Mathematics Exam  >  Mathematics Notes  >  Mathematics for IIT JAM, GATE, CSIR NET, UGC NET  >  Fixed, random and mixed effects models, CSIR-NET Mathematical Sciences

Fixed, random and mixed effects models, CSIR-NET Mathematical Sciences | Mathematics for IIT JAM, GATE, CSIR NET, UGC NET PDF Download

Linear mixed-effects models are extensions of linear regression models for data that are collected and summarized in groups. These models describe the relationship between a response variable and independent variables, with coefficients that can vary with respect to one or more grouping variables. A mixed-effects model consists of two parts, fixed effects and random effects. Fixed-effects terms are usually the conventional linear regression part, and the random effects are associated with individual experimental units drawn at random from a population. The random effects have prior distributions whereas fixed effects do not. Mixed-effects models can represent the covariance structure related to the grouping of data by associating the common random effects to observations that have the same level of a grouping variable. The standard form of a linear mixed-effects model is

Fixed, random and mixed effects models, CSIR-NET Mathematical Sciences | Mathematics for IIT JAM, GATE, CSIR NET, UGC NET

where

  • y is the n-by-1 response vector, and n is the number of observations.

  • X is an n-by-p fixed-effects design matrix.

  • β is a p-by-1 fixed-effects vector.

  • Z is an n-by-q random-effects design matrix.

  • b is a q-by-1 random-effects vector.

  • ε is the n-by-1 observation error vector.

The assumptions for the linear mixed-effects model are:

  • Random-effects vector, b, and the error vector, ε, have the following prior distributions:

Fixed, random and mixed effects models, CSIR-NET Mathematical Sciences | Mathematics for IIT JAM, GATE, CSIR NET, UGC NET

where D is a symmetric and positive semidefinite matrix, parameterized by a variance component vector θ, I is an n-by-n identity matrix, and σ2 is the error variance.

  • Random-effects vector, b, and the error vector, ε, are independent from each other.

Mixed-effects models are also called multilevel models or hierarchical models depending on the context. Mixed-effects models is a more general term than the latter two. Mixed-effects models might include factors that are not necessarily multilevel or hierarchical, for example crossed factors. That is why mixed-effects is the terminology preferred here. Sometimes mixed-effects models are expressed as multilevel regression models (first level and grouping level models) that are fit simultaneously. For example, a varying or random intercept model, with one continuous predictor variable x and one grouping variable with M levels, can be expressed as

Fixed, random and mixed effects models, CSIR-NET Mathematical Sciences | Mathematics for IIT JAM, GATE, CSIR NET, UGC NET

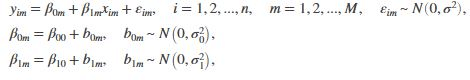
where yim corresponds to data for observation i and group m, n is the total number of observations, and b0m and εim are independent of each other. After substituting the group-level parameters in the first-level model, the model for the response vector becomes

Fixed, random and mixed effects models, CSIR-NET Mathematical Sciences | Mathematics for IIT JAM, GATE, CSIR NET, UGC NET

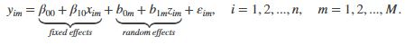
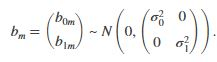
A random intercept and slope model with one continuous predictor variable x, where both the intercept and slope vary independently by a grouping variable with M levels is

Fixed, random and mixed effects models, CSIR-NET Mathematical Sciences | Mathematics for IIT JAM, GATE, CSIR NET, UGC NET

or

Fixed, random and mixed effects models, CSIR-NET Mathematical Sciences | Mathematics for IIT JAM, GATE, CSIR NET, UGC NET

You might also have correlated random effects. In general, for a model with a random intercept and slope, the distribution of the random effects is

Fixed, random and mixed effects models, CSIR-NET Mathematical Sciences | Mathematics for IIT JAM, GATE, CSIR NET, UGC NET

where D is a 2-by-2 symmetric and positive semidefinite matrix, parameterized by a variance component vector θ.

After substituting the group-level parameters in the first-level model, the model for the response vector is

Fixed, random and mixed effects models, CSIR-NET Mathematical Sciences | Mathematics for IIT JAM, GATE, CSIR NET, UGC NET

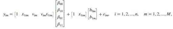
If you express the group-level variable, xim, in the random-effects term by zim, this model is

Fixed, random and mixed effects models, CSIR-NET Mathematical Sciences | Mathematics for IIT JAM, GATE, CSIR NET, UGC NET

In this case, the same terms appear in both the fixed-effects design matrix and random-effects design matrix. Each zim and xim correspond to the level m of the grouping variable.

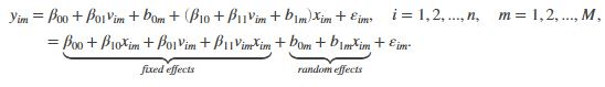
It is also possible to explain more of the group-level variations by adding more group-level predictor variables. A random-intercept and random-slope model with one continuous predictor variable x, where both the intercept and slope vary independently by a grouping variable with M levels, and one group-level predictor variable vm is

Fixed, random and mixed effects models, CSIR-NET Mathematical Sciences | Mathematics for IIT JAM, GATE, CSIR NET, UGC NET

This model results in main effects of the group-level predictor and an interaction term between the first-level and group-level predictor variables in the model for the response variable as

Fixed, random and mixed effects models, CSIR-NET Mathematical Sciences | Mathematics for IIT JAM, GATE, CSIR NET, UGC NET

The term β11vmxim is often called a cross-level interaction in many textbooks on multilevel models. The model for the response variable y can be expressed as

Fixed, random and mixed effects models, CSIR-NET Mathematical Sciences | Mathematics for IIT JAM, GATE, CSIR NET, UGC NET

which corresponds to the standard form given earlier,

 y=Xβ+Zb+ε.

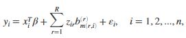
In general, if there are R grouping variables, and m(r,i) shows the level of grouping variable r, for observation i, then the model for the response variable for observation i is

Fixed, random and mixed effects models, CSIR-NET Mathematical Sciences | Mathematics for IIT JAM, GATE, CSIR NET, UGC NET

where β is a p-by-1 fixed-effects vector, b(r)m(r,i) is a q(r)-by-1 random-effects vector for the rth grouping variable and level m(r,i), and εi is a 1-by-1 error term for observation i.

The document Fixed, random and mixed effects models, CSIR-NET Mathematical Sciences | Mathematics for IIT JAM, GATE, CSIR NET, UGC NET is a part of the Mathematics Course Mathematics for IIT JAM, GATE, CSIR NET, UGC NET.
All you need of Mathematics at this link: Mathematics
556 videos|198 docs
Related Searches

random and mixed effects models

,

Fixed

,

Important questions

,

Semester Notes

,

video lectures

,

study material

,

practice quizzes

,

random and mixed effects models

,

shortcuts and tricks

,

CSIR NET

,

CSIR NET

,

random and mixed effects models

,

Fixed

,

GATE

,

GATE

,

ppt

,

UGC NET

,

Exam

,

GATE

,

mock tests for examination

,

Objective type Questions

,

CSIR-NET Mathematical Sciences | Mathematics for IIT JAM

,

CSIR-NET Mathematical Sciences | Mathematics for IIT JAM

,

MCQs

,

past year papers

,

Viva Questions

,

UGC NET

,

Sample Paper

,

Free

,

Fixed

,

Extra Questions

,

CSIR NET

,

Summary

,

pdf

,

Previous Year Questions with Solutions

,

CSIR-NET Mathematical Sciences | Mathematics for IIT JAM

,

UGC NET

;