Mechanical Engineering Exam  >  Mechanical Engineering Notes  >  Design of Machine Elements  >  GATE Past Year Questions: Bearings

GATE Past Year Questions: Bearings | Design of Machine Elements - Mechanical Engineering PDF Download

Q1: For a ball bearing, the fatigue life in millions or revolutions is given by L = (c/P)n, where P is the constant applied load and c is the basic dynamic load rating. Which one of the following statements is TRUE? [GATE ME 2024]
(a) n = 3, assuming that the inner racing is fixed and outer racing is revolving.
(b) n = 1/3, assuming that the outer racing is fixed and the inner racing is revolving
(c) n = 3, assuming that the outer racing is fixed and inner racing is revolving
(d) n = 1/3, assuming that the inner racing is fixed and outer racing is revolving
Ans:
(c)
L = (C/P)n x 106 rev
n = 3 for ball bearing
n = 10/3 for roller bearing
GATE Past Year Questions: Bearings | Design of Machine Elements - Mechanical Engineering
Q1: A shaft AC rotating at a constant speed carries a thin pulley of radius r = 0.4m at the end C which drives a belt. A motor is coupled at the end A of the shaft such that it applies a torque Mabout the shaft axis without causing any bending moment. The shaft is mounted on narrow frictionless bearings at A and B where AB = BC = L = 0.5m. The taut and slack side tensions of the belt are T1 = 300N and T= 100N, respectively. The allowable shear stress for the shaft material is 80 MPa. The selfweights of the pulley and the shaft are negligible. Use the value of π available in the on-screen virtual calculator. Neglecting shock and fatigue loading and assuming maximum shear stress theory, the minimum required shaft diameter is _______ mm (round off to 2 decimal places). [GATE ME 2022 SET-2]
GATE Past Year Questions: Bearings | Design of Machine Elements - Mechanical EngineeringAns:
23.6 to 24.2
GATE Past Year Questions: Bearings | Design of Machine Elements - Mechanical Engineering

Mₘₐₓ = 400 × L = 400 × 0.5 × 10³
= 200 × 10³ N·mm
Tₘₐₓ = Mz
= (T₁ - T₁) × r
= (200 × 0.4) × 10³
Tₘₐₓ = 80 × 10³ N·mm
Here section-B is critical due to loading,
Critical particle :
According to maximum shear stress theory,
GATE Past Year Questions: Bearings | Design of Machine Elements - Mechanical Engineering
⇒ d = 23.94 mm

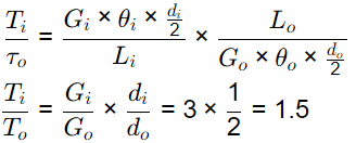
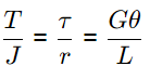
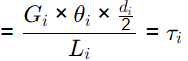
Q2: A shaft of length L is made of two materials, one in the inner core and the other in the outer rim, and the two are perfectly joined together (no slip at the interface) along the entire length of the shaft. The diameter of the inner core is dand the external diameter of the rim is do, as shown in the figure. The modulus of rigidity of the core and rim materials are Gi and Go, respectively. It is given that do do = 2di and G= 3Go. When the shaft is twisted by application of a torque along the shaft axis, the maximum shear stress developed in the outer rim and the inner core turn out to be τo and τi, respectively. All the deformations are in the elastic range and stress strain relations are linear. Then the ratio τio is ______ (round off to 2 decimal places). [GATE ME 2022 SET-2]
GATE Past Year Questions: Bearings | Design of Machine Elements - Mechanical EngineeringAns:
Given Gi = 3Go, d= 2di, li = lo, θi = θo (It is a rigid joint)
Find Ti/To =?
GATE Past Year Questions: Bearings | Design of Machine Elements - Mechanical Engineering

τmax(in core) = GATE Past Year Questions: Bearings | Design of Machine Elements - Mechanical Engineering
GATE Past Year Questions: Bearings | Design of Machine Elements - Mechanical Engineering
GATE Past Year Questions: Bearings | Design of Machine Elements - Mechanical Engineering
GATE Past Year Questions: Bearings | Design of Machine Elements - Mechanical Engineering

Question for GATE Past Year Questions: Bearings
Try yourself:Which of the bearings given below SHOULD NOT be subjected to a thrust load?

[2016,Set-3]

View Solution

Question for GATE Past Year Questions: Bearings
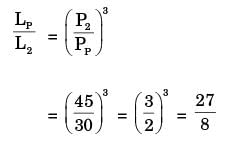
Try yourself:Two identical ball bearings Pand Q are operating at loads 30 kN and 45 kN respectively. The ratio of the life of bearing P to the life of bearing Q is

[2011]

View Solution

Question for GATE Past Year Questions: Bearings
Try yourself:A lightly loaded full Journal bearing has Journal diameter of 50 mm, bush bore of 50.05 mm and bush length of 20 mm. If rotational speed of Journal is 1200 rpm and average viscosity of liquid lubricant is 0.03 Pa s, the power loss (in W) will be

[2010]

View Solution

Question for GATE Past Year Questions: Bearings
Try yourself:A Journal bearing has a shaft diameter of 40 mm and a length of 40 mm. The shaft is rotating at 20 rad/s and the viscosity of the lubricant is 20 mPa.s. The clearance is 0.020 mm. The loss of torque due to the viscosity of the lubricant is approximately

[2008]

View Solution

Question for GATE Past Year Questions: Bearings
Try yourself:A natural feed Journal bearing of diameter 50 mm and length 50 mm operating at 20 revolution/sec. carries a load of 2.0 kN. The lubricant used has a viscosity of 20 mPa.s. The radial clearance is 50 mm. The Sommerfield number for the bearings is

[2007]

View Solution

Question for GATE Past Year Questions: Bearings
Try yourself:A ball bearing operating at a load F has 8000 hours of life. The life of the bearing, in hours, when the load is doubled to 2F is

[2007]

View Solution

Question for GATE Past Year Questions: Bearings
Try yourself:Which one of the following is criterion in the design of hydrodynamic Journal bearings?

[2005]

View Solution

Question for GATE Past Year Questions: Bearings
Try yourself:The basic load rating of a ball bearing is

[2005]

View Solution

Question for GATE Past Year Questions: Bearings
Try yourself:The dynamic load capacity of 6306 bearing is 22 kN. The maximum radial load it can sustain to operate at 600 rev/min, for 2000 hours is

[1997]

View Solution

Question for GATE Past Year Questions: Bearings
Try yourself:To restore stable operating condition in a hydrodynamic Journal bearing, when it encounters higher magnitude of loads

[1997]

View Solution

Question for GATE Past Year Questions: Bearings
Try yourself:In thick film hydrodynamic Journal bearings, the coefficient of friction

[1996]

View Solution

Question for GATE Past Year Questions: Bearings
Try yourself:Spherical roller bearings are normally used

[1992]

View Solution

Question for GATE Past Year Questions: Bearings
Try yourself:Starting friction is low in

[1992]

View Solution

Question for GATE Past Year Questions: Bearings
Try yourself:If the load on a ball bearing is reduced to half, the life of the ball bearing will

[1988]

View Solution

Question for GATE Past Year Questions: Bearings
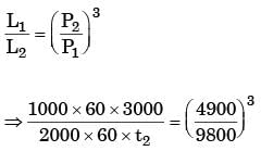
Try yourself:The expected life of a ball bearing subjected to a load of 9800 N and working at 1000 rpm is 3000 hours. What is the expected life of the same bearing for a similar load of 4900 N and speed of 2000 rpm?

[1987]

View Solution

The document GATE Past Year Questions: Bearings | Design of Machine Elements - Mechanical Engineering is a part of the Mechanical Engineering Course Design of Machine Elements.
All you need of Mechanical Engineering at this link: Mechanical Engineering
51 videos|102 docs|77 tests

FAQs on GATE Past Year Questions: Bearings - Design of Machine Elements - Mechanical Engineering

1. What are the different types of bearings used in mechanical engineering?
Ans. The main types of bearings used in mechanical engineering include ball bearings, roller bearings, plain bearings, and thrust bearings. Ball bearings are used for radial loads and provide low friction. Roller bearings can handle higher loads and are suitable for applications with heavy loads. Plain bearings, which can be made of various materials, rely on lubrication for smooth operation. Thrust bearings are designed to handle axial loads.
2. How do you calculate the load capacity of bearings?
Ans. The load capacity of bearings can be calculated using the Basic Dynamic Load Rating (C), which is defined by the manufacturer. The formula to estimate the load capacity is given by \( P = \frac{F}{C} \), where \( P \) is the equivalent dynamic load, \( F \) is the actual load applied, and \( C \) is the load rating. For specific calculations, factors such as the bearing life, speed, and application type must also be considered.
3. What is the significance of bearing life in mechanical systems?
Ans. Bearing life refers to the duration a bearing can operate before failure under a given load and speed. It is significant because it helps engineers design systems that minimize downtime and maintenance costs. Bearing life is often expressed in terms of L10 life, which is the number of revolutions at which 90% of a group of identical bearings will still be operational.
4. What factors should be considered when selecting a bearing for a specific application?
Ans. Factors to consider when selecting a bearing include the load type (radial or axial), speed of operation, environmental conditions (temperature, humidity, and exposure to contaminants), lubrication type, and expected bearing life. Additionally, the required clearance, size constraints, and cost also play a crucial role in the selection process.
5. How can improper lubrication affect bearing performance?
Ans. Improper lubrication can lead to increased friction, heat generation, and wear in bearings, which can result in premature failure. Insufficient lubrication may cause metal-to-metal contact, while excessive lubrication can lead to overheating and seal damage. Maintaining the correct lubrication type and quantity is essential for optimal bearing performance and longevity.
Related Searches

MCQs

,

Exam

,

GATE Past Year Questions: Bearings | Design of Machine Elements - Mechanical Engineering

,

pdf

,

Important questions

,

past year papers

,

GATE Past Year Questions: Bearings | Design of Machine Elements - Mechanical Engineering

,

shortcuts and tricks

,

Viva Questions

,

study material

,

Previous Year Questions with Solutions

,

Sample Paper

,

practice quizzes

,

mock tests for examination

,

Free

,

Summary

,

GATE Past Year Questions: Bearings | Design of Machine Elements - Mechanical Engineering

,

Semester Notes

,

Extra Questions

,

video lectures

,

ppt

,

Objective type Questions

;