneous equilibrium is increased, the equilibrium constant may change. In general, an increase in temperature leads to an increase in the value of the equilibrium constant for an exothermic reaction and a decrease in the value of the equilibrium constant for an endothermic reaction. However, the specific effect depends on the enthalpy change of the reaction and can be determined using the Van 't Hoff equation.
5. How can the equilibrium constant be used to determine the extent of reaction in a heterogeneous equilibrium?
Ans. The equilibrium constant can be used to determine the extent of reaction in a heterogeneous equilibrium by comparing the value of the equilibrium constant to its magnitude (greater than or less than 1). If the equilibrium constant is much larger than 1, it indicates that the products are favored at equilibrium, and the reaction has proceeded to a greater extent. Conversely, if the equilibrium constant is much smaller than 1, it indicates that the reactants are favored at equilibrium, and the reaction has not proceeded to a significant extent.
Related Searches

study material

,

past year papers

,

Free

,

video lectures

,

Viva Questions

,

ppt

,

Equilibrium Constant for Heterogeneous Equilibria - Chemical Equilibrium | Physical Chemistry

,

Summary

,

Previous Year Questions with Solutions

,

Objective type Questions

,

Sample Paper

,

practice quizzes

,

Extra Questions

,

pdf

,

Equilibrium Constant for Heterogeneous Equilibria - Chemical Equilibrium | Physical Chemistry

,

Equilibrium Constant for Heterogeneous Equilibria - Chemical Equilibrium | Physical Chemistry

,

mock tests for examination

,

shortcuts and tricks

,

Important questions

,

Semester Notes

,

MCQs

,

Exam

;