CAT Exam  >  CAT Notes  >  Practice Questions Level 2: Functions - 1

Functions Questions for CAT with Answers PDF

This EduRev document offers 10 Multiple Choice Questions (MCQs) from the topic Functions (Level - 2). These questions are of Level - 2 difficulty and will assist you in the preparation of CAT & other MBA exams. You can practice/attempt these CAT Multiple Choice Questions (MCQs) and check the explanations for a better understanding of the topic.

Question for Practice Questions Level 2: Functions - 1
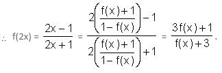
Try yourself:If f(x) = Functions Questions for CAT with Answers PDFthen f (2x) is:
View Solution

Question for Practice Questions Level 2: Functions - 1
Try yourself:Directions: If x and y are real numbers, the functions are defined as f(x, y) = |x2 + y2| and F(x, y) = –f(x, y) = –G(x, y).
Now with the help of this information, answer the following question.
Which of the following will be necessarily true?
View Solution

Question for Practice Questions Level 2: Functions - 1
Try yourself:The graph of function f(x) = 2x is shown below.
Functions Questions for CAT with Answers PDF
Which of the following graphs correctly represents the function g(x) = 2x - 2?
View Solution

Question for Practice Questions Level 2: Functions - 1
Try yourself:A function is defined as y = f(x) = 2x + 3. Find the co-ordinates of a point such that x = f(y).
View Solution

Question for Practice Questions Level 2: Functions - 1
Try yourself:Find out whether the functions are odd or even.
(i) y = 2-x2
(ii) y = 2x - x4
View Solution

Question for Practice Questions Level 2: Functions - 1
Try yourself:If f(x) = x3 - x2 - x + 1 and g(x) = x2 - 2x + 1, which of the following relations is true?
View Solution

Question for Practice Questions Level 2: Functions - 1
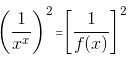
Try yourself:If f(x) = xx, find the value of [f (- x)]2 in terms of f(x).
View Solution

Question for Practice Questions Level 2: Functions - 1
Try yourself:If f(x) is an odd function, then |f(x)| is
View Solution

Question for Practice Questions Level 2: Functions - 1
Try yourself:The graph of f(x) and its transformation is given below. What is the expression for its transformation in terms of f(x)?
Functions Questions for CAT with Answers PDF
View Solution

Question for Practice Questions Level 2: Functions - 1
Try yourself:If f(x) = 2x - 6, then f(f(f(-2))) is equal to
View Solution

The document Functions Questions for CAT with Answers PDF is a part of CAT category.
All you need of CAT at this link: CAT
Download as PDF

Top Courses for CAT

Related Searches

Free

,

Exam

,

Extra Questions

,

pdf

,

Objective type Questions

,

Semester Notes

,

shortcuts and tricks

,

Summary

,

practice quizzes

,

MCQs

,

Viva Questions

,

past year papers

,

Functions Questions for CAT with Answers PDF

,

Previous Year Questions with Solutions

,

ppt

,

Sample Paper

,

Functions Questions for CAT with Answers PDF

,

mock tests for examination

,

Important questions

,

video lectures

,

study material

,

Functions Questions for CAT with Answers PDF

;